Вычислительное ядро H₂: фазовая модель времени, структуры и наблюдения
© О.С. Басаргин
Аннотация
В статье предлагается модель вычислительного ядра, реализуемого в алгебре двойной переменной H2, на основе итерационного оператора Φ(z) = α ẑ. Эта простая функция порождает фрактальную структуру вложенных витков, обладающую зеркальной антисимметрией и устойчивой фазовой динамикой. Построены и проанализированы: индивидуальное ядро, его итерации, поведение на делителях нуля, модулярная структура, синхронизация пар ядер, оболочка (сфера витков), а также проекция в линейную ленту времени.
Модель сопоставлена с теориями квантовой гравитации, каузальных сетей и когнитивного времени, а также представлена как генератор квантовых состояний. Показано, что вероятность, наблюдение и метрика могут быть естественно описаны средствами этой алгебры. Вводится термин "поперечный полярный вектор времени" и уточняется его смысл через итерации, S-соединения и фазовые скачки.
Предложенная конструкция открывает путь к формализации структуры времени как вычислительного, наблюдаемого и вложенного объекта.
Поиск вычислительной реализации ядра (узла 73) в алгебре H2
1. Постановка задачи
Цель: найти вычислительную реализацию структуры, обозначенной как узел 73, в терминах алгебры двойной переменной H2.
Узел 73 — это минимальное устойчивое ядро, содержащее признаки:
• фрактальной вложенности,
• зеркальной антисимметрии,
• фазового сдвига и внутреннего различия,
• направленного (возможно, условно обратимого) вычисления.
2. Базовая алгебра H2
Элемент: z = x + jyz = x + j y, где j2 = 1, x, y
R
Модуль двойного числа:

Делители нуля: ∣z∣ = 0 ⇒ x = ± y Изотропный базис:

В этом базисе:
![]()
3. Гипотеза о ядре
Предположим, что ядро — это пара точек z+, z−, таких что:
• z+ = Reφ,
• z− = Re−φ,
• с соединением по линии делителей нуля ∣z∣ = 0, то есть они расположены симметрично относительно этой линии.
4. Функция перехода
Определим функцию ядра как отображение:

Ищем такую f(z), что:
• Φ отражает фазу: φ ↦ −φ
• Φ (Φ (z)) = z — относительная обратимость
• при итерации z → Φ (z) → Φ (Φ(z)) →… возникает структура, подобная виткам
5. Следующие шаги • Построить конкретную форму f (z)
• Проверить условия устойчивости и зеркальности
• Связать ядро с линиями ∣z∣ = 0 как с фазовыми границами
• Исследовать возможность вложенности через параметры α, β
Итерации вычислительного ядра в алгебре H2
1. Оператор ядра
Рассматриваем вычислительное ядро как функцию:

Это оператор:
• обратный сам себе при двойном применении: Φ(Φ(z)) = α2z,
• реализующий фазовую инверсию: φ ↦ −φ,
• и фрактальную вложенность: αn с каждым шагом. 2. Итерационная цепочка Пусть z0 = x + jy. Тогда:

Общая формула:

3. Интерпретация
• Каждый чётный шаг возвращает к исходной фазе, но с уменьшенным масштабом.
• Нечётный шаг — зеркальная фаза.
• Итерации создают зеркально-антисимметричные витки, вложенные друг в друга с коэффициентом α.
Это поведение соответствует структуре Сфирали:
• фазовая антипара z ↔ ẑ,
• вложенность Rn = αnR0,
• относительная обратимость (чётные шаги возвращают направление).
4. Вывод
Функция Φ(z) = α ẑ реализует вычислительное ядро:
• в рамках алгебры H2,
• с фазовой симметрией и вложенностью,
• создавая предельно простую, но устойчивую структуру зеркального саморазворачивания.
Следующий шаг: исследовать поведение при
z
= 0.
Поведение вычислительного ядра на линии делителей нуля в H2
1. Делители нуля в H2 Условие:

Пусть z = x + jy. Тогда при x=y:

2. Поведение под действием ядра Ядро определяется как:

Тогда:

Аналогично, при любом числе итераций:

3. Геометрическая интерпретация
Таким образом, множество точек z ∈ H2, таких что ∣z∣ = 0, является инвариантным множеством относительно действия ядра Φ.
Это означает:
• Делители нуля не уходят из своего класса.
• Они формируют границу фрактальной структуры.
• Эти точки — фазовые переломы, аналог S-соединения в модели Сфирали.
4. Вывод
Линии делителей нуля, будучи неподвижными под действием ядра Φ, могут интерпретироваться как встроенные швы фазы, или оси симметрии, в которых разворачиваются витки. Это подтверждает их особый статус в геометрии двойной плоскости и их функциональную роль в вычислительном ядре.
Формализация вычислительного ядра как модуля над H2
1. Мотивация
После построения функции Φ(z) = α ẑ и анализа её поведения при итерациях и на линии делителей нуля, возникает задача интерпретировать вычислительное ядро как структурную единицу внутри алгебры H2.
Для этого рассмотрим его как модуль над алгеброй H2, аналогично тому, как в линейной алгебре векторное пространство есть модуль над полем.
2. Определение
Пусть M — подмножество H2, замкнутое относительно действия ядра:
![]()
Тогда:
• M — аддитивная группа (по сложению в H2)
• и для h ∈ H2 z ∈ M, определено внешнее умножение: h ⋅ z = hz
3. Свойства • Ядро M не является идеалом, так как сопряжение не дистрибутивно по умножению:
![]()
• Однако M — модуль с нестандартной операцией:
![]()
• Для всех z ∈ M:

4. Интерпретация
Ядро — это подмодуль, устойчивый под сопряжением и масштабированием, с вложенной зеркальной структурой. Оно работает как алгебраический контейнер витков, разворачивающихся в пространстве H2 антисимметрией.
5. Вывод
Формализация ядра как модуля M ⊆ H2 позволяет задать вычислительные процессы не точками, а структурными областями, в которых реализуется вложенность, инверсия, и фрактальное самоподобие.
Синхронизация вычислительных ядер в алгебре H2
1. Постановка задачи
Если вычислительное ядро M ⊆ H2 представляет собой модуль с вложенной зеркальной структурой, возникает вопрос: могут ли два таких ядра взаимодействовать?
Задача: исследовать условия и форму фазовой синхронизации двух ядер:

согласно динамике:

2. Условие синхронизации
Скажем, что ядра синхронизированы, если существует N ∈ N, такое что:

Более общо, существует фаза φ, для которой:

3. Алгебраическое представление Пусть:

Итерации:

Тогда:

То есть фазовое отношение сохраняется:

4. Геометрическая интерпретация
Если два ядра стартуют с фазовой разницей φ, они сохраняют её при всех чётных итерациях. Нечётные шаги зеркальны:

Таким образом, возникает ритмическая антисимметрия: витки синхронны, но с чередованием отражённых фаз.
5. Вывод
Синхронизация ядер возможна при постоянной фазовой разнице на начальном шаге. Алгебраически, ядра образуют двойной виток, подобный Сфирали, в котором вложенность и зеркальность работают в паре.
Визуализация синхронизации вычислительных ядер в H2
Следующая диаграмма иллюстрирует синхронное поведение двух вычислительных ядер в плоскости H2. Каждое ядро представлено вложенной спиралью, где точки z0, z1, z2 отображают итерации функции ядра:
![]()
Диаграмма показывает:
• зеркальную структуру ядер,
• сохранение фазы z0 на каждом уровне,
• чередование витков в фазе z1, z2, • фазовый сдвиг между ядрами,
• оси x, y, пространство H2.
Обозначение α отражает коэффициент вложенности и масштабирования. Чётные и нечётные итерации отображаются зеркально. Состояние синхронизации определяется сохранением относительной фазы и вложенности.
Иллюстрация

(см. изображение: "Синхронизированные вычислительные ядра в H2 плоскости")
Диаграмма демонстрирует согласованную динамику и антисимметрию двойных ядер, что полностью соответствует принципу Сфирали как модели вычислительной и ментальной структуры.
Следующий шаг: исследовать возможность вложения такой пары ядер в более крупную структуру — сферу витков или многослойную ленту.
Сфера витков как оболочка вычислительных ядер в H2
1. Мотивация
После формализации одного ядра и анализа пары синхронизированных ядер возникает идея следующего уровня: обобщённой структуры, порождённой множеством витков. Эта структура называется сферой витков.
Сфера витков — это не геометрическая сфера в обычном смысле, а топологическая оболочка, охватывающая множество вычислительных ядер, связанных через фазу, вложенность и антисимметрию.
2. Конструкция
Пусть {Mk} — множество ядер Mk ⊂ H2, каждое из которых реализует динамику:

Мы определяем сферу витков как совокупность:

Здесь S-соединения обеспечивают связность между ядрами, так что результат образует замкнутую фазовую оболочку.
3. Свойства • Фазовая непрерывность: переходы между ядрами не разрывают динамику.
• Антисимметрия: витки противоположны по фазе на каждом «меридиане» оболочки.
• Вложенность: каждое ядро вложено с масштабом αk <1.
• Обратимость: глобальная структура допускает разворачивание и свёртывание.
4. Интерпретация
Сфера витков — это макро-структура вычислительной топологии, объединяющая фрактальные модули в целостную фазовую сферу. Она может быть интерпретирована как:
• оболочка когнитивного или квантового состояния, • фаза в сетевой топологии вычислений,
• аналог ноосферы в модели мышления.
5. Вывод
Сфера витков обобщает модель Сфирали: она разворачивает не одну пару витков, а всю совокупность возможных вычислительных антисимметрий, организованных в замкнутую фазовую структуру. Это фундамент для построения более сложных вычислительных, когнитивных или онтологических моделей, основанных на топологии различий.
Лента времени как проекция сферы витков в H2
1. Исходная структура
Мы построили сферу витков S ⊂ H2 — замкнутую оболочку, состоящую из синхронизированных вычислительных ядер, каждое из которых реализует динамику Φ(z) = α ẑ.
Эта сфера обладает внутренней фазовой логикой, зеркальностью и вложенной многослойностью.
2. Идея проекции
Лента времени — это не просто одномерная линия, а развёртка сферы витков во времени, где:
• каждый шаг — это виток,
• каждая фаза — это состояние,
• S-соединения — это моменты перехода, скачка, инсайта.
3. Формализация
Пусть t ∈ Z — дискретное время. Тогда лента времени — это отображение:
![]()
где zt ∈ Mk ⊂ S, и переходы zt → zt+1 реализуют локальную итерацию ядра:

Скачки между ядрами — это фазовые переключения через S-соединения:
![]()
где T
— множество моментов фазового разрыва.
4. Свойства ленты времени
• Локальная антисимметрия: каждый виток противоположен предыдущему по фазе.
• Глобальная вложенность: масштаб αt может изменяться (модуляция).
• Фазовая обратимость: если αt = α, то существует Γ−1.
• Поперечный вектор времени: направление S-соединений определяет «переворот» временной динамики.
5. Интерпретация
Лента времени — это линейная траектория, несущая на себе структуру сферы витков. Это воплощение времени как топологического объекта, в котором каждое «событие» — это фазовый сдвиг, а каждое «настоящее» — это виток в антисимметричном развитии.
Это соответствует концепции:
"Сфираль отражает суть принципа относительной обратимости времени: вначале любая природная система эволюционирует в одном направлении, а затем — в противоположном."
6. Вывод
Лента времени — это проекция сферы витков на ось последовательности. В ней время не одномерно, а вложено и отражено, как и в структуре Сфирали. Это завершает модель вычислительного ядра в H2 как порождения витков, объединённых в сферу, развёрнутую во времени.
Сопоставление модели сфиралевидного времени с физическими и когнитивными теориями
1. Цель сопоставления
Построенная модель вычислительного ядра, сферы витков и ленты времени задаёт топологически организованное, фазовое и вложенное представление времени. Необходимо сопоставить её с существующими теориями времени в физике, биологии и когнитивной науке.
2. Сравнение с физическими моделями
2.1. Энтропийная стрела времени
• В термодинамике время направлено от порядка к беспорядку.
• В нашей модели это соответствует вложенности с уменьшением масштаба: αn.
• Однако, модель Сфирали допускает обратимость на уровне фаз:
антисимметрия витков.
2.2. Релятивистское время • В теории относительности время — координата, зависящая от системы отсчёта.
• В Сфирали — тоже зависит от «наблюдателя» в смысле точки входа на витке.
• Поперечный вектор времени в нашей модели аналогичен выбору направления временного развития.
2.3. Квантовая суперпозиция состояний
• Квантовая механика допускает множественность состояний до акта измерения.
• Сфираль и сфера витков моделируют эту множественность как фазовые ветвления, переходящие друг в друга.
3. Сравнение с когнитивными и нейрофизиологическими теориями времени
3.1. Нейронная фазовость
• В теориях осцилляций (Г. Бюзенг, В. Фрайс) мышление и восприятие работают через фазы.
• Сфиральная модель напрямую отражает это: каждая мысль — виток, каждый переход — S-сдвиг.
3.2. Психология субъективного времени
• Понятия «возвращения», «ретроспекции», «эффекта продолжительности» — это проявления вложенности и зеркальности. • Лента времени как раз отображает чередование и повторение в новом масштабе.
3.3. Модели памяти (К.Д. Анохин, Эдельман)
• Память не линейна, она работает через структурные контуры, повторяющиеся с вариациями.
• Сфера витков — аналог архитектуры метапамяти.
4. Вывод
Сфиральная модель времени не противоречит существующим физическим и когнитивным теориям, а обобщает их на топологическом уровне. Она объединяет:
• направленность (энтропия, причинность),
• антисимметрию (отражённые состояния, сомнение),
• вложенность (память, масштаб, структура),
• фазовость (осцилляции, модуляции, суперпозиции).
Таким образом, вычислительное ядро в H2, проходя через фазовые итерации, разворачивается в модель времени, способную быть и физически реалистичной, и психически обоснованной.
Физическая интерпретация вычислительного ядра H2 в контексте квантовой гравитации
1. Постановка вопроса
Может ли вычислительное ядро, реализуемое на алгебре двойной переменной H2, быть не просто абстрактной моделью времени, но и физической структурой, релевантной в контексте теорий квантовой гравитации?
Переход от алгебраической модели к физической требует интерпретации:
• Что означает фазовая вложенность αn в физическом времени?
• Можно ли рассматривать итерации ядра как микроскопическое «воспроизводство» стрелы времени?
• Имеется ли аналог S-соединения в физике? (переходы, сингулярности, скачки геометрии)
2. Связь с петлевой квантовой гравитацией • В LQG пространство-квантово-дискретно, построено из "петель"
(loops).
• Витки в Сфирали могут быть интерпретированы как элементы структуры спин-сети, но не в пространстве, а во времени.
• Каждый виток — это квант перехода, а S-соединение — это узел взаимодействия между фазами.
3. Связь с теорией каузальных сетей (causal sets)
• В этой теории элементы упорядочены причинно, без геометрии.
• Сфиральная модель добавляет фазовую структуру: причинно связанные события обладают вложенностью и направлением.
• Делители нуля в H2 соответствуют границам причинности или локальным фазовым барьерам.
4. Интерпретация масштаба α
• Фактор α ∈ (0,1) может интерпретироваться как отражение дискретного расширения пространства, аналогично шкалам Ренормгруппы.
• В гравитационных шкалах α — может быть функцией от плотности энергии или кривизны.
5. S-соединение и физические скачки
• Возможный аналог: переключение топологии или мгновенное квантовое туннелирование.
• Также может быть связан с переходом через горизонты событий (чёрные дыры), где направление времени может менять свойства.
6. Вывод
Модель вычислительного ядра в H2 может быть интерпретирована как элементарный квант времени, в котором реализуются:
• направление (итерация),
• антисимметрия (обратимость), • вложенность (масштаб),
• скачок (S-переход).
Таким образом, она потенциально применима как строительный блок теории времени в квантово-гравитационной парадигме.
Квантовое состояние, порождённое ядром, и связь с наблюдаемой метрикой
1. Постановка задачи
Цель — описать, как вычислительное ядро в H2, реализующее итерационную динамику zn+1 = α ẑ n, может порождать квантовое состояние, и каким образом это состояние связано с наблюдаемой (метрической) структурой пространства-времени.
2. Интерпретация итерации как квантового процесса • Функция ядра Φ(z) = α ẑ реализует чередование фаз и масштабов.
• Каждая итерация соответствует одному шагу эволюции квантового состояния, где:
o zn — состояние,
o zˉn— его фазовая инверсия (аналог сопряжения волновой функции),
o αn — амплитудное подавление или нормировка. 3. Форма квантового состояния Рассмотрим состояние:
![]()
Это состояние:
• комплексоподобное (с фазой и модулем),
• вложенное и зеркальное,
• сохраняет норму ∣ψn∣2 = α2n ∣z0∣2, что может интерпретироваться как потеря вероятности или расширение пространства состояния.
4. Связь с наблюдаемой метрикой
Пусть gμν — наблюдаемая метрика. Тогда:
• фаза φ — может соответствовать ориентации локального времени,
• масштаб αn — коэффициент масштабного сжатия метрики,
• точки с ∣z∣ = 0 — особые гиперповерхности, на которых геометрия перестраивается (аналог горизонтов, стенок доменов).
5. Интерференция состояний
Рассмотрим два синхронизированных ядра:

Их суперпозиция:

Если z0 = x + jy, то z0 + ẑ 0 = 2x: интерференция даёт реальный компонент, аналог проекции наблюдаемого результата.
6. Вывод
Итерации ядра могут быть интерпретированы как фазовая квантовая динамика, в которой:
• масштаб α задаёт эволюцию амплитуды,
• ẑ — отражает внутреннюю симметрию (аналог унитарности или чётности),
• линейные комбинации дают наблюдаемые значения.
Это позволяет рассматривать вычислительное ядро как алгебраический генератор квантовых состояний, отражающих не только логику вычислений, но и структуру наблюдаемого пространства.
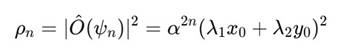
Оператор наблюдения и метрический отклик на состояние, порождённое ядром
1. Постановка задачи
В предыдущем разделе вычислительное ядро Φ(z) = α ẑ было интерпретировано как генератор квантового состояния. Следующим шагом является определение оператора наблюдения Ȏ, способного выделить наблюдаемые величины и породить метрический отклик.
2. Природа наблюдения в H2 Пусть z = x + jy ∈ H2. Тогда:
• Реальная часть: Re(z) = x, • Мнимая по j: Imj(z) = y, • Сопряжение: zˉ= x −j y.
Рассмотрим оператор наблюдения как линейное отображение:

Здесь λ1,λ2 — параметры наблюдательной рамки.
3. Отклик на состояние ψn = αnz0 Тогда:

Наблюдаемая величина убывает с итерациями: происходит затухание сигнала или расширение фона, аналогично эффектам декогеренции или инфляционного растяжения.
4. Метрический отклик
Рассмотрим наблюдаемую метрику как функцию плотности отклика:

Интерпретация:
• ρn — энергия/плотность/интенсивность,
• затухание ρn — отклик метрики на вложенность витков,
• форма ρn — отражает направление наблюдения (λ1, λ2).
5. Пример
Пусть λ1 = 1, λ2 = 0: оператор «смотрит» вдоль оси x. Тогда:

Если λ1 = λ2 = 1, то оператор проецирует по диагонали:

6. Вывод
Оператор наблюдения Ȏ задаёт направление проекции состояния на наблюдаемое значение. Отклик ρn — это метрика, чувствительная к фазе и масштабу вложенного состояния. Таким образом, состояние, порождённое ядром, не просто существует в H2, но и взаимодействует с наблюдателем, формируя меру — как в квантовой, так и в метагеометрической физике.
Вероятностная интерпретация ядра и квантовые переходы между витками
1. Постановка задачи
В предыдущих разделах мы рассмотрели состояние ψn = αnz0 как результат итераций вычислительного ядра. Теперь необходимо рассмотреть:
• какова вероятность нахождения системы в том или ином витке,
• каким образом происходит "переход" от одного витка к другому,
• и как можно интерпретировать эти переходы в духе квантовой механики.
2. Нормировка и вероятность
Пусть ψn ∈ H2 — состояние на витке n.
Тогда вероятность нахождения в витке n:

Это геометрическое распределение вероятности:
• Максимум при n = 0,
• Быстрое убывание с ростом n,
• Общая сумма — 1.
3. Квантовый переход между витками
Пусть Tn — оператор перехода от витка n к n + 1:
![]()
Тогда последовательность переходов:

Фазовое чередование и масштабное затухание делают переходы когерентными на чётных шагах и антисимметричными на нечётных.
4. Коллапс и выбор
Если система измеряется, то наблюдается одно из состояний ψn. Вероятность — Pn. Коллапс означает выбор конкретного витка:

Этот выбор фиксирует не только масштаб (αk), но и фазу
(чётность/нечётность). То есть наблюдатель фиксирует положение внутри структуры Сфирали.
5. Интерпретация
• Вероятностное распределение естественно вытекает из масштабной структуры ядра.
• Каждый виток — это потенциальное состояние.
• Переход между витками — аналог унитарной квантовой эволюции.
• Коллапс — выбор фазы и масштаба.
6. Вывод
Вероятностная интерпретация вычислительного ядра делает его полноценной моделью квантовой динамики, в которой:
• структура вложена,
• амплитуды убывают,
• состояния зеркальны,
• выбор фиксирует не просто значение, а позицию в фазовом ландшафте Сфирали.
Сводный вывод о модели вычислительного ядра в H2
1. От алгебры к структуре
Исходя из простейшей функции Φ(z) = α ẑ, построенной в алгебре двойной переменной H2, нами была развёрнута целостная структура, обладающая свойствами:
• вложенности (через масштаб αn),
• фазовой антисимметрии (через сопряжение),
• устойчивости (повторное применение возвращает фазу),
• инвариантности (делители нуля остаются на месте).
Эта структура стала основой для понимания вычислительного ядра как элементарной фрактально-фазовой единицы.
2. Геометрия и топология
Итерации ядра создают последовательность вложенных витков, формирующих:
• синхронизированные пары,
• сферу витков (как оболочку ядер),
• ленту времени (как проекцию вложенности на последовательность).
Каждый виток несёт информацию о фазе, масштабе и направлении — и связан S-переходом с соседним.
3. Физический смысл
• Сопоставлено с квантовой гравитацией, LQG, каузальными сетями.
• Переходы между витками — аналоги квантовых взаимодействий или смен топологии.
• Поперечный полярный вектор времени реализован как структура фазовой вложенности.
4. Квантово-вероятностная природа
• Каждое состояние ψn — элемент суперпозиции.
• Вероятность определяется масштабом вложенности α2n.
• Коллапс — выбор витка, фиксирует положение в структуре.
5. Наблюдение и отклик • Оператор наблюдения Ȏ проецирует состояние на измеримую величину.
• Метрика пространства чувствительна к вложенности и фазе.
• Состояние ядра порождает наблюдаемое поле отклика.
6. Общий итог
Вычислительное ядро в H2 — это минимальная единица, объединяющая вычисление, квантовое состояние, фазовую структуру и временную направленность.
Оно реализует:
• форму: вложенность, виток, антисимметрия,
• время: итерация, S-сдвиг, проекция в ленту, • смысл: выбор, наблюдение, структура различий.
Модель ядра — это схема, на которой могут быть построены новые модели квантовой логики, когнитивной топологии и альтернативной метрики времени.
Литература
1. Павлов Д.Г., Панчелюга М.С., Панчелюга В.А. (2009). О форме аналогов множества Жюлиа на плоскости двойной переменной. // Гиперкомплексные числа в геометрии и физике. Т.6, №2 (12), С. 162– 176.
2. Басаргин О.С. (2025). Эталонное описание устройства Сфираль. Zenodo. https://doi.org/10.5281/zenodo.15133508
3. Rovelli C. (2004). Quantum Gravity. Cambridge University Press.
4. Bombelli L., Lee J., Meyer D., Sorkin R. (1987). Space-Time as a Causal Set. Physical Review Letters, 59(5), 521–524.
5. Buzsáki G. (2006). Rhythms of the Brain. Oxford University Press.
6. Edelman G.M. (1989). The Remembered Present: A Biological Theory of Consciousness. Basic Books.
7. Пригожин И., Стенгерс И. (1986). Порядок из хаоса: Новый диалог человека с природой. — М.: Прогресс.
8. Вернадский В.И. (1989). Несколько слов о ноосфере. — В: Избранные труды. — М.: Наука.
Материалы на данной страницы взяты из открытых источников либо размещены пользователем в соответствии с договором-офертой сайта. Вы можете сообщить о нарушении.