1 _8_Решение квадратных уравнений_Краткосрочный план_1 урок

  • docx
  • 30.04.2020
Публикация на сайте для учителей

Публикация педагогических разработок

Бесплатное участие. Свидетельство автора сразу.
Мгновенные 10 документов в портфолио.

Иконка файла материала 1 _8_Решение квадратных уравнений_Краткосрочный план_1 урок.docx

Раздел долгосрочного плана: 8.2А Квадратные уравнения

 

Дата:

ФИО учителя:

Класс: 8

Количество присутствующих:

отсутствующих:

Тема урока

Решение квадратных уравнений

Цели обучения, которые достигаются на данном  уроке (ссылка на учебную программу)

8.2.2.3 решать квадратные уравнения;

 

Цель урока

Учащиеся будут:

знать основную формулу корней квадратного уравнения;

знать формулу для вычисления дискриминанта квадратного уравнения;

по дискриминанту квадратного уравнения определять, сколько оно имеет корней;

знать алгоритм решения квадратного уравнения;

применять основную формулу корней квадратного уравнения;

Критерии оценивания

Учащиеся достигли цели, если:

знают основную формулу корней квадратного уравнения;

знают формулу для вычисления дискриминанта квадратного уравнения;

по дискриминанту квадратного уравнения правильно определяют, сколько оно имеет корней;

знают алгоритм решения квадратного уравнения;

применяют основную формулу корней квадратного уравнения;

Языковые цели

 

Учащиеся будут:

комментировать решения квадратных уравнений;

аргументированно рассуждать о количестве корней квадратного уравнения;

грамотно оперировать предметной лексикой и терминологией данного раздела.

Лексика и терминология, специфичная для предмета:

квадратное уравнение;

уравнение второй степени;

полное и неполное квадратные уравнения;

первый или старший коэффициент, второй коэффициент или коэффициент при х, свободный член;

дискриминант;

Полезные выражения для диалогов и письма:

дискриминантом квадратного уравнения называется…;

данное квадратное уравнение имеет один корень, так как…; 

данное квадратное уравнение имеет два корня, так как …;

данное квадратное уравнение не имеет корней, так как …;

Привитие ценностей

Умение принимать решения, отвечать за качество работы, организация времени

Межпредметные связи

физика, химия, биология

Предварительные знания

знают определение квадратного уравнения; различа.n виды квадратных уравнений;

Ход урока

Запланированные этапы урока

Запланированная деятельность на уроке

Ресурсы

Начало урока

0 - 5 мин

 а) Постановка темы урока, целей обучения и критериев оценивания.

Учитель демонстрирует цели обучения и критерии оценивания.

Учащиеся, используя технику «Две звезды и одно желание» проверяют домашнюю работу своего одноклассника.

Учитель акцентирует внимание учащихся на том, что проверяя  другую  работу они не оценивают  ее, а лишь определяют два положительных момента и отмечают звездочкой «две звезды», и один момент, который, по их мнению, заслуживает доработки  «желание».

Презентация

 

 

 

 

 

Середина урока

6 - 38 мин

 

 

 

 

 

 

 

 

 

 

 

 

 

 

 

 

 

 

 

 

 

 

 

 

 

 

 

 

 

 

 

 

 

 

 

 

 

 

 

 

 

 

 

 

 

 

 

 

 

 

 

 

 

 

 

 

 

 

 

 

 

 

 

 

 

 

 

 

 

 

 

 

 

 

 

 

 

 

 

 

 

 

 

 

 

 

 

 

 

 

 

 

 

 

 

 

 

 

 

Изучение нового материала (вывод формулы корней квадратного уравнения).

Учитель объясняет материал, посредством постановки проблемных вопросов привлекает учащихся к выводу  формулы корней квадратного уравнения.

Решим квадратное уравнение .

Разделим все члены уравнения на старший коэффициент  и получим равносильное приведенное квадратное уравнение . В левой части уравнения выделим квадрат двучлена: или . Введем новую переменную  и получим неполное квадратное уравнение , или , или  . Так как , то   − положительное число.

Поэтому знак дроби определяется знаком ее числителя . Это выражение называется дискриминантом квадратного уравнения  («дискриминант» по латыни означает «различитель», «определитель»). Его обозначают буквой ,  т.е. .

Тогда уравнение имеет вид . Рассмотрим теперь различные возможные случаи решения в зависимости от .

1. Если  , то уравнение имеет два противоположных по знаку корня:   и  . вернемся к старой неизвестной   и получим два линейных уравнения:    (откуда корень  ) и   (тогда корень ).

Итак, при , квадратное уравнение  имеет два различных корня:  и .

Принятая следующая краткая запись корней: , где , которую называют формулой корней квадратного уравнения.

2. Если , то уравнение  имеет вид . Это уравнение имеет единственный корень (или два одинаковых корня)  . вернемся к старой неизвестной и получим линейное уравнение  , корень которого   .

Итак, при  квадратное уравнение  имеет единственный корень ( два одинаковых корня) .

3. Если  , то уравнение  не имеет корней, так как дробь   . Следовательно, при  квадратное уравнение  не имеет корней.

Таким образом, в зависимости от дискриминанта  квадратное уравнение  может иметь два различных корня при  , единственный корень (или два одинаковых корня) при  и не иметь корней при .

Итак, при решении квадратного уравнения поступают следующим образом:

1. Вычисляют дискриминант квадратного уравнения.

2. Сравнивают дискриминант с нулем.

3. Если дискриминант , то используют формулу корней , если дискриминант   , то записывают, что корней нет

Физминутка

В среднем темпе проделайте 3-4 круговых движения глазами в правую сторону, столько же в левую сторону. Расслабив глазные мышцы, посмотрите вдаль на счет 1-6. Повторите 1-2 раза.

Задания для индивидуальной работы

Учащиеся в парах выполняют задания для первичного закрепления с последующей взаимопроверкой по готовому решению.

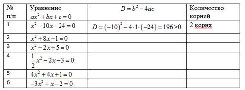
1.Заполните таблицу:

а)

 

b)

 

2.Закончите решение уравнений:

Учитель наблюдает за работой учащихся со средними учебными способностями, предоставляя им «тихую» обратную связь. 

Создайте четыре пары учащихся, которые будут грамотно оформлять решения двух уравнений в тетради.

Остальные учащиеся решают уравнения  самостоятельно, если у них возникают вопросы они могут адресовать их учителю или одноклассникам.

Через 7 минут учитель  проверяет решения каждой из четырех пар, сканирует их решения. Далее восемь учащихся выполняют другие три задания в тетради.

Проверка решений к заданию №3 выполняется по готовому решению на интерактивной  доске.

3.Решите квадратные уравнения:

Приложение 4

     Алгебра.8 класс: учебник для общеобразовательных учреждений/ [Ю.Н.МакарычевН.Г.Миндюк, К.И. Нешков, С.Б.Суворова]; под редакцией С.А. Теляковского. – М.:Просвещение, 2013.

 

 

 

 

 

 

 

 

 

 

 

 

 

 

 

 

 

 

 

 

 

 

 

 

 

 

 

 

 

 

 

 

 

 

 

 

 

 

 

 

 

 

 

 

 

 

 

 

 

 

 

 

Ерина Т.М. Рабочая тетрадь по алгебре: 8 класс к учебнику «Алгебра.8 класс» для общеобразовательных учреждений/ [Ю.Н.МакарычевН.Г.Миндюк, К.И. Нешков, С.Б.Суворова]; под редакцией С.А. Теляковского. / Т.М.Ерина. – М.:Издательство «Экзамен», 2013.- 160с.

 

 

 

 

 

 

 

 

 

 

 

 

 

 

 

 

 

 

 

 

 

 

 

 

 

 

 

 

 

 

 

 

 

 

 

 

 

 

 

 

 

 

 

 

 

 

 

 

 

 

 

 

Конец урока

39 - 40 мин

Учитель демонстрирует задания для домашней работы на интерактивной доске, отвечает на вопросы учащихся и мобилизует их на рефлексию своей работы.

Задания для домашней работы

 Решите уравнения:

а);

b);

c);

d).

  Рефлексия

Учащиеся записывают "ключевые слова" урока, по которым составляют рассказ или расставляют "ключевые слова"  в определенной последовательности.

Несколько учащихся читают вслух свой рассказ.

Презентация

Приложение 3

http://www.bbc.co.uk/schools/gcsebitesize/maths/algebra/quadequationshirev2.shtml

 

Дифференциация – каким образом Вы планируете оказать больше поддержки? Какие задачи Вы планируете поставить перед более способными учащимися?

Оценивание – как Вы планируете проверить уровень усвоения материала учащимися?

Здоровье и соблюдение техники безопасности

Дифференциация выражается в ожидаемом результате от учащихся с хорошими учебными возможностями. Учитель оказывает индивидуальную поддержку учащимся с низкими учебными способностями.

 

Формативное оценивание будет проходить через выполнение индивидуальных заданий, слушание ответов учащихся, предоставления им обратной связи.

 

Учащиеся выполняют несколько упражнений  для глаз под руководством одного из одноклассников.

 


 

Скачано с www.znanio.ru