Лабораторная работа №1
«Определение ускорения тела, движущегося по наклонной плоскости»
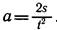
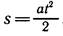
Цель работы: вычислить ускорение, с которым скатывается шарик по наклонному желобу. Для этого измеряют длину перемещения s шарика за известное время t. Так как при равноускоренном движении без начальной скорости
то,
измерив s и t, можно найти ускорение шарика. Оно равно:
.
Никакие измерения не делаются абсолютно точно. Они всегда производятся с некоторой погрешностью, связанной с несовершенством средств измерения и другими причинами. Но и при наличии погрешностей имеется несколько способов проведения достоверных измерений. Наиболее простой из них — вычисление среднего арифметического из результатов нескольких независимых измерений одной и той же величины, если условия опыта не изменяются. Это и предлагается сделать в работе.
Средства измерения: 1) измерительная лента; 2) метроном.
Материалы: 1) желоб; 2) шарик; 3) штатив с муфтами и лапкой; 4) металлический цилиндр.
Порядок выполнения работы
1. Укрепите желоб с помощью штатива в наклонном положении под небольшим углом к горизонту (рис.). У нижнего конца желоба положите в него металлический цилиндр.

2. Пустив шарик (одновременно с ударом метронома) с верхнего конца желоба, подсчитайте число ударов метронома до столкновения шарика с цилиндром. Опыт удобно проводить при 120 ударах метронома в минуту.
3. Меняя угол наклона желоба к горизонту и производя небольшие передвижения металлического цилиндра, добивайтесь того, чтобы между моментом пуска шарика и моментом его столкновения с цилиндром было 4 удара метронома (3 промежутка между ударами).
4. Вычислите время движения шарика.
5. С помощью измерительной ленты определите длину перемещения s шарика. Не меняя наклона желоба (условия опыта должны оставаться неизменными), повторите опыт пять раз, добиваясь снова совпадения четвертого удара метронома с ударом шарика о металлический цилиндр (цилиндр для этого можно немного передвигать).
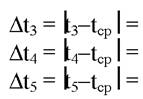
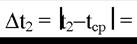
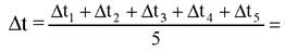
6. По формуле
найдите
среднее значение модуля перемещения, а затем рассчитайте среднее значение
модуля ускорения: aср=
2Sср/t2.
7. Результаты измерений и вычислений занесите в таблицу:
|
№ опыта |
S, м |
t,c |
а, м/с2 |
|
1 |
|
|
|
|
2 |
|
|
|
|
3 |
|
|
|
|
4 |
|
|
|
|
5 |
|
|
|
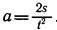
При прямолинейном равноускоренном движении без начальной скорости
,
,
где S - путь, пройденный телом, t - время прохождения пути. Средства измерения: измерительная лента (линейка), секундомер.
Лабораторная установка и порядок выполнения работы подробно описаны в учебнике.
Вычисления:
Вычисление погрешностей
Точность приборов:
Измерительная лента:
Секундомер:
Sорт![]()
tорт![]()
aорт![]()
Вычислим абсолютные погрешности:


![]()
![]()

![]()
Вычислим относительную погрешность:
![]()
Абсолютная погрешность косвенного измерения:
![]()
Найденное в результате работы ускорение можно записать так:
а = аср ± ![]()
Вывод:
Скачано с www.znanio.ru
Материалы на данной страницы взяты из открытых источников либо размещены пользователем в соответствии с договором-офертой сайта. Вы можете сообщить о нарушении.