1,8_Решение квадратных уравнений_Краткосрочный план_6 урок

  • docx
  • 30.04.2020
Публикация на сайте для учителей

Публикация педагогических разработок

Бесплатное участие. Свидетельство автора сразу.
Мгновенные 10 документов в портфолио.

Иконка файла материала 1,8_Решение квадратных уравнений_Краткосрочный план_6 урок.docx

 

Раздел долгосрочного плана:

8.2А Квадратные уравнения

 

Дата:

ФИО учителя:

Класс: 8

Количество присутствующих:

отсутствующих:

Тема урока

Решение квадратных уравнений

Цели обучения, которые достигаются на данном уроке (ссылка на учебную программу)

8.2.2.4

применять теорему Виета;

Цель урока

Учащиеся будут:

знать определение приведённого квадратного уравнения;

знать вид приведённого квадратного уравнения;

формулировать теорему Виета;

формулировать теорему, обратную теореме Виета;

формулировать теорему, обратную теореме Виета для неприведённого квадратного уравнения;

применять теорему Виета при решении заданий;

Критерии оценивания

Учащиеся достигнут целей обучения если:

знают определение приведённого квадратного уравнения;

знают вид приведённого квадратного уравнения;

приводят примеры приведённых квадратных уравнений;

формулируют теорему Виета;

формулируют теорему, обратную теореме Виета;

формулируют теорему, обратную теореме Виета для неприведённого квадратного уравнения;

применяют теорему Виета при решении заданий;

Языковые цели

 

Учащиеся будут:

аргументированно рассуждать о количестве корней приведённого квадратного уравнения;

вести рассуждения о корнях квадратного уравнения, опираясь на теорему Виета;

вести рассуждения о корнях квадратного уравнения, опираясь на теорему, обратную теореме Виета);

оперировать предметной лексикой и терминологией данного раздела.

Предметная лексика и терминология:

приведённое квадратное уравнение;

первый или старший коэффициент, второй коэффициент или коэффициент при х, свободный член;

дискриминант;

сумму корней приведённого квадратного уравнения;

произведение корней приведённого квадратного уравнения;

Серия полезных фраз для диалога/письма:

найдём сумму корней приведённого квадратного уравнения…;

найдём произведение корней приведённого квадратного уравнения…;корни данного квадратного уравнения одного знака, так как … ;

корни данного квадратного уравнения разного  знака, так как … ;

Привитие ценностей

Умение учиться, добывать самостоятельно информацию, анализировать ситуацию, адаптироваться к новым ситуациям, ставить проблемы и принимать решения, отвечать за качество своей работы и своей группы, умение организовывать свое время, воспитывать уважение к разнообразию культур и мнений на  уроке

Межпредметные связи

физика

Предварительные знания

 

определение квадратного уравнения; виды квадратных уравнений; общая формула корней квадратного уравнения; формула корней квадратного уравнения со вторым чётным коэффициентом;прямая теорема Виета

 

Ход урока

Запланированные этапы урока

Запланированная деятельность на уроке

Ресурсы

Начало урока

0-3 мин

 

а) Постановка темы урока, целей обучения и критериев оценивания.

b) На этапе проверки домашнего задания используется прием самооценивание.

Учащиеся по готовому решению проверяют свою домашнюю работу, обращая внимание на плюсы и минусы и самостоятельно определяют пробелы и пути их устранения.

Презентация

Середина урока

4-38 мин

 

Актуализация знаний учащихся:

Опрос теоретического материала по разделу 8.2А Квадратные уравнения.

Примените активный метод обучения - бросание мяча. Передавая друг другу мяч, учащиеся отвечают на вопросы одноклассников по пройденной теме:

1. Напишите общую формулу корней квадратного уравнения.

2. Напишите формулу для вычисления дискриминанта квадратного уравнения.

3.Сколько корней в зависимости от дискриминанта может иметь квадратное уравнение? Запишите все возможные случаи.

4. Какое квадратное уравнение называется приведённым?

5.Сформулируйте прямую теорему Виета.

Ознакомьте учащихся с обратной теоремой Виета.

Учитель:

Обратная теорема Виета: Если числа  и таковы, что их сумма равна числу  , а произведение равно числу ,  то числа  и  являются корнями приведенного квадратного уравнения .

Доказательство:

По условию , а и  . Подставив величины  и  в уравнение   получим уравнение   . Докажем, что число  является корнем этого уравнения. Подставив вместо  число  получим  (верное равенство). Следовательно, число m является корнем уравненияУчитель: Докажите самостоятельно, что число  также является корнем этого уравнения.

Доказательство учащихся:

По условию , а и  . Подставив величины  и  в уравнение  получим уравнение . Докажем, что число  является корнем этого уравнения. Подставив вместо  число  получим  (верное равенство).

Следовательно, число n является корнем уравнения

На следующем этапе урока при выполнении заданий  для закрепления примените метод «Триада слушания».

Учащиеся работают в группе, численностью не более трёх  человек, которые распределяют между собой роли: оратора, корреспондента, секретаря. Функции данных ролей следующие: оратор объясняет суть задания, либо комментирует его, либо выражает свое мнение. Корреспондент задает вопросы по выполнению задания, ищет разъяснения. Секретарь делает заметки на черновике и по окончании беседы предоставляет доклад. Решения  всех заданий учащиеся записывают в тетрадях.

Учитель наблюдает за работой учащихся с хорошими учебными способностями, предоставляя им обратную связь, обращая их внимание  на правильную постановку вопросов, а также на то, что ответы должны быть полными и математически грамотными.

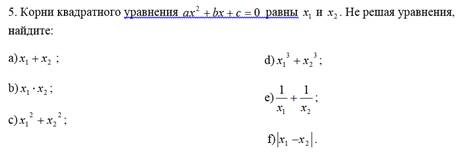
Решение задания №3 разберите подробно у доски.

 

 

 

 

 

 

 

 

 

 

 

 

 

 

 

 

 

 

 

 

 

 

 

 

 

 

 

 

 

 

 

 

 

Алгебра.8 класс: учебник для общеобразовательных учреждений/ [Ю.Н.МакарычевН.Г.Миндюк, К.И. Нешков, С.Б.Суворова]; под редакцией С.А. Теляковского. – М.:Просвещение, 2013.

 

Ерина Т.М. Рабочая тетрадь по алгебре: 8 класс к учебнику «Алгебра.8 класс» для общеобразовательных учреждений/ [Ю.Н.МакарычевН.Г.Миндюк, К.И. Нешков, С.Б.Суворова]; под редакцией С.А. Теляковского. / Т.М.Ерина. – М.:Издательство «Экзамен», 2013.- 160с.

 

 

 

 

 

 

 

 

 

 

 

 

 

 

 

 

 

 

 

 

 

 

 

 

 

 

Конец урока

39-40мин

 

Учитель демонстрирует задания для домашней работы на интерактивной доске, отвечает на вопросы учащихся и мобилизует их на рефлексию своей работы.

Задания для домашней работы:

1.Один из корней уравнения равен 7. Найдите другой корень и коэффициент р.

2. Один из корней уравнения равен 2. Найдите другой корень и коэффициент а.

3. Один из корней уравнения равен 8. Найдите другой корень и коэффициент b.

4. Один из корней уравнения равен 5,3. Найдите другой корень и коэффициент с.

5. Один из корней уравнения равен 10. Найдите другой корень и коэффициент а.

Рефлексия: «Дело  в шляпе»:

Учащиеся передают под музыку или считалочку  друг другу шляпу,  когда заканчивается музыка или считалочка, учащийся, у которого в руках осталась шляпа, анализирует свою работу на уроке или оценивает деятельность одноклассников и обосновывает ее.

Презентация

Приложение 3

Дифференциация – каким образом Вы планируете оказать больше поддержки? Какие задачи Вы планируете поставить перед более способными учащимися?

Оценивание – как Вы планируете проверить уровень усвоения материала учащимися?

Здоровье и соблюдение техники безопасности

Во время групповой работы учащиеся могут обращаться к одноклассникам с хорошими учебными способностями за консультацией. Также учитель оказывает индивидуальную помощь учащимся, затрудняющимся в решении заданий.

Формативное оценивание осуществляется во время работы учащихся в парах и группе

Смена деятельности на разных этапах урока будет способствовать меньшей утомляемости учащихся.

 


 

Скачано с www.znanio.ru