3_8 _Решение квадратных уравнений_Дидактические материалы_6 урок

  • docx
  • 30.04.2020
Публикация на сайте для учителей

Публикация педагогических разработок

Бесплатное участие. Свидетельство автора сразу.
Мгновенные 10 документов в портфолио.

Иконка файла материала 3_8 _Решение квадратных уравнений_Дидактические материалы_6 урок.docx

                                                                                                                  Приложение 3

 

1. Заполните таблицу, используя теорему Виета.

Уравнение

 

-1

-8

 

-5

 

 

 

 

 

 

 

 

-5

 

 

2.Напишите квадратное уравнение, корни которого равны:


a)  и ;

b)  и ;

c)  и ;

d)  и ;

e)  и ;

 f)  и .


Ответы:

a) ; b) ; c) ;d) ;

e) ; f) .

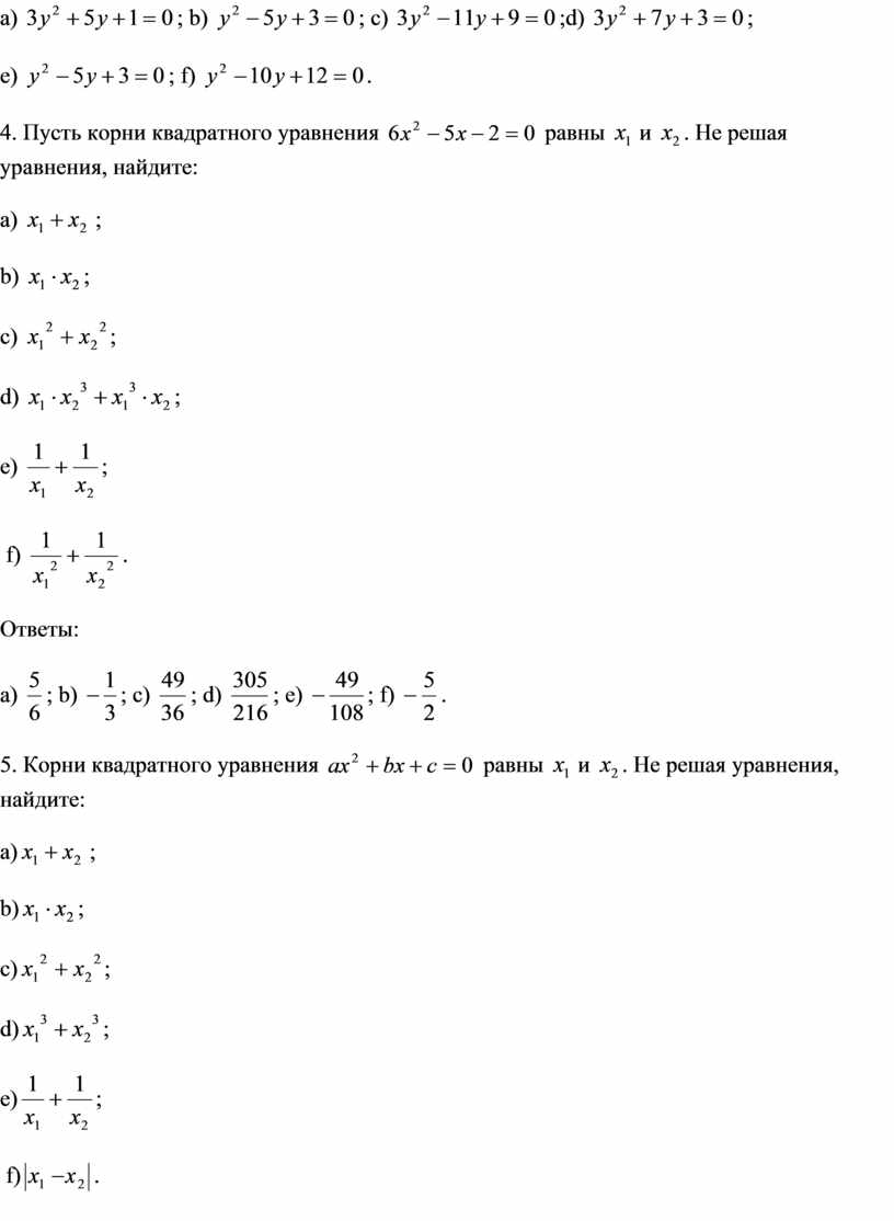
3. Квадратное уравнение  имеет корни  и . Напишите квадратное уравнение, корни которого равны:

a)  и ;

b)  и ;

c)  и ;

d)  и ;

e)  и ;    f)  и ;


Ответы:

a) ; b) ; c) ;d) ;

e) ; f) .


4. Пусть корни квадратного уравнения  равны  и . Не решая уравнения, найдите:

a)  ;

b) ;

c) ;

d) ;

e) ;  

 f) .


Ответы:

a) ; b) ; c) ; d) ; e) ; f) .


5. Корни квадратного уравнения  равны  и . Не решая уравнения, найдите:


a) ;

b);

c);

d);

e);  

 f).


Ответы:

a) ; b) ; c) ; d) ; e) ; f) .

 

Задания для домашней работы:

1.Один из корней уравнения равен 7. Найдите другой корень и коэффициент р.

2. Один из корней уравнения равен 2. Найдите другой корень и коэффициент а.

3. Один из корней уравнения равен 8. Найдите другой корень и коэффициент b.

4. Один из корней уравнения равен 5,3. Найдите другой корень и коэффициент с.

5. Один из корней уравнения равен 10. Найдите другой корень и коэффициент а.

 

Литература:

1.Ерина Т.М. Рабочая тетрадь по алгебре: 8 класс к учебнику «Алгебра.8 класс» для общеобразовательных учреждений/ [Ю.Н.МакарычевН.Г.Миндюк, К.И. Нешков, С.Б.Суворова]; под редакцией С.А. Теляковского. / Т.М.Ерина. – М.:Издательство «Экзамен», 2013.- 160с.


2. Алгебра.8 класс: учебник для общеобразовательных учреждений/ [Ю.Н.МакарычевН.Г.Миндюк, К.И. Нешков, С.Б.Суворова]; под редакцией С.А. Теляковского. – М.:Просвещение, 2013.