Алгебра_8класс_Квадратные уравнения_Квадратный трехчлен_Разработка урока №5

  • docx
  • 30.04.2020
Публикация на сайте для учителей

Публикация педагогических разработок

Бесплатное участие. Свидетельство автора сразу.
Мгновенные 10 документов в портфолио.

Иконка файла материала Алгебра_8класс_Квадратные уравнения_Квадратный трехчлен_Разработка урока №5.docx

Раздел долгосрочного плана:

Квадратные уравнения

Школа:

Дата:

ФИО учителя:

Класс: 8

Количество присутствующих:

отсутствующих:

Тема урока

Квадратный трехчлен. Разложение квадратного трехчлена на множители

Тип урока

Урок закрепления знаний

Цели обучения, которые достигаются на данном уроке (ссылка на учебную программу)

8.2.1.3

раскладывать квадратный трехчлен на множители;

Цели урока

Научиться  сокращает алгебраические дроби с помощью разложения квадратного трехчлена на множители.

Критерии оценивания

Учащийся

·      сокращает алгебраические дроби с помощью разложения квадратного трехчлена на множители;

·      решает уравнения с помощью разложения квадратного трехчлена на множители.

Языковые цели

 

Учащиеся

·         описывают алгоритм разложения квадратного трехчлена на множители;

·         объясняют взаимосвязь между коэффициентами, полученными при разложении и  корнями квадратного трехчлена;

·         объясняет алгоритм сокращения алгебраической дроби.

Лексика и терминология, специфичная для предмета:

Квадратный трехчлен, корень квадратного трехчлена, кратный корень, квадратное уравнение, первый/второй коэффициент, свободный член, разложение квадратного трехчлена, выделение квадрата двучлена из квадратного трехчлена.

Полезные выражения для диалогов и письма:

Корнем квадратного трехчлена называется...

Для того, чтобы найти корни квадратного трехчлена необходимо...

Если у квадратного трехчлена существуют корни, тогда…

Если квадратный трехчлен можно разложить на множители, тогда…

Квадратный трехчлен нельзя разложить на множители, если...

Для того, чтобы выделить полный квадрат двучлена из трехчлена необходимо...

Привитие ценностей

 

 

Привитие ценностей осуществляется посредством работ, запланированных на данном уроке. Умение учиться, анализировать ситуацию, адаптироваться к новым условиям, ставить проблемы и принимать решения, работать в команде, отвечать за качество своей работы, умение организовывать свое время.

Навыки использования ИКТ

Использование сайта Drfrostmaths.com.

Работа с презентацией

Межпредметные связи

Связь с геометрией устанавливается при решении текстовой задачи на нахождение сторон прямоугольника по заданной площади

Предварительные знания

 

Решение квадратных уравнений, нахождение корней квадратных уравнений с помощью формул и с помощью теоремы Виета. Понятие многочлена. Разложение квадратного трехчлена на множители.

 

Ход урока

Запланированные этапы урока

Запланированная деятельность на уроке

 

Ресурсы

Начало урока

 

0-3 мин

 

 

 

 

 

1.      Организационный момент.

Учитель приветствует учащихся, проверяет готовность учащихся к уроку. Учитель проверяет домашнее задание, в устной форме дает обратную связь учащимся, выявляет причины допущенных ошибок.

 

2.      2. Целеполагание.

3.      Учитель объявляет тему урока и цели обучения, затем совместно с учащимися формулируются цели урока и критерии оценивания.

4.       

Домашнее задание

 

 

 

 

Презентация

Слайды 1-2

 

 

Середина урока

 

3-8 мин

 

 

 

 

 

 

 

8-18 мин

 

 

 

 

 

 

 

 

 

 

 

 

 

 

 

 

 

 

 

 

 

 

 

 

 

 

 18-25 мин

 

 

 

 

 

 

 

 

 

 

 

 

 

 

 

 

 

 

 

 

 

 

 

25-30 мин

 

 

 

 

 

 

 

 

 

 

 

 

 

 

 

 

 

 

 

 

 

 

 

 

 

 

 

30-38 мин

 

 

 

 

 

 

 

 

 

 

 

 

 

 

 

 

 

 

 

 

 

5.      3. Повторение пройденного материала.

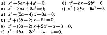
Учащиеся совместно с учителем повторяют различные типы сокращений алгебраических дробей, которые они знают. Например,

1)      ;

2)      ;

3)      ;

 

4. Постановка проблемы.

После повторения различных типов сокращений алгебраической дроби, учащимся задается вопрос:

«Как сокращается дробь ?»

Учащиеся могут предположить, что для этого следует выполнить разложение на множители. Тогда справедливо

.

 

Для закрепления учащимся предлагается выполнить следующие задания, работая индивидуально.

Сократите дроби:

1.     

2.     

3.       

4.       

Критерии оценивания

 

1

Учащийся

находит корни квадратного трехчлена

2

выполняет разложение квадратного трехчлена на множители

3

сокращает дробь

 

5. Парная работа.

Рассматривается пример применения квадратных уравнений для решения простейших геометрических задач.

Длина прямоугольника больше его ширины на 4 м. Известно, что площадь прямоугольника равна 45 м2.

а) Покажите, что справедливо уравнение  .

b) Разложите на множители квадратный трехчлен .

с) Найдите значение x.

Критерии оценивания

Учащийся

-          используя формулу площади прямоугольника, составляет алгебраическое выражение;

-          выполняет разложение квадратного трехчлена на множители;

-          находит корни уравнения.

 

Затем учащиеся решают дополнительные задания, направленные на отработку навыка сокращения алгебраических дробей с помощью разложения квадратного трехчлена.

 

6.Углубление изучаемой темы.

Учащимся, верно справившимся с предыдущими заданиями, следует предложить решить квадратные уравнения с помощью разложения на множители.

Решите уравнение:

 

Критерии оценивания

Учащийся

-          записывает среднее слагаемое квадратного трехчлена в виде суммы двух слагаемых/ выполняет группировку;

-          выносит общий множитель за скобку;

-          выполняет разложение квадратного трехчлена на множители;

-          находит корни уравнения. 

 

7.Тест.

Для того, чтобы оценить знания учащихся по разделу «Квадратный трехчлен» учащимся будут предложены тестовые задания.

1)            Выделите полный квадрат из квадратного трехчлена –x+ 14x + 48.

А. (х + 7)– 1;                B. (х + 7)+ 1;   

C. (х – 7)– 1;                D. –(х – 7)+ 97.

2)    Разложите на множители квадратный трехчлен  2х2 – 10х + 12.

А. (2х – 4)(х + 3);           B. 2(х – 2)(х – 3);     

C. 2(х + 2)(х + 3);           D. (х – 2)(х – 3).

3)  Запишите квадратный трехчлен, корни которого х1 = 2,5 и х2 = -3.

А. х2 – 5,5х + 7,5;           B. х2 – 0,5х – 7,5;     

C. х2 – 5,5х – 7,5;           D. х2 + 0,5х – 7,5.

4) Сократите дробь:          

А.                  B.         C             D

5)    Вычислите дискриминант уравнения  7х2 – 31х – 6 = 0.

А. D=1129;                       B. D=919;       

C. D=793;                         D. D=1003.

6)     Укажите приведенное квадратное уравнение.

А. 5x2 – 29=0;                 В. –x2 + 2x – 4.8=0;  

С. x3 + x2 + 12x=0;          D. x2 – 0.7x – 0.75=0.

7)   Решите квадратное уравнение  3x2 + 6.1x – 5.4 = 0.

      А. x1= -2.7 и x2= 2/3;       B. x1=  2.7 и x2=-2/3;   

      C. x1=5.4 и x2=4/3;           D. x1=5.4 и x2=-4/3.

8)  Найдите отрицательный корень уравнения  20х2 + х – 12 = 0.

А. -3/4;          В. -4/5;          С. -3/2;                        D. -8/5.

9)  Укажите коэффициенты квадратного уравнения   4x2 – 9=0.

А. a=4, b=0, c=9;               B. a=-4, b=0, c=9;   

C. a=4, b=0, c=-9;             D. a=4, b=1, c=9.

10)  При каких значениях x значение выражения  x4 + 0.2x3 – 0.35x2 обращается в нуль?

А. 0.7; 0; -0.5;                     B. 0.5; -0.7;     

C. -0.5; 0; 0.7;                     D. -0.7; 0; 0.5.

 

После завершения учитель оценивает ответы учащихся, указывает им на имеющиеся ошибки, затем учащийся выполняет работу над ошибками.

В соответствие с набранными баллами учащимся дается обратная связь в виде высказываний:

9-10 баллов – Отлично, цель достигнута!

7-8 баллов – Для достижения цели еще нужно поработать.

1-6 баллов – Обратись за помощью к учителю!

 

Презентация

Слайд 3

 

 

 

 

 

 

 

Презентация Слайд 4

 

 

 

 

 

 

 

 

Приложение 1

Презентация Слайд 5

 

 

 

 

 

 

 

 

 

 

 

 

 

 

 

 

 

 

Приложение 1

Презентация Слайд 6

 

 

 

 

 

 

 

 

 

 

 

 

 

 

 

 

 

 

 

 

Презентация Слайд 7

 

 

 

Приложение 1

 

 

 

 

 

 

 

 

 

 

 

 

 

 

 

 

 

 

 

 

 

 

 

 

 

 

Приложение 2

Конец урока

38-40 мин

8. Подведение итогов урока. Рефлексия.

Учитель в качестве домашнего задания может предложить задачи, приведенные в методических рекомендациях к уроку.

 

Презентация

Слайд 8

 

 

 

 

 

 

 

 

 

Дифференциация – каким образом Вы планируете оказать больше поддержки? Какие задачи Вы планируете поставить перед более способными учащимися?

Оценивание – как Вы планируете проверить уровень усвоения материала учащимися?

Здоровье и соблюдение техники безопасности


Дифференциацию предполагается реализовать через применение уровневых заданий, а также через стратегии самообучения

 

Формативное оценивание производится на каждом этапе урока (самооценивание, оценивание учителем по критериям). Оценка путем наблюдения за вовлечением учеников при выполнении заданий и за участием в диалогах, во всеобщих обсуждениях.

Прогресс, ответная реакция на задания в парах будут тщательно рассмотрены для того, чтобы оценить вклад каждого ученика и выявить наличие ошибок для их коррекции.

Все задания подобраны  с учетом возрастных особенностей учащихся. Смена видов деятельности позволяет оптимально распределить силы и внимание учащихся для наибольшего достижения результатов.

 


 

Скачано с www.znanio.ru