|
Раздел:7.4С Алгебраическиедроби |
Школа: |
||||||||||||||||||||||||||||||||||||||||||||||||||||||||||||||||||||||||||
|
Дата: |
ФИО учителя: |
||||||||||||||||||||||||||||||||||||||||||||||||||||||||||||||||||||||||||
|
Класс:7 |
Количество присутствующих: |
отсутствующих: |
|||||||||||||||||||||||||||||||||||||||||||||||||||||||||||||||||||||||||
|
Тема урока |
Деление алгебраических дробей |
||||||||||||||||||||||||||||||||||||||||||||||||||||||||||||||||||||||||||
|
Тип урока |
Урок закрепления |
||||||||||||||||||||||||||||||||||||||||||||||||||||||||||||||||||||||||||
|
Цели обучения, которые достигаются на данном уроке (ссылка на учебную программу) |
7.2.1.28 выполнять сложение, вычитание, умножение и деление алгебраических дробей, например,
|
||||||||||||||||||||||||||||||||||||||||||||||||||||||||||||||||||||||||||
|
Цели урока |
Закрепить навыки деления алгебраических дробей |
||||||||||||||||||||||||||||||||||||||||||||||||||||||||||||||||||||||||||
|
Критерии оценивания |
Выполняет деление алгебраических дробей |
||||||||||||||||||||||||||||||||||||||||||||||||||||||||||||||||||||||||||
|
Языковые цели
|
- комментировать порядок выполнения действий с алгебраическими дробями; пояснять выполнение каждого действия с алгебраическими дробями. |
||||||||||||||||||||||||||||||||||||||||||||||||||||||||||||||||||||||||||
|
Привитие ценностей |
Активность, честность, умение слушать других. |
||||||||||||||||||||||||||||||||||||||||||||||||||||||||||||||||||||||||||
|
Межпредметные связи |
|
||||||||||||||||||||||||||||||||||||||||||||||||||||||||||||||||||||||||||
|
Предварительные знания
|
Умножение и деление алгебраических дробей |
||||||||||||||||||||||||||||||||||||||||||||||||||||||||||||||||||||||||||
|
Ход урока |
|||||||||||||||||||||||||||||||||||||||||||||||||||||||||||||||||||||||||||
|
Запланированные этапы урока |
Запланированная деятельность на уроке |
Ресурсы |
|||||||||||||||||||||||||||||||||||||||||||||||||||||||||||||||||||||||||
|
Начало урока
5 мин
|
1. Приветствие 2. Актуализация опорных знаний. Учащиеся формулируют правила умножения и деления алгебраических дробей и устно выполняют задания. Выполните действия:
|
|
|||||||||||||||||||||||||||||||||||||||||||||||||||||||||||||||||||||||||
|
Парная работа Игра «Карта соответствия»
10мин
Групповая работа 15мин
Самостоятельная работа 10мин |
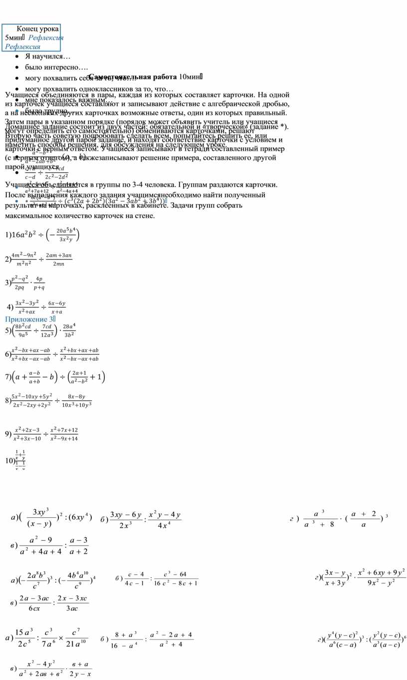
Учащиеся объединяются в пары, каждая из которых составляет карточки. На одной из карточек учащиеся составляют и записывают действие с алгебраической дробью, а на нескольких других карточках возможные ответы, один из которых правильный. Затем пары в указанном порядке (порядок может объявить учитель или учащиеся могут определить его самостоятельно) обмениваются карточками, решают придуманное другой парой задание, и находят соответствие карточки с условием и карточки с верным ответом. Учащиеся записывают в тетради составленный пример (с верным ответом), а такжезаписывают решение примера, составленного другой парой учащихся
Учащиеся объединяются в группы по 3-4 человека. Группам раздаются карточки. После выполнения каждого задания учащимсянеобходимо найти полученный результат на карточках, расклеенных в кабинете. Задачи групп собрать максимальное количество карточек на стене. 1)
2)
3)
4)
5)
6)
7)
8)
9)
10)
Разноуровневая самостоятельная работа. Уровень«А». Упростите выражение:
Уровень «С». Упростите выражение:
|
Учебник Алгебра, 7 класс, Шыныбеков А.Н
Приложение 1
Приложение 2
|
|||||||||||||||||||||||||||||||||||||||||||||||||||||||||||||||||||||||||
|
Конец урока 5мин |
Рефлексия · Я научился… · было интересно…. · могу похвалить себя за то, что…. · могу похвалить одноклассников за то, что… · мне показалось важным… · было трудно…. Домашнее задание состоит из двух частей: обязательной и «творческой» (задание *). Вторую часть советую попробовать сделать всем, попытайтесь решить ее, или наметить способы решения, для обсуждения на следующем уроке. · ·
·
· |
Приложение 3 |
|||||||||||||||||||||||||||||||||||||||||||||||||||||||||||||||||||||||||
|
Дифференциация – каким образом Вы планируете оказать больше поддержки? Какие задачи Вы планируете поставить перед более способными учащимися? |
Оценивание – как Вы планируете проверить уровень усвоения материала учащимися? |
Здоровье и соблюдение техники безопасности |
|||||||||||||||||||||||||||||||||||||||||||||||||||||||||||||||||||||||||
|
Более способным учащимся предлагаются задания более сложного уровня. В ходе групповой работы подготовленныеучащиеся оказывают помощь в решении учащимся с более низким уровнем подготовленности. |
Оценивать учеников через устный опрос, с помощью критериев оценивания, а также учащиеся в парах будут оценивать друг друга. |
Между основынми этапами урока проводится физминутка «гимнастика для глаз» |
|||||||||||||||||||||||||||||||||||||||||||||||||||||||||||||||||||||||||
|
Рефлексия по уроку Были ли цели урока/цели обучения реалистичными? Все ли учащиеся достигли ЦО? Если нет, то почему? Правильно ли проведена дифференциация на уроке? Выдержаны ли были временные этапы урока? Какие отступления были от плана урока и почему? |
Используйте данный раздел для размышлений об уроке. Ответьте на самые важные вопросы о Вашем уроке из левой колонки. |
||||||||||||||||||||||||||||||||||||||||||||||||||||||||||||||||||||||||||
|
|
|||||||||||||||||||||||||||||||||||||||||||||||||||||||||||||||||||||||||||
|
Общая оценка
Какие два аспекта урока прошли хорошо (подумайте как о преподавании, так и об обучении)? 1: Что могло бы способствовать улучшению урока (подумайте, как о преподавании, так и об обучении)? 1: Что я выявил(а) за время урока о классе или достижениях/трудностях отдельных учеников, на что необходимо обратить внимание на последующих уроках?
|
|||||||||||||||||||||||||||||||||||||||||||||||||||||||||||||||||||||||||||
Скачано с www.znanio.ru
Материалы на данной страницы взяты из открытых источников либо размещены пользователем в соответствии с договором-офертой сайта. Вы можете сообщить о нарушении.