Дисперсия света
ОПЫТЫ И. НЬЮТОНА ПО РАЗЛОЖЕНИЮ БЕЛОГО СВЕТА В СПЕКТР
Впервые опыт по разложению света в спектр был сделан Исааком Ньютоном в 1666 году. Он проделал маленькое отверстие в оконном ставне и в солнечный день получил узкий пучок света, на пути которого поставил треугольную стеклянную призму. Пучок преломился в ней, и на противоположной стене появилась цветная полоса, где расположились в определённом порядке все цвета радуги: красный, оранжевый, жёлтый, зелёный, голубой, синий и фиолетовый. Эту цветную полосу Ньютон назвал спектром (от латинского «спектрум» — видимое).

Наименьшего отклонения от первоначального направления падения испытывают красные лучи, а наибольшего — фиолетовые.
После такого эксперимента Ньютон сделал первый вывод: разложение белого света в цветной спектр означает, что белый свет имеет сложную структуру, то есть является составным, то есть смесью всех цветов радуги.
Второй вывод Ньютона состоял в том, что свет разных цветов характеризуется разными показателями преломления в определённой среде. Это означает, что абсолютный показатель преломления для фиолетовых цветов больший, чем для красных.
Зависимость показателя преломления света от его цветов Ньютон назвал дисперсией (от латинского слова dispersio — «рассеивание»).
Однако Ньютон был сторонником корпускулярной теории и объяснить явление дисперсии не мог.
ДИСПЕРСИЯ СВЕТА
Согласно волновой теории цвета света определяются частотой электромагнитной волны, которой является свет. Наименьшую частоту имеет красный свет, наибольшую — фиолетовый. Исходя из опытов Ньютона и опираясь на волновую теорию света, следует вывод: показатель преломления света зависит от частоты световой волны.
Дисперсия света — это явление разложения света в спектр, обусловленное зависимостью абсолютного показателя преломления среды от частоты световой волны.
ЧТО ОТ ЧЕГО ЗАВИСИТ.?
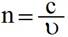
Разным скоростям распространения волн соответствуют разные
абсолютные показатели преломления среды
.
То есть ![]()
Значит, луч красного цвета преломляется меньше из-за того, что он имеет в веществе наибольшую скорость, а луч фиолетового цвета — наименьшую.

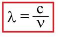
Частота и длина волны связаны между собой

Из формулы видно, что длина волны прямо пропорциональна скорости света и обратно пропорциональна частоте. Отсюда следует то, что длина волны больше в той среде, где скорость волны больше (при заданной частоте).
Из формул видно, что

Поэтому можно утверждать, что абсолютный показатель преломления уменьшается соответственно к увеличению длины световой волны и увеличивается соответсвенно к уменьшению длины световой волны.
Следовательно, во время перехода из одной среды в другуюскорость распространения световой волны, а значит и длина волны, изменяется, а частота, а значит и цвет света, остаётся неизменной.
Скачано с www.znanio.ru
Материалы на данной страницы взяты из открытых источников либо размещены пользователем в соответствии с договором-офертой сайта. Вы можете сообщить о нарушении.