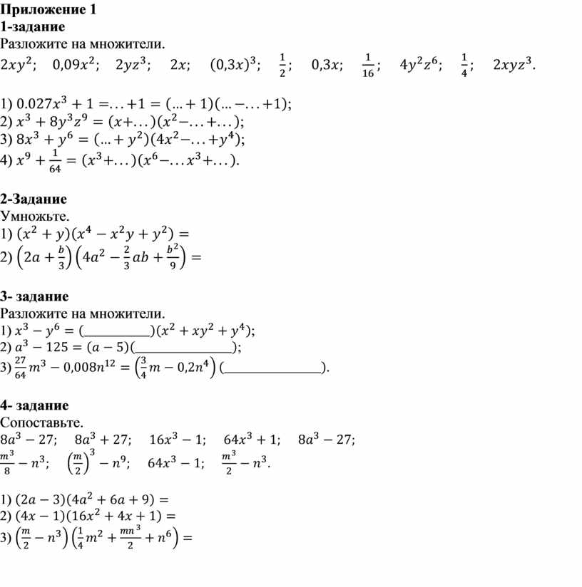
Приложение 1
1-задание
Разложите на множители.
![]()
1)
;
2)
;
3)
;
4)
.
2-Задание
Умножьте.
1)
![]()
2)
![]()
3- задание
Разложите на множители.
1)
;
2)
;
3)
.
4- задание
Сопоставьте.
1)
![]()
2)
![]()
3)
![]()
Приложение 2
Тарсия.


Приложение 3
Упростить:
1. ![]()
2.
3. ![]()
4.
Материалы на данной страницы взяты из открытых источников либо размещены пользователем в соответствии с договором-офертой сайта. Вы можете сообщить о нарушении.