Краткосрочный план_1

  • docx
  • 02.05.2020
Публикация на сайте для учителей

Публикация педагогических разработок

Бесплатное участие. Свидетельство автора сразу.
Мгновенные 10 документов в портфолио.

Иконка файла материала Краткосрочный план_1.docx

Краткосрочный план

 

 

 

Раздел долгосрочного плана:

Школа:

Дата:

ФИО учителя:

Класс: 10

Количество присутствующих:

отсутствующих:

Темаурока: Лабораторная работа №1 «Определение ускорения тела, движущегося по наклонной плоскости»

Цели обучения, которые достигаются на данном уроке (ссылка на учебную программу)

вычислить ускорение, с которым скатывается шарик по наклонному желобу.

Цели урока

-          Вычисляет перемещение и время на лабораторном работе;

-          Вычисляет ускорние с помощью формулы;

-          Пишет вывод.

Критерии оценивания

- Результаты измерений и вычислений напишет в таблицу;

- вычиляет ускорение;

- вычиляет абсолютную погрешность;

- вычиляет относительную погрешность;

- напишет последное значение ускорение.

Языковые цели

Терминологиялық сөздік:

 

қазақша

орысша

ағылшынша

Үдеу

Ускорение

acceleration

Уақыт

Время

time

Орынауыстыру

перемещение

displacement

Абсолюттіқателік

Абсолютная

погрешность

absoluteerror

Салыстырмалықателік

относительнаяпогрешность

relativeerror

Языковые цели

 

 

О Развитие эффективных коммуникативных навыков,  уважение к мнению одноклассников

Знание и пониманиеГГ: ответственность за свои действия, коллективные дела

ЦенностиГГ: толерантноеотношениекокружающимлюдям, личнаяответственностьзаколлективныйбизнес.

Навыки ГГ: умение вести диалог, конструктивно взаимодействовать с другими людьми.

Ценностипродвигаютсячерезобсуждениеключевыхмоментовтемывгруппах.

Межпредметные связи

математика

Навыки использования ИКТ

Работа с инструктивными картами

Предварительные знания

 

Равнопеременное движение

Ход урока

Запланированные этапы урока

Запланированная деятельность на уроке

 

Ресурсы

Началоурока

 

3 мин

Приветствие учителя

 

Определить цель урока

 

Проверка приборов

 

Серединаурока

 

 

34 мин

 

 

 

 

 

 

 

 

 

 

 

 

 

 

 

 

 

 

 

 

 

 

 

 

 

 

 

 

 

 

 

 

 

 

 

 

 

 

 

 

 

 

 

 

 

 

 

 

 

 

 

 

 

 

 

 

 

 

 

 

 

 

 

 

 

 

 

 

 

 

 

 

 

 

 

 

 

 

 

 

 

 

 

 

 

 

Конецурока

3 мин

 

 

 

 

 

 

 

 

 

 

 

 

 

 

 

 

 

 

 

 

 

 

 

 

 

 

 

Лабораторная работа №1

«Определение ускорения тела, движущегося по наклонной плоскости»

 

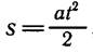
Цель работы: вычислить ускорение, с которым скатывается шарик по наклонному желобу.

Для этого измеряют длину перемещения s шарика за известное время t. Так как при равноускоренном движении без начальной скорости

http://5terka.com/images/fiz9kik/fiz9kikzad-38.png

 

 

 

http://5terka.com/images/fiz9kik/fiz9kikzad-39.pngто, измерив s и t, можно найти ускорение шарика. Оно равно: .

 

Никакие измерения не делаются абсолютно точно. Они всегда производятся с некоторой погрешностью, связанной с несовершенством средств измерения и другими причинами. Но и при наличии погрешностей имеется несколько способов проведения достоверных измерений. Наиболее простой из них — вычисление среднего арифметического из результатов нескольких независимых измерений одной и той же величины, если условия опыта не изменяются. Это и предлагается сделать в работе.

Средства измерения: 1) измерительная лента; 2) метроном.

Материалы: 1) желоб; 2) шарик; 3) штатив с муфтами и лапкой; 4) металлический цилиндр.

 

Порядок выполнения работы

http://5terka.com/images/fiz9kik/fiz9kikzad-40.png1. Укрепите желоб с помощью штатива в наклонном положении под небольшим углом к горизонту (рис.). У нижнего конца желоба положите в него металлический цилиндр.

 

2. Пустив шарик (одновременно с ударом метронома) с верхнего конца желоба, подсчитайте число ударов метронома до столкновения шарика с цилиндром. Опыт удобно проводить при 120 ударах метронома в минуту.

3. Меняя угол наклона желоба к горизонту и производя небольшие передвижения металлического цилиндра, добивайтесь того, чтобы между моментом пуска шарика и моментом его столкновения с цилиндром было 4 удара метронома (3 промежутка между ударами).

4. Вычислите время движения шарика.

5. С помощью измерительной ленты определите длину перемещения s шарика. Не меняя наклона желоба (условия опыта должны оставаться неизменными), повторите опыт пять раз, добиваясь снова совпадения четвертого удара метронома с ударом шарика о металлический цилиндр (цилиндр для этого можно немного передвигать).

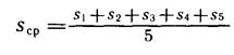
6. По формуле

http://5terka.com/images/fiz9kik/fiz9kikzad-41.pngнайдите среднее значение модуля перемещения, а затем рассчитайте среднее значение модуля ускорения:aср= 2Sср/t2.

7. Результаты измерений и вычислений занесите в таблицу:

№ опыта

S, м

t,c

а, м/с2

1

 

 

 

2

 

 

 

3

 

 

 

4

 

 

 

5

 

 

 

 

Вычисление погрешностей

 

Точность приборов:

Измерительная лента:

Секундомер:

Вычислим абсолютные погрешности:

Вычислим относительную погрешность:

Найденное в результате работы ускорение можно записать так:

а = аср ±

 

Вывод:

 

 

 

 

Дополнительные задания на конце урока:

1. Поезд через 10 с после начала движения приобретает скорость 0,6 м/с. Через сколько времени от начала движения скорость поезда станет равна 3 м/с?

2. Велосипедист движется под уклон с ускорением 0,3 м/с2. Какую скорость приобретает велосипедист через 20 с, если его начальная скорость равна 4 м/с ?

3. Закакое время автомобиль, двигаясь с ускорением 0,4 м/с2, увеличит свою скорость с 12 до 20 м/с?

 

 

 

Рефлексия

(кестеде өз ойларыңызды белгілеңіз)

Пікірлер

иә

жоқ

білмеймін

Сабақта:

1)Көпжаңанәрселерүйрендім

2)Өзбілімімдікөрсеттім

3)Сыныптастарымменбіргежұмысжасадым

 

 

 

Сабақтаменөзімді:

1)Еркінсезіндім

2)Қысылыпотырдым

 

 

 

Сабақтамағанұнады:

1)Топпенжұмыс

2)Көрнекілігі

3)Басқалай

 

 

 

 

Дифференциация – каким образом Вы планируете оказать больше поддержки? Какие задачи Вы планируете поставить перед более способными учащимися?

Оценивание – как Вы планируете проверить уровень усвоения материала учащимися?

Здоровье и соблюдение техники безопасности


Больше поддержки планирую оказать на самом сложном этапе –выполнение эксперимента, когда учащиеся самостоятельно приступают к выполнению, через взаимоконсультирование.

Способные учащиеся должны выполнить в полном объеме с расчетом погрешностей, решают доп.задачи

В начале урока по результатам выполнения и обсуждения задания

Интервьюирование при выполнении эксперимента

Решение задач

Соблюдение техники безопасности

 Проветривание помещения на перемене. Смена деятельности

Рефлексия по уроку

 

Были ли цели урока/цели обучения реалистичными?

Все ли учащиеся достигли ЦО?

Если нет, то почему?

Правильно ли проведена дифференциация на уроке?

Выдержаны ли были временные этапы урока?

Какие отступления были от плана урока и почему?

Используйте данный раздел для размышлений об уроке. Ответьте на самые важные вопросы о Вашем уроке из левой колонки. 

 

Общая оценка

 

 

Какие два аспекта урока прошли хорошо (подумайте как о преподавании, так и об обучении)?

1:

 

 

 

 

 

2:

 

 

 

 

 

Что могло бы способствовать улучшению урока (подумайте как о преподавании, так и об обучении)?

1:

 

 

 

 

2:

 

 

 

 

Что я выявил(а) за время урока о классе или достижениях/трудностях отдельных учеников, на что необходимо обратить внимание на последующих уроках?

 

                                                                                                                                                                        

 


 

Скачано с www.znanio.ru

Посмотрите также