Краткосрочный план_1_Свободные электромагнитные колебания_9 класс

  • docx
  • 01.05.2020
Публикация на сайте для учителей

Публикация педагогических разработок

Бесплатное участие. Свидетельство автора сразу.
Мгновенные 10 документов в портфолио.

Иконка файла материала Краткосрочный план_1_Свободные электромагнитные колебания_9 класс.docx

 

Раздел

долгосрочного плана:

9.3В Колебания и волны

Школа:

НИШ ФМН г.Тараз

Дата:             

     

ФИО учителя:

 

Класс:

9

Количество присутствующих:

Количество отсутствующих:

Тема урока

Свободные электромагнитные колебания

Цели обучения, которые достигаются на данном уроке (ссылка на учебную программу)

9.4.4.1-  описывать качественно свободные электромагнитные колебания в колебательном контуре

Цели урока

Описывать свободные электромагнитные колебания;

Описывать колебательный контур;

Называть основные характеристики электромагнитных колебаний;

Применять формулу Томсона, энергии конденсатора и магнитного поля соленоида при решении задач;

Объяснять превращение энергии в колебательном контуре;

Критерии оценивания

Дает определение свободных электромагнитных колебании;

Описывает свободные электромагнитные колебания;

Называет составные части  колебательного контура;

Называет основные характеристики электромагнитных колебаний и объясняет их;

Применяет формулу Томсона, энергии конденсатора и магнитного поля соленоида при решении задач;

Объясняет превращение энергии в колебательном контуре;

 Языковые цели

Специальная предметная лексика и терминология:

Свободные электромагнитные колебания, колебательный контур,  энергия электрического поля заряженного конденсатора,  энергия магнитного поля катушки, полная энергия идеального контура.

Полезное (-ые) устойчивое (-ые) выражение (-я) для диалогов/письма

Свободные электромагнитные колебания…….

Колебательный контур……..

Полная энергия идеального контура………….

Привитие ценностей

В процессе учебной деятельности учащиеся будут:

творчески и критически мыслить, чтобы принимать верные решения;

ответственными и дружелюбными, чтобы относиться к себе и другим с уважением; готовыми к обучению, чтобы самостоятельно регулировать процесс своего познания в любой жизненной ситуации.

Навыки использования ИКТ

https://www.youtube.com/embed/A7RyoGw3CA8

или

https://www.youtube.com/watch?v=txGap_NTCIc

https://bilimland.kz/ru/courses/physics-ru/ehlektrodinamika/ehlektromagnitnye-kolebaniya/lesson/ehlektromagnitnye-kolebaniya-v-kolebatelnom-konture

Межпредметные связи

Математика

 

Предварительные знания

Физика 8 класс Электромагнитная индукция

Физика 9 класс Механические колебания

Ход урока

Запланированные этапы урока

Запланированная деятельность на уроке

 

Ресурсы

Начало урока

4 мин

 

 

 

2 мин

 

 

 

10 мин

 

 

 

 

 

 

 

 

 

8  мин

 

 

 

 

 

 

 

 

 

 

 

 

 

 

 

 

5 мин

 

 

 

9 мин

 

 

 

 

 

 

 

 

 

 

 

 

 

 

 

 

 

 

 

 

 

 

 

 

 

 

 

 

 

 

 

 

 

 

 

 

(W) Активизация внимания. Вызов

https://www.youtube.com/embed/A7RyoGw3CA8

или

https://www.youtube.com/watch?v=txGap_NTCIc

 

(W) Целеполагание. Учитель совместно с учащимися составляет цели урока и критерия оценивания.

 

 

(G) Работа с ресурсом «Bilimland». «Электромагнитные колебания»

https://bilimland.kz/ru/courses/physics-ru/ehlektrodinamika/ehlektromagnitnye-kolebaniya/lesson/ehlektromagnitnye-kolebaniya-v-kolebatelnom-konture

Обсуждение в группах и краткое описание из каждой группы.

Дифференциация

Некоторые учащиеся могут описать различие

между механическими и электромагнитными колебаниями

 

(Т), (W) Объснение учителя по презентации.

Запись в тетрадях. Можно задавать наводящие вопросы.

Разбирать одну задачу с учащиесями.

Пример 1:

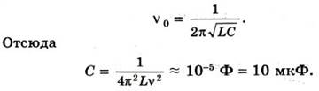
В цепь переменного тока с частотой v = 500 Гц включена катушка индуктивностью L = 10 мГн. Определите емкость конденсатора, который надо включить в эту цепь, чтобы наступил резонанс.

Р е ш е н и е. Электрическая цепь согласно условию задачи представляет собой колебательный контур. Резонанс в этой цепи наступит, когда частота переменного тока будет равна собственной частоте колебательного контура (v = v0).

http://class-fizika.ru/images/10_11_class/11-7/40.6.jpg

(G) Работа с опорным конспектом.

Дополнение нового материала. Обсуждение в малых группах.

 

 

(f) Решение задач. Взаимооценивание.

 

Задача №1 

Колебательный контур содержит конденсатор емкостью 800 пФ и катушку индуктивности индуктивностью 2 мкГн. Каков период собственных колебаний контура?

 

Задача №2

http://xn--i1abbnckbmcl9fb.xn--p1ai/%D1%81%D1%82%D0%B0%D1%82%D1%8C%D0%B8/644624/img13.gif

Если останется время

 

http://xn--i1abbnckbmcl9fb.xn--p1ai/%D1%81%D1%82%D0%B0%D1%82%D1%8C%D0%B8/644624/img13.gif

https://www.youtube.com/embed/A7RyoGw3CA8

или

https://www.youtube.com/watch?v=txGap_NTCIc

 

 

https://bilimland.kz/ru/courses/physics-ru/ehlektrodinamika/ehlektromagnitnye-kolebaniya/lesson/ehlektromagnitnye-kolebaniya-v-kolebatelnom-konture

 

Презентация

Power Point

 

 

 

 

 

 

 

 

 

 

 

 

 

 

 

Приложение 1

 

 

 

Приложение 2

2 мин

Домашнеее задание

Рефлексия

 

Дифференциация – каким образом Вы планируете оказать больше поддержки? Какие задачи Вы планируете поставить перед более способными учащимися?

Оценивание – как Вы планируете проверить уровень усвоения материала учащимися?

Здоровье и соблюдение техники безопасности


Все учащиеся будут: Описывать основные характеристики электромагнитных колебании;

Большинство учащихся

будут: решать задачи на

энергию электромагнитных колебании;

Некоторые учащиеся будут

уметь различать электромагнитные и механические колебания

взаимооценивание, самооценивание, похвала учителя

соблюдение правил поведения и техники безопасности на уроке

Рефлексия по уроку

Были ли цели урока/цели обучения реалистичными?

Все ли учащиеся достигли ЦО?

Если нет, то почему?

Правильно ли проведена дифференциация на уроке?

Выдержаны ли были временные этапы урока?

Какие отступления были от плана урока и почему?

Общая оценка

 

Какие два аспекта урока прошли хорошо (подумайте, как о преподавании, так и об обучении)?

1:

 

2:

 

Что могло бы способствовать улучшению урока (подумайте, как о преподавании, так и об обучении)?

1:

 

2:

 

Что я выявил(а) за время урока о классе или достижениях/трудностях отдельных учеников, на что необходимо обратить внимание на последующих уроках?

 


 

Скачано с www.znanio.ru

Посмотрите также