Методические рекомендации к проведению урока
Тема урока: Повторение раздела «Квадратичная функция»
Тип урока: урок-повторение
Цели урока:
Учащиеся
· находят вершину графика квадратичной функции и точки пересечения графика с осями координат;
· строят график квадратичной функции;
· исследуют квадратичную функцию;
· решают задачи прикладного характера, используя свойства квадратичной функции.
Структура урока
1. Организационный момент. Целеполагание.
2. Повторение.
3. Основные точки графика квадратичной функции.
4. Истина или Ложь.
5. Построение графика квадратичной функции.
6. Прикладные задачи.
7. Подведение итогов урока. Рефлексия.
Теоретический материал к уроку, определения к понятиям и др.

Пересечение с осью Оx
Координата у любой точки, расположенной на оси Ох, всегда равна нулю.
Пересечение с осью Оy
Координата x любой точки, расположенной на оси Оy, всегда равна нулю.
Вершина параболы
Для нахождения координат вершины параболы необходимо выделить полный квадрат.
Инструкции к демонстрациям и технике безопасности.
Демонстрация материала осуществляется с помощью презентации PowerPoint. Слайды презентации содержат анимации, которые позволяют поэтапно вывести на экран решения и ответы к предложенным заданиям. Поэтому при показе презентации следует делать паузы после демонстрации заданий и постановки вопросов, давая учащимся время на их выполнение и обдумывание ответов.
Дополнительные методические рекомендации по организации урока.
Структура и организация урока нацелены на продуктивную деятельность учащихся при изучении новой темы, не допуская пассивного восприятия материала. В связи с этим учителю необходимо задавать учащимся вопросы высокого порядка, наталкивая их на «открытие» и освоение нового материала, при этом выдерживая паузы, необходимые для обдумывания.
Дополнительные разноуровневые (на дифференциацию) задания.
Базовый уровень
Футболист во время тренировки отбил мяч головой вертикально вверх, задав мячу в этот момент начальную скорость 10 м/с.
1) запишите уравнение, описывающее зависимость высоты полета мяча от времени его полета (рост футболиста равен 2 метрам).
2) постройте график зависимости высоты от времени полета мяча.
3) по графику определите:
а) максимальную высоту, которую достигнет мяч;
б) через сколько секунд после начала полета мяч достигнет максимальной высоты;
в) в каком случае скорость полета мяча больше: на первой секунде или на последней секунде полета?
г) через сколько секунд мяч упадет на землю?
Продвинутый уровень
Используя заданный
график, ответьте на следующие вопросы:
1) в какой момент времени ракета поднимется на высоту 20 м и в какой момент времени она снова будет на этой же высоте при снижении?
2) на какой высоте будет находится ракета после 3,5 секунд?
3) определите максимальную высоту, которую достигнет ракета. Сколько потребуется времени ракете для достижения этой высоты?
4) почему график изображен так, что не пересекается с осью Ох?
Рекомендации по формативному оцениванию.
Формативное оценивание производится на каждом этапе урока (самооценивание, взаимооценивание, оценивание учителем по критериям). Оценка путем наблюдения за вовлечением учеников в работу при выполнении заданий и за участием в диалогах. Прогресс, ответную реакцию на задания в парах, в группах необходимо отслеживать для того, чтобы оценить вклад каждого ученика и выявить наличие ошибок для их дальнейшей коррекции.
Ответы, критерии к заданиям, дополнительные материалы к уроку.
Ответы к заданиям будут полезны для организации самооценивания или взаимооценивания учащихся.
Критерии оценивания к каждому блоку заданий прописаны в приложениях к уроку, а также указаны в краткосрочном плане.
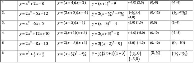
Ответы к приложению 1:

Ответы к приложению 2:
№1. Из курса физики известна формула:
. Подставим
значения
и
, а также ![]()
, получим квадратичную
функцию
.
На рисунке к задаче показан схематичный график функции
.
Вычислим координаты вершины параболы:
![]()
![]()
Максимальная высота, которую достигает мяч равна 7,1 м.
Для того, чтобы найти время, когда мяч упадет на землю, необходимо найти значения t , при которых h=0.
;
; ![]()
;
.
Условию задачи удовлетворяет только одно из найденных значений t. Таким образом, мяч упадет на землю через 2 с.
Список полезных ссылок и литературы.
Алгебра. 8-класс: Учебник для 8 класса общеобразовательной школы с русским языком обучения/ А.Н. Шыныбеков – 3-издание. – Алматы: «Атамұра», 2012. 288 с.
Материалы на данной страницы взяты из открытых источников либо размещены пользователем в соответствии с договором-офертой сайта. Вы можете сообщить о нарушении.