PHY_10_3_V1_LP_defining acceleration of a body moving on an inclined plane

  • docx
  • 02.05.2020
Публикация на сайте для учителей

Публикация педагогических разработок

Бесплатное участие. Свидетельство автора сразу.
Мгновенные 10 документов в портфолио.

Иконка файла материала PHY_10_3_V1_LP_defining acceleration of a body moving on an inclined plane.docx

Long-term plan unit: Physical Measurement

School:

Date:

Teacher name:

Grade: 11

Number present:

absent:

Theme of the lesson

Laboratory work defining acceleration of a body moving on an inclined plane

Learning objectives that are achieved at this lesson(Subject Programme reference)

·         show an understanding of the distinction between systematic errors (including zero errors) and random errors;

·         calculate uncertainties (including graphically)

Lesson objectives

·         Give an example of a systematic and random error in a laboratory experiment

·         Calculate the uncertainties in experimental data

Success criteria

 

      Demonstrates the choice of a reasonable number of decimal places for measurements and can use this in successive calculations.

      Knows the concept of systematic error.

      Knows the concept of statistical (random) error.

      Finds a difference between systematic and statistical (random) errors.

      Knowshowtodetermineuncertainties

      Definesuncertainties

Language objectives

Subject-specific vocabulary & terminology:

all SI units and their multiples and submultiples encountered in the subject programme. E.g. gigawatt, picofarad, measurement, uncertainty, error, zero error, systematic, random

Useful sets of phrases for dialogue and writing:

The magnitude of the force on the train is 210 kilonewton (kN).

Mass is a scalar quantity.

Velocity is a vector quantity and it has a direction as well as a magnitude.

ICT skills

Use of calculators.

Previous learning

 

Students have studied uncertainty and its calculation in 10th grade physics, and have been required to calculate uncertainty in 10 grade laboratory works. 

Course of the lesson

Planned stages of the lesson

Planned activities at the lesson

Resources

Beginning of L1

 

5 min

 

Organizational moment to acquaint students with the

·         Theme of the lesson

·         The objectives of the lesson

·         The criteria of success for the lesson

·         The plan of events for the lesson

·         The safety procedures to be followed during the lesson

·         The connection of the lesson to the school’s mission and vision and global citizenship

Projector, presentation

Middle of L1

33 min

Student laboratory work (set up and measurements done in pairs, calculations and analysis done individually).

 

Paper for students with instructions in the folder.

Objective: to calculate the acceleration with which a ball rolls down an inclined chute.

Measuringinstruments: 1) measuringtape; 2) metronome

Materials: 1) chute/track; 2) ball; 3) tripod with a moveable clamp; 4) metal cylinder.

Procedure

1. Secure the chute with the tripod at a slight incline (at a small angle) above the horizontal (Fig). Place the metal cylinder at the lower end of the chute.

http://5terka.com/images/fiz9kik/fiz9kikzad-40.png

2. After letting the ball go (at the same time as the metronome strike) at the upper end of the chute, count the number of beats of the metronome until the ball collides with the cylinder. It is recommended for this experiment to set the metronome at 120 beats per minute.

3. Change the angle of the chute to the horizontal and slightly move the metal cylinder, so that there are 4 metronome beats (3 intervals between beats) between the moment the ball is let go and the moment it collides with the cylinder.

4. Calculate the time of movement of the ball.

5. Using a measuring tape, determine the distance s that the ball moves. Without changing the angle of incline of the chute (i.e. the conditions of the experiment should remain unchanged), repeat the experiment five times, again trying to match the fourth beat of the metronome with the ball hitting the metal cylinder (the cylinder may be moved slightly).

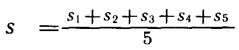
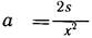
6. Using the formula, find the average value of the magnitude of the displacement, and then calculate the average value of the magnitude of the acceleration:

7. Record your measurements and calculations in the table:

S, m

Saverage, m

Beats

t, s

aaverage, m s-2

 

 

 

 

 

 

8. Calculate the errors (uncertainties)

Laboratory equipment

End of L1

 

2 min

Reflection: Thumbs up/middle/down

Teacher will ask students to respond to the following questions at the end of the first lesson by putting their thumb up for “good,” in the middle for “O.K.” and down for “bad.”

·         I think I am performing or have performed the laboratory work correctly so far

·         I know how to correctly finish the remaining parts of the laboratory work.

Presentation with questions.

Differentiation – how do you plan to give more support? How do you plan to challenge the more able learners?

Assessment – how are you planning to check students’ learning?

Health and safety regulations

Students will be encouraged to select problems from each set that are challenging but doable for them.

During group work, teachers will circulate around the room to informally assess students.

Students will be given a short break in the middle of the lesson to stretch and move around.

Reflection

 

Were the lesson objectives/learning objectives realistic? Did all learners achieve the LO?

If not, why?

Did my planned differentiation work well?

Did I stick to timings?

What changes did I make from my plan and why?

 

Use the space below to reflect on your lesson. Answer the most relevant questions from the box on the left about your lesson. 

 

Summary evaluation

 

 

What two things went really well (consider both teaching and learning)?

1:

 

2:

 

What two things would have improved the lesson (consider both teaching and learning)?

1:

 

2:

 

What have I learned from this lesson about the class orachievements/difficulties of individuals that will inform my next lesson?

 

 

 

 

 


 

Скачано с www.znanio.ru

Посмотрите также