План Логические схемы

  • docx
  • 01.05.2020
Публикация на сайте для учителей

Публикация педагогических разработок

Бесплатное участие. Свидетельство автора сразу.
Мгновенные 10 документов в портфолио.

Иконка файла материала План Логические схемы.docx

                                                       Краткосрочный план урока

Согласовано

Руководитель МО «Информатика»

ФИО. ___________

 

 

Раздел 2. Представление данных

Школа:

Дата:

ФИО учителя:

Класс: 10

Количество присутствующих:

отсутствующих:

Тема урока

Логические операции (дизъюнкция, конъюнкция, инверсия)

Цели обучения, которые достигаются на данном  уроке (ссылка на учебную программу)

·         10.2.2.1 использовать логические операции (дизъюнкция, конъюнкция, инверсия)

Критерии оценивания

·         Знает, что такое алгебра логика

·         Знает виды логических операции

·         Понимает для чего нужны вентили и логическая схема

·         Составляет логические выражения(формулы)

·         Умеет строить логические схемы

Языковые цели

 

Учащиеся умеют:

Работать в группах, различать логические операторы, приводить примеры вентилей.

Предметная лексика и терминология

Вентиль, дизъюнкция, конъюнкция, инверсия, логическая схема.

Полезные фразы для диалога/письма

Логический вентиль … принадлежит группе, называемой …потому что…

Привитие ценностей

Уважение друг друга при работе в группах

Обучение на притяжении всей жизни

Межпредметные связи

Физика, математика

Предварительные знания

Перевод чисел из одной системы счисления в другую

Ход урока

Запланированные этапы урока

Запланированная деятельность на уроке

Ресурсы

Начало урока

7 мин

 

Организационный момент.

1) Повторение темы прошлого урока. Сеанс ответов и вопросов. Учащиеся задают друг другу вопросы, и отвечают на них (цепочка).

Презентация

Середина урока

70 мин

 

Введение в тему урока:

       Учитель задает вопрос всему классу: что такое Логика?

      Учитель обсуждает с учащимися что такое логика и для чего мы изучаем эту тему на уроке информатика.

       Логика - это наука о формах и способах мышления.

Алгебра логики — это математический аппарат, с помощью которого записывают, вычисляют, упрощают и преобразовывают логические высказывания.

Создателем алгебры логики является живший в ХIХ веке английский математик Джордж Буль, в честь которого эта алгебра названа булевой алгеброй высказываний.

 

Высказывание -это форма мышления, которой что-либо утверждается или отрицается о реальных предметах, их свойствах и отношениях между ними.

Высказывание может быть истинно или ложно.

В алгебре высказываний высказывания обозначаются именами логических переменных, которые могут принимать лишь два значения «истинно» и «ложно».

Истинно =1

Ложно=0

 

Виды высказываний:

Логические высказывания принято подразделять на два вида: 

элементарные логические высказывания и составные логические высказывания.

Составное логическое высказывание — это высказывание, образованное из других высказываний с помощью логических связок.

Логическая связка — это любая логическая операция над высказыванием. Например, употребляемые в обычной речи слова и словосочетания «не», «и», «или», «если… , то», «тогда и только тогда» являются логическими связками.

Элементарные логические высказывания — это высказывания не относящиеся к составным.

Примеры: «Петров — врач», «Петров — шахматист» — элементарные логические высказывания. «Петров — врач и шахматист» — составное логическое высказывание, состоящие из двух элементарных высказываний, связанных между собой при помощи связки «и».

Построение логической формулы:  А и В

«Петров — врач»  = переменная А

«Петров — шахматист» = переменная В

Для образования новых высказываний используются базовые логические операции:

логическое отрицание -операция не - инверсия

логическое умножение - операция и - конъюнкция

логическое сложение - операция или – дизъюнкция

 

Основные логические связки

 

Вентили:

Вентиль - это устройство, которое выдает результат булевой операции от введенных в него данных (сигналов).

Логический вентиль — базовый элемент цифровой схемы, выполняющий элементарную логическую операцию, преобразуя таким образом множество входных логических сигналов в выходной логический сигнал

NOT                AND                     OR 

 

 

 

 

 


Учитель показывает видео обзор

 

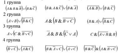
Логические схемы:

Логические схемы нужны для того чтобы в наглядной графической форме отобразить последовательность выполнения операций при вычислении логических формул.

 

Так же учащиеся учатся составлять логические формулы используя данные вентили.(Пример 1,2)

 

 

 

 

 

 

 

 

 

 


 F 

 

 

 

 

 

 

 

 

 

 

 


А также учитель показывает как могут выглядеть логические схемы

 

 

Задание № 4 Составить функцию по заданным схемам

 

Активити: Работа в паре

 

Учащиеся пишут ответы на табличках

 

 

 

 

 

 

 

 

 

 

 

 

 

Учащиеся должны определить сигнал на выходе (работа на табличках)

 

 

 

 

 

 

 

 


                         

 

 

 

 

 

 

 

 

 

 

 

 

Активити: Групповая работа

Учащиеся делятся на группы (рекомендуется в одном группе 3-4 учащихся) и строят логические схемы для логических выражении(формул)

 

Если в классе много учащихся, учитель сам может распределить количество задании на каждую группу, по 2 или 3 формулу для каждой группы.

 

Практическая часть:  Индивидуальная работа

Каждый ученик самостоятельно должен построить логическую схемы из формул групповой работы на Logic.Ly пройдя по ссылке  http://logic.ly/demo

 

Закрепление урока:

Учащиеся сдают формативное оценивание в бумажном форме

Презентация

 

 

 

 

 

 

 

 

 

 

 

 

 

 

 

 

 

 

 

 

 

 

 

 

 

 

 

 

 

 

 

 

 

 

 

 

 

 

 

 

 

 

 

 

 

 

 

 

 

 

 

 

 

 

 

 

 

 

 

 

 

 

 

 

 

 

 

 

 

 

 

 

 

 

 

 

 

 

 

 

 

 

 

 

 

 

 

 

 

 

 

 

 

 

 

 

 

 

 

 

 

 

 

 

 

 

 

 

 

 

 

 

 

 

 

 

 

 

 

 

 

 

 

 

 

 

 

 

 

 

 

 

 

 

 

 

 

 

 

Logic.ly/demo

 

 

 

Конец урока

 3 мин

Рефлексия

·         Чему я научился?

·         Что мне понравилось?

·         Что для меня было трудно?

 

Дифференциация – каким образом Вы планируете оказать больше поддержки? Какие задачи Вы планируете поставить перед более способными учащимися?

Оценивание – как Вы планируете проверить уровень усвоения материала учащимися?

Здоровье и соблюдение техники безопасности

Для того чтобы оказать помощь неуспевающим ученикам на уроке используется парная и групповая работа. А так же помощь учителя в виде информационных таблиц или инструкций для выполнения заданий.

В качестве дифференциации используются задания разных сложностей, а так же учащиеся которые закончили задания быстро помогают другим учащимся.

 

Оценивание на уроке проходит в виде практической работы, а так же в виде сеанса ответов и вопросов в виде игры.

Так же применяется групповая оценка, по выстроенным с учащимися критериям успеха.

Сделанные практические работы отправляются на сайт, где все учащиеся, а так же учитель может оценить их.

 

На первых уроках информатики учащиеся знакомятся с правилами поведения в компьютерном классе. Во время обучения учащиеся опираются на информационную памятку по технике безопасности, которая весит в классе. Так же учащиеся знают как оказать медицинскую  помощь пострадавшему человеку.

Рефлексия по уроку

Были ли цели урока/цели обучения реалистичными?

Все ли учащиеся достигли ЦО?

Если нет, то почему?

Правильно ли проведена дифференциация на уроке?

Выдержаны ли были временные этапы урока?

Какие отступления были от плана урока и почему?

Используйте данный раздел для размышлений об уроке. Ответьте на самые важные вопросы о Вашем уроке из левой колонки. 

 

 

 

 

 

 

 

 

 

Общая оценка

Какие два аспекта урока прошли хорошо (подумайте как о преподавании, так и об обучении)?

1:

 

 

2:

 

 

 

 

Что могло бы способствовать улучшению урока (подумайте как о преподавании, так и об обучении)?

1:

 

 

2:

 

 

Что я выявил(а) за время урока о классе или достижениях/трудностях отдельных учеников, на что необходимо обратить внимание на последующих уроках?

 

 

 

 

 

 

 

 

 

 

 



 

Скачано с www.znanio.ru

Посмотрите также