Приложение 1

  • docx
  • 30.04.2020
Публикация на сайте для учителей

Публикация педагогических разработок

Бесплатное участие. Свидетельство автора сразу.
Мгновенные 10 документов в портфолио.

Иконка файла материала Приложение 1.docx

Графические модели

 

 

 

 

 

Похожее изображение

 

Предметные (материальные) модели

 

 

 

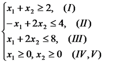
Знаковые модели

 

Картинки по запросу знаковые математические модели

Картинки по запросу знаковые математические модели

Картинки по запросу математические модели примеры