Применение ФСУ при разложении многочлена на множители_Урок 1_Домашнее задание

  • docx
  • 30.04.2020
Публикация на сайте для учителей

Публикация педагогических разработок

Бесплатное участие. Свидетельство автора сразу.
Мгновенные 10 документов в портфолио.

Иконка файла материала Применение ФСУ при разложении многочлена на множители_Урок 1_Домашнее задание.docx

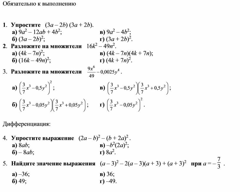
Обязательно к выполнению

 

 

1Упростите   (3a – 2b) (3a + 2b).

а) 9a2 – 12ab + 4b2;                         в) 9a2 – 4b2;

б) (3a – 2b)2;                                    г) (3a + 2b)2.

2Разложите на множители   16k2 – 49п2.

а) (4k – 7n)2;                                    в) (4k – 7n)(4k + 7n);

б) (16k – 49n)2;                                г) (4k + 7n)2.

3Разложите на множители   .

а) ;                              в) ;

б) ;        г) .

 

Дифференциация:

 

4.   Упростите выражение   (2аb)2 – (b + 2а)2 .

а) 8аb;                                              в)b2(2а)2;

б) – 8аb;                                           г) 8а2.

5.   Найдите значение выражения   (a – 3)2 – 2(a – 3)(a + 3) + (a + 3)2   при a = – .

а) –36;                                              в) 36;

б) 49;                                                г) –49.