разложении многочлена на множители_Урок 3_Домашняя работа.docx
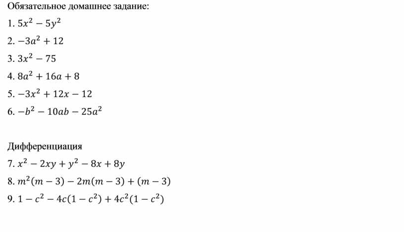
Обязательное домашнее
задание:
1.
2.
3.
4.
5.
6.
Дифференциация
7.
8.
9.
Материалы на данной страницы взяты из открытых источников либо размещены пользователем в соответствии с
договором-офертой сайта. Вы можете
сообщить о нарушении.
Продолжая использовать наш сайт, вы соглашаетесь с политикой использования Cookies. Это файлы в браузере, которые помогают нам сделать ваш опыт взаимодействия с сайтом удобнее.