Методические рекомендации к уроку №2 темы/подраздела
«Решение уравнений»
раздела «Квадратные уравнения»
Тема урока: Решение квадратных уравнений, содержащих знак модуля
Цель обучения:
8.2.2.5
решать уравнения вида |ax2+bx|+c=0; ax2+b|x|+c=0
На изучение подраздела «Решение уравнений» отведено 8 часов. На данном уроке будет продолжено рассмотрение подходов к решению уравнений, содержащих знак модуля, в частности рассматривается решение уравнений вида |ax2+bx|+c=0.
Теоретический материал
Для решения уравнений вида |ax2+bx|+c=0 следует перенести свободный член с в правую часть уравнения, затем воспользоваться определением модуля числа:
1. Если –c > 0, то уравнение
равносильно сосвокупности ![]()
2. Если –c = 0, то
уравнение
равносильно уравнению
.
3. Если –c < 0, то уравнение
не имеет корней.
Методические рекомендации по организации урока. Рекомендации по формативному оцениванию
В начале урока следует уделить время повторению способов решения линейных уравнений, содержащих знак модуля. Для учащихся будет полезным обсуждение решений в парах. Затем учитель может организовать общее решение с записью решения на доске. Эта предварительная работа призвана облегчить восприятие метода решения квадратных уравнений с модулем.
Для первичного закрепления и проверки понимания нового материала учащимся предлагается решить одно уравнение. Предоставление готовых решений на этом этапе поможет учащимся плавно перейти от этапа знания способов решения к их применению. Также нужно обратить внимание учащихся на образец оформления. Напомните учащимся, что к решениям они должны подходить без ручек. Необходимость разъяснять решение кому-либо заставит их вникать во все детали решения, а само объяснение будет способствовать развитию речи учащихся. Далее учитель организует обсуждение более сложных уравнений, превосходящих по уровню сложности уравнения. Обозначенные в цели обучения. Исходя из уровня подготовки класса, учитель может заменить эти уравнения более простыми.
Далее учащиеся приступают к самостоятельному решению уравнений различной сложности. Количество карточек с уравнениями должно превышать число учащихся, поэтому можно распечатать их в 2-3 экземплярах. Здесь реализуется дифференцированный подход, учащиеся смогут работать в соответствии со своими потребностями в своем темпе. Прием, использованный на этом этапе для формативного оценивания, поможет учащимся своевременно устранять возникающие трудности. Также здесь учащимся предоставляется возможность для развития языковых навыков, формирования коммуникативных навыков. Следует обращать внимание не только на умение учащихся излагать свои идеи, но и на умение слушать, задавать уточняющие вопросы. Возможность записать своего имени на доске под решенным им уравнением может стимулировать их к более активной работе.
Ответы и решения
Задания для первичного закрепления в парах
№1.
1.
![]()
Решение.

Ответ:
.
2.
.
Решение.

Ответ:
.
№2.
1.
![]()
Решение.

Ответ:
.
2.
.
Решение.

Ответ:
.
Задания для решения у доски
1.
.
Решение.
Уравнение имеет
решения при условии
:

Ответ:
.
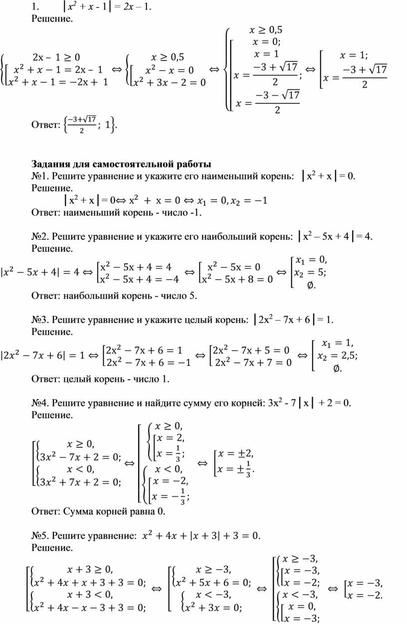
2. │х2 + х - 1│= 2х – 1.
Решение.

Ответ:
.
Задания для самостоятельной работы
№1. Решите уравнение и укажите его наименьший корень: │х2 + х│= 0.
Решение.
│х2 + х│= 0
Ответ: наименьший корень - число -1.
№2. Решите уравнение и укажите его наибольший корень: │х2 – 5х + 4│= 4.
Решение.

Ответ: наибольший корень - число 5.
№3. Решите уравнение и укажите целый корень: │2х2 – 7х + 6│= 1.
Решение.

Ответ: целый корень - число 1.
№4. Решите уравнение и найдите сумму его корней: 3х2 - 7│х│ + 2 = 0.
Решение.
Ответ: Сумма корней равна 0.
№5. Решите
уравнение:
.
Решение.

Ответ: ![]()
№6. Решите
уравнение:
.
Решение.

Ответ:
.
Дополнительные дифференцированные задания
Решите уравнение:│3х2-3х+5│=│2х2+6х-3│.
Решение.

Ответ:
![]()
Список полезных ссылок и литературы
1. Кузнецова Е.П., Алгебра: учеб. пособие для 8 кл. учреждений общ. сред. Образования. 2015. – 310с. – ил.
2. Макарычев Ю.Н., Миндюк Н.Г., Нешков К.И., Феоктистов И.Е. Алгебра. 8 класс : учеб. для учащихся общеобразоват. учреждений – М. : Мнемозина, 2010. – 384 с. : ил.
3. Макарычев Ю.Н., Миндюк Н.Г. Алгебра. Дидактические материалы. 8 класс: пособие для шк. с углубл. изучением математики – М. : Мнемозина, 2010. – 157 с. : ил.
4. Галицкий М.Л., Гольдман А.М., Звавич Л.И. Сборник задач по алгебре, 8-9 классы. – М.: Просвещение, 2009
5.
Материалы на данной страницы взяты из открытых источников либо размещены пользователем в соответствии с договором-офертой сайта. Вы можете сообщить о нарушении.