Урок_3_Решение дробно-рациональных уравнений_Методические рекомендации

  • docx
  • 30.04.2020
Публикация на сайте для учителей

Публикация педагогических разработок

Бесплатное участие. Свидетельство автора сразу.
Мгновенные 10 документов в портфолио.

Иконка файла материала Урок_3_Решение дробно-рациональных уравнений_Методические рекомендации.docx

Методические рекомендации к уроку №3 темы/подраздела

«Решение уравнений»

раздела «Квадратные уравнения»

 

Тема урока: Решение дробно-рациональных уравнений

Цель обучения:

8.2.2.6 решать дробно–рациональные уравнения

 

На изучение подраздела «Решение уравнений» отведено 8 часов. На данном уроке будет введено понятие дробного рационального (или дробно – рационального) уравнения, рассмотрен алгоритм его решения.

 

Теоретический материал

Уравнения, левая и правая части которого, являются рациональными выражениями называют рациональными уравнениями.

Рациональные уравнения бывают целыми и дробными. Уравнения  или  является целым, так как и левая и правая части этих уравнений являются целыми выражениями. Уравнения ,  содержат дробные выражения, поэтому являются дробными рациональными.

Алгоритм решения дробно - рациональных уравнений:

1) найти область допустимых значений переменной;

2) найти общий знаменатель дробей, входящих в уравнение;

3) умножить обу части уравнения на общий знаменатель;

4) решить получившееся целое уравнение;

5) исключить из корней те, которые не входят в ОДЗ, т.е. обращают в нуль общий знаменатель. Эти корни называют посторонними.

 

Методические рекомендации по организации урока. Рекомендации по формативному оцениванию

Изучение нового материала следует начать с диалога с учащимися о видах рациональных уравнений (целых и дробных). Здесь вводится понятие дробного  рационального уравнения. Учащиеся сравнивая и анализируя уравнения, которые относятся к разным группам, могут самостоятельно прийти к получению определения дробного рационального уравнения, так как в седьмом классе уже обсуждался вопрос о целом и дробном рациональном выражении. Однако, прежде чем приступить к изучению способа решения дробно-рациональных уравнений целесообразно решить целые уравнение, в записи которого использованы дробм, например,  . Это поможет учащимся проложить «мостик» от имеющихся знаний и навыков к приобретению новых. После того, как учащиеся самостоятельно решат данное уравнения нужно обсудить этапы решения, записывая их на доске или слайде презентации в виде алгоритма. Затем можно приступать к решению дробных уравнений. Сделав проверку, учащиеся могут убедиться, что не все корни полученного целого уравнения являются корнями исходного дробно-рациональныго уравнения. Полезно дать учащимся время для обдумывания вопроса о том, почему так произошло. После введения понятия постороннего корня, можно обсудить с учащимся другой порядок оформления решения, где первоначально определяется область допустимых значений уравнения, а на последнем этапе проверяется принадлежность корней этой области. Учащиеся должны привлекаться к комментированию каждого этапа решения.

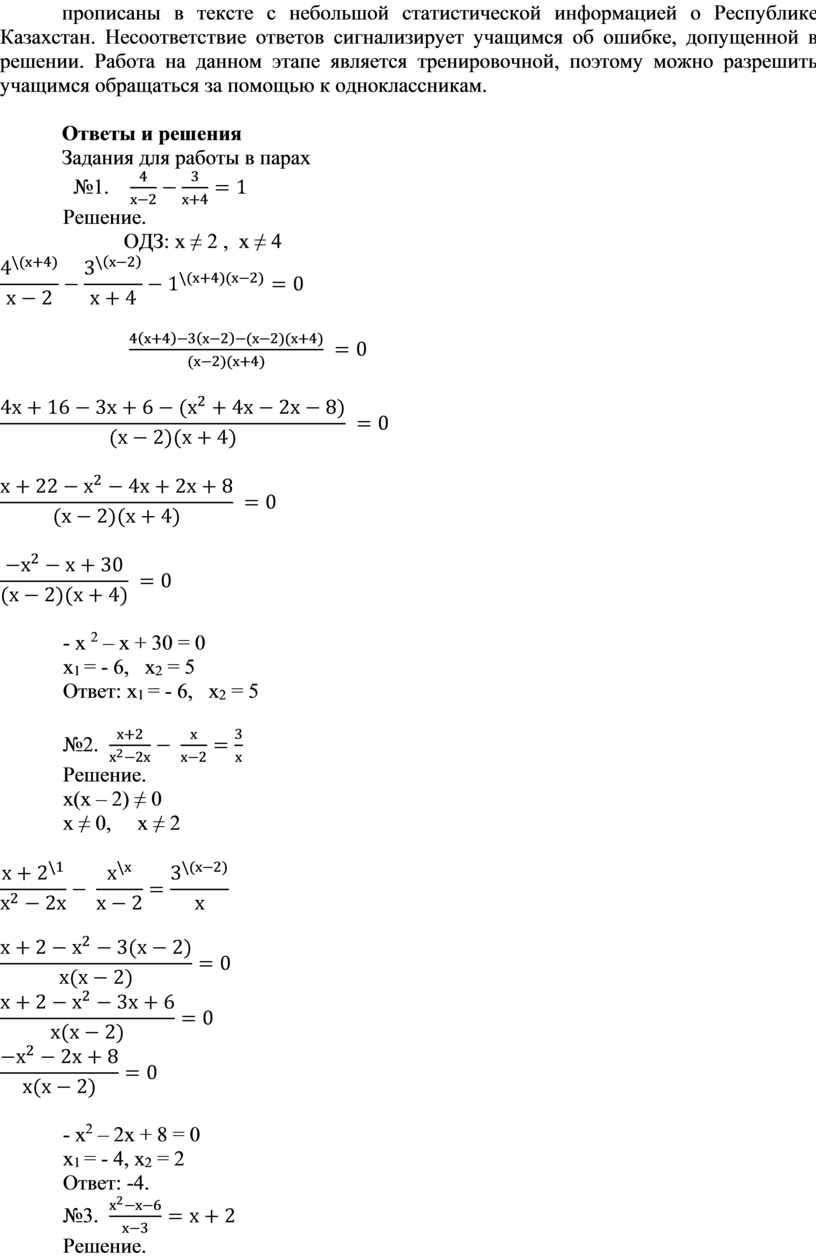
Задания на закрепление новых знаний выполняются в парах и самостоятельно. Учитель будет обходить класс, предоставляя учащимся устные отзывы об их работах. Также у учащихся будет возможность самостоятельно проверять свои ответы: они прописаны в тексте с небольшой статистической информацией о Республике Казахстан. Несоответствие ответов сигнализирует учащимся об ошибке, допущенной в решении. Работа на данном этапе является тренировочной, поэтому можно разрешить учащимся обращаться за помощью к одноклассникам.

 

Ответы и решения

Задания для работы в парах

  №1.   

Решение.

            ОДЗ: х ≠ 2х ≠ 4

 

             

 

 

 

 

- х 2 – х + 30 = 0

х1 = - 6,   х2 = 5

Ответ: х1 = - 6,   х2 = 5

 

№2.   

Решение.

х(х – 2) ≠ 0

х ≠ 0,     х ≠ 2

 

 

  

- х2 – 2х + 8 = 0

х1 = - 4, х2 = 2

Ответ: -4.

№3.   

Решение.

            ОДЗ: х ≠ 3

 

 

  

  

Ответ: х ≠ 3

 

№4.  

Решение.

            ОДЗ:  х ≠ 2,   х ≠ - 2

 

 

  

 

           

Ответ: корней нет.

 

Задание на заполнение пробелов в тексте

Наибольшей по площади является () Карагандинская область.

Наименьшей по площади является () Северо_Казахстанская область.

Наибольшей по численности населения является  Южно–Казахстанская область.

Наименьшей по численности населения является () Атырауская область.

Самая высокая точка Казахстана пик Хан–Тенгри находится в () Алматинской области.

Самая низкая температура (–57º С) в Казахстане была зарегистрирована в () Акмолинской области».

 

 

Дополнительные разноуровневые задания

 

Решите следующие уравнения:

Уровень В

Уровень С

 

Список полезных ссылок и литературы

 

1.                   Макарычев Ю.Н., Миндюк Н.Г., Нешков К.И., Феоктистов И.Е. Алгебра. 8 класс : учеб. для учащихся общеобразоват. учреждений  – М. : Мнемозина, 2010. – 384 с. : ил.

2.                   Зив Б.Г., Гольдич В.А. Дидактические материалы по алгебре для 8 класса. – С.-Петербург: Петроглиф, 2010. -128 с. : ил.


 

3.