Урок_4_Решение дробно-рациональных уравнений_Методические рекомендации

  • docx
  • 30.04.2020
Публикация на сайте для учителей

Публикация педагогических разработок

Бесплатное участие. Свидетельство автора сразу.
Мгновенные 10 документов в портфолио.

Иконка файла материала Урок_4_Решение дробно-рациональных уравнений_Методические рекомендации.docx

Методические рекомендации к уроку №4 темы/подраздела

«Решение уравнений»

раздела «Квадратные уравнения»

 

Тема урока: Решение дробно-рациональных уравнений

Цель обучения:

8.2.2.6 решать дробно–рациональные уравнения

 

На данном уроке будет продолжена работа по формированию навыка решения дробно-рациональных уравнений.

 

Методические рекомендации по организации урока. Рекомендации по формативному оцениванию

В начале урока учащиеся в процессе обсуждения домашней работы повторят алгоритм решения дробных рациональных уравнений. В плане урока указаны вопросы, которые следует обсудить с учащимися. Если учитель посчитает, что учащиеся испытывают затруднения в понимании материала, то до начала проведения игры целесообразно рассмотреть несколько примеров решения уравнений у доски.

Для закрепления навыка решения уравнений учащимся предлагается 8 уравнений. Здесь используется игровая форма организации работы. Названия станций (они являются корнями уравнений) следует перемешать и разместить в произвольном порядке на стенах кабинета. Их можно распечатать крупным шрифтом на цветной бумаге. Так как ученики начнут работу с того уравнения, которое им выдаст учитель то они будут передвигаться, начиная с разных станций, но по одинаковому маршруту. Полученный ответ является названием следующей станции. Ученик подходит к станции, берет билет, т.е. записывает в лист ответов уравнение, данное под номером станции и решает его. Один полный цикл этого маршрута показан ниже, здесь задания расположены в том порядке, в каком их будет решать ученик, которому достанется уравнение .

На заключительном этапе урока учащиеся приступят к решению более сложных уравнений. Поэтому здесь учащимся дается возможность обсудить в парах решения.

 

Ответы и решения

№1-  Станция {-4}

                                

Решение.

x≠ -     

Ответ: x = 0,5.                      

                           

№2 - Станция {0,5}.

 http://xn--i1abbnckbmcl9fb.xn--p1ai/%D1%81%D1%82%D0%B0%D1%82%D1%8C%D0%B8/559882/img13.gif    

Решение.

x≠      

x1=5, x2= - 0,25               

Ответ:  x1=5, x2= - 0,25.

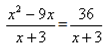
№3 - Станция {-0,25; 5}.

 http://xn--i1abbnckbmcl9fb.xn--p1ai/%D1%81%D1%82%D0%B0%D1%82%D1%8C%D0%B8/559882/img13.gif 

Решение.

x≠ -3     

x1=12,  x2= - 3.

Ответ: х =12.   

         

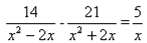
№4 - Станция {12}

 http://xn--i1abbnckbmcl9fb.xn--p1ai/%D1%81%D1%82%D0%B0%D1%82%D1%8C%D0%B8/559882/img13.gif      

Решение.

x ≠ 1, х ≠ - 

x1=4, x2= - 7.

Ответ:     x1=4, x2= - 7.           

 

№5 - Станция {-7; 4}

http://xn--i1abbnckbmcl9fb.xn--p1ai/%D1%81%D1%82%D0%B0%D1%82%D1%8C%D0%B8/559882/img13.gif   

Решение.

x ≠ 4, х ≠ - 6

x1=8, x2= - 10.

Ответ:  x1=8, x2= - 10.

 

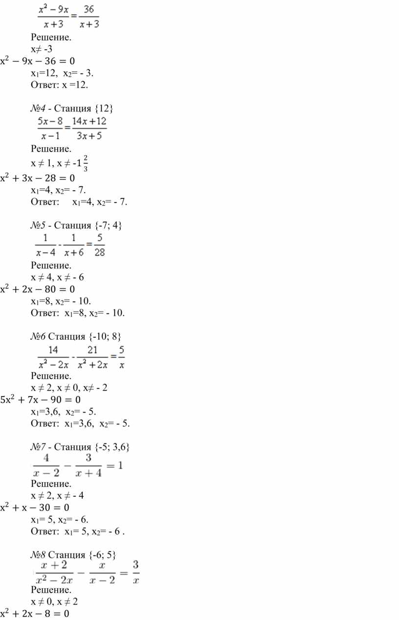
№6 Станция {-10; 8}

 http://xn--i1abbnckbmcl9fb.xn--p1ai/%D1%81%D1%82%D0%B0%D1%82%D1%8C%D0%B8/559882/img13.gif

Решение.

x ≠ 2, х ≠ 0, х≠ - 2

x1=3,6,  x2= - 5.

Ответ:  x1=3,6,  x2= - 5.

 

№7 - Станция {-5; 3,6}

\[1)\frac{4}{{x - 2}} - \frac{3}{{x + 4}} = 1\]              

Решение.

x ≠ 2, х ≠ - 4

x1= 5, x2= - 6.

Ответ:  x1= 5, x2= - 6 .

 

№8 Станция {-6; 5}

 \[2)\frac{{x + 2}}{{{x^2} - 2x}} - \frac{x}{{x - 2}} = \frac{3}{x}\]    

Решение.

x ≠ 0, х ≠ 2

x1= -4, x2= 2.

Ответ:  x = -4.

 

Работа в парах

1. Найдите сумму корней уравнения   -.

Решение.

            x ≠ 2, х -2

x1= -3, x2=  .

Ответ:  .

 

2. Решите уравнение  .

Решение.

            x ≠ 5, х -5

x1= -5, x2=  .

Ответ:   x =   .

 

 

Дополнительные разноуровневые задания

Уровень В

Решите уравнение:

Уровень С

Решите уравнение

 

Список полезных ссылок и литературы

 

1.                   Макарычев Ю.Н., Миндюк Н.Г., Нешков К.И., Феоктистов И.Е. Алгебра. 8 класс : учеб. для учащихся общеобразоват. учреждений  – М. : Мнемозина, 2010. – 384 с. : ил.

2.                   Панарина В.И. Алгебра. 8 класс. 208 диагностических вариантов. М. : Национальное образование, 2012. – 224 с. : ил.


 

3.