Урок_4_Решение дробно-рациональных уравнений_План урока

  • docx
  • 30.04.2020
Публикация на сайте для учителей

Публикация педагогических разработок

Бесплатное участие. Свидетельство автора сразу.
Мгновенные 10 документов в портфолио.

Иконка файла материала Урок_4_Решение дробно-рациональных уравнений_План урока.docx

Раздел долгосрочного плана:

8.2A: Квадратные уравнения

Школа:

Дата:

ФИО учителя:

Класс:8

Количество присутствующих:

отсутствующих:

Тема урока

Решение дробно – рациональных уравнений

Тип урока

Урок закрепления знаний

Урок №4 серии из 8 уроков

 

Цели обучения, которые достигаются на данном  уроке (ссылка на учебную программу)

8.2.2.6 решать дробно–рациональные уравнения

 

Цели урока

Учащиеся знают способы действий, приводящие дробно–рациональные уравнения к квадратным, решают дробно–рациональные уравнения.

Критерии оценивания

 

Навыки

Критерий  оценивания

Знание и понимание

Различает дробно рациональные уравнения

Применение знаний

Приводит дробно-рациональные уравнения к квадратным

Находит область допустимых значений переменной в дробно-рациональных уравнениях

Анализ

Определяет посторонние корни

Языковые цели

 

Учащиеся комментируют решение квадратного или дробно–рационального уравнения, оперируют предметной лексикой и терминологией данного раздела.

Предметная лексика и терминология:

Дробно-рациональное уравнение

область допустимых значений переменной

посторонний корень

Полезные выражения для диалогов и письма:

Представим знаменатель дроби в виде квадрата двучлена …

Приведем дроби к общему знаменателю

Данный корень является посторонним, так как ... .

Привитие ценностей

Академическая честность: уважение идей и мыслей других людей, заключающееся в соблюдении принципов академической честности, нетерпимости к плагиату и копированию информации без указания ее источника.

Сотрудничество: включает в себя развитие теплых отношений, формирование навыков сотрудничества и развитие конструктивного подхода, умение критически мыслить при выстраивании взаимоотношений.

Привитие ценностей осуществляется через работу в паре и при индивидуальной работе.

Межпредметные связи

Прикладная математика, физика.

Исследовательский подход (что я знаю, что хочу узнать, чему научился).

Навыки использования ИКТ

Презентация Power Point

Предварительные знания

 

Учащиеся умеют решать квадратные уравнения, дробно-рациональные уравнения.

Ход урока

Заплани-рованные этапы урока

Запланированная деятельность на уроке

Ресурсы

Начало урока

8мин

 

 

 

Организационный момент: учитель приветствует учащихся, проверяет готовность к уроку.

Проверка домашнего задания:

Отдельные учащиеся могут оформить решение уравнений на доске и кратко прокомментировать решение.

В процессе обсуждения повторить понятие дробного рационального уравнения, что такое область допустимых значений переменной, почему при переходе от дробного рационального уравнения к целому рациональному уравнению могут появиться посторонние корни, как их выявить.

Презентация

Слайды 1-2

 

 

Середина урока

20 мин

 

 

 

 

 

 

 

 

 

 

 

 

 

 

 

 

 

 

 

 

 

 

 

 

 

 

9 мин

 

 

Работа по закреплению навыка решения уравнений

Закрепление полученных знаний и навыков проводится в игровой форме: «Путешествие по станциям».

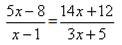
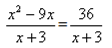
Каждому учащемуся дается карточка с одним из 8 уравнений, приведенных ниже и «Лист ответов». Ученик вписывает уравнение в лист ответов, решает уравнение и вписывает ответ. Затем ученик находит станцию, название, которой совпадает с полученным ответом, выписывает в свой лист ответов уравнение, данное на этой станции. Решив второе уравнение, ученик проделывает те же шаги, что и после решения первого уравнения. Так продолжается пока ученик не обойдет все станции или не закончится время, отведенное на эту работу.

Уравнения:

,

http://xn--i1abbnckbmcl9fb.xn--p1ai/%D1%81%D1%82%D0%B0%D1%82%D1%8C%D0%B8/559882/img13.gifhttp://xn--i1abbnckbmcl9fb.xn--p1ai/%D1%81%D1%82%D0%B0%D1%82%D1%8C%D0%B8/559882/img13.gifhttp://xn--i1abbnckbmcl9fb.xn--p1ai/%D1%81%D1%82%D0%B0%D1%82%D1%8C%D0%B8/559882/img13.gif

http://xn--i1abbnckbmcl9fb.xn--p1ai/%D1%81%D1%82%D0%B0%D1%82%D1%8C%D0%B8/559882/img13.gifhttp://xn--i1abbnckbmcl9fb.xn--p1ai/%D1%81%D1%82%D0%B0%D1%82%D1%8C%D0%B8/559882/img13.gif\[1)\frac{4}{{x - 2}} - \frac{3}{{x + 4}} = 1\]\[2)\frac{{x + 2}}{{{x^2} - 2x}} - \frac{x}{{x - 2}} = \frac{3}{x}\]

 

Самооценивание. Если ответ не совпадает ни с одним из названий станций, значит ученик допустил ошибку, он возвращается на место, находит и исправляет ошибку.

Учитель соберет листы ответов учащихся.

 

Работа в парах

Учащиеся решают одно из предложенных ниже уравнений, затем сверяют свое решение с верным решением, которое будет размещено на доске или стене кабинета. Затем ученики в парах объясняют друг другу решения своих уравнений, разбираются в деталях.

1.Найдите сумму корней уравнения -.

2.Решите уравнение.

 

 

 

Приложение 1

 

Приложение 2

 

 

 

 

 

 

 

 

 

 

 

 

 

 

 

 

 

 

 

 

 

 

 

 

Слайд 3

 

 

Конец урока

3 мин

Домашнее задание

Учитель может предложить учащимся решить четыре уравнения из предложенных ниже.

Решите уравнения:

1.      http://xn--i1abbnckbmcl9fb.xn--p1ai/%D1%81%D1%82%D0%B0%D1%82%D1%8C%D0%B8/606999/img54.gif

2.      http://xn--i1abbnckbmcl9fb.xn--p1ai/%D1%81%D1%82%D0%B0%D1%82%D1%8C%D0%B8/606999/img56.gif

3.      http://xn--i1abbnckbmcl9fb.xn--p1ai/%D1%81%D1%82%D0%B0%D1%82%D1%8C%D0%B8/606999/img58.gif

4.      http://xn--i1abbnckbmcl9fb.xn--p1ai/%D1%81%D1%82%D0%B0%D1%82%D1%8C%D0%B8/606999/img60.gif

5.      http://xn--i1abbnckbmcl9fb.xn--p1ai/%D1%81%D1%82%D0%B0%D1%82%D1%8C%D0%B8/606999/img62.gif

6.      http://xn--i1abbnckbmcl9fb.xn--p1ai/%D1%81%D1%82%D0%B0%D1%82%D1%8C%D0%B8/606999/img64.gif

Подведение итогов. Рефлексия учащихся

Обсудить с учащимися работу, проделанную в течении урока:

- Каковы сильные стороны вашей работы?

- Какие ошибки были допущены в работе, почему?

- Как можно преодолеть эти трудности?

 

 

 

 

 

 

 

 

 

 

 

 

 

 

 

 

 

 

 

Слайд 4

 

 

 

 

Дифференциация – каким образом Вы планируете оказать больше поддержки? Какие задачи Вы планируете поставить перед более способными учащимися?

Оценивание – как Вы планируете проверить уровень усвоения материала учащимися?

Здоровье и соблюдение техники безопасности

Дифференциация заключается в том, что учащиеся имеют возможность работать в своем темпе. Более способные ученики выполнят больше заданий.

Также учащиеся смогут самостоятельно оценить правильность свой работы во время игры, они будут находить и исправлять недочеты в своей работе, тем самым углубляя уровень уровень понимания.

Рекомендуется использовать физминутки.

 

Рефлексия по уроку

Были ли цели урока/цели обучения реалистичными?

Все ли учащиеся достигли ЦО?

Если нет, то почему?

Правильно ли проведена дифференциация на уроке?

Выдержаны ли были временные этапы урока?

Какие отступления были от плана урока и почему?

Используйте данный раздел для размышлений об уроке. Ответьте на самые важные вопросы о Вашем уроке из левой колонки. 

 

Общая оценка

 

Какие два аспекта урока прошли хорошо (подумайте как о преподавании, так и об обучении)?

1:

 

2:

Что могло бы способствовать улучшению урока (подумайте как о преподавании, так и об обучении)?

1:

 

2:

Что я выявил(а) за время урока о классе или достижениях/трудностях отдельных учеников, на что необходимо обратить внимание на последующих уроках?

 

 

 

 


 

Скачано с www.znanio.ru