Методические рекомендации к уроку №6 темы/подраздела
«Решение уравнений»
раздела «Квадратные уравнения»
Тема урока: Решение уравнений, приводимых к квадратным
Цель обучения:
8.2.2.7 решать уравнения, приводящиеся к виду квадратного уравнения
Шестой урок указанного подраздела, состоящего из 8 уроков, ставит целью развитие навыка применения метода замены переменной для решения уравнений.
Теоретический материал
Уравнения вида
, где а ≠ 0, можно привести к
квадратному уравнению, используя подстановку
. В результате подстановки получают
уравнение
и находят его корни
и
. Возвращаясь к замене, решают уравнения
и
.
Методические рекомендации по организации урока. Рекомендации по формативному оцениванию
В начале урока предлагаются несложные задания на повторение, здесь от учащихся ожидается высокая скорость работы – не более 30 секунд на выполнение каждого задания. Рекомендуется использовать маркерные доски, чтобы учитель мог оценить кто из учащихся не справляется с работой и наметить пути устранения трудностей.
Способ решения уравнений путем подстановки был рассмотрен на предыдущем уроке для более простого случая – биквадратных уравнений. На данном уроке продолжается работа по формированию навыка применения этого способа. Трудность может заключаться в нахождении подходящей замены и получении корректного квадратного уравнения. Поэтому после обсуждения метода учащимся предлагается несколько устных упражнений на отработку указанных шагов в решении уравнений путем введения новой переменной.
Работа по применению способа на практике проходит в парах, чтобы учащиеся могли совещаться, сравнивать результаты на промежуточных этапах. В процессе взаимооценивания работ было бы полезным предоставить возможность отвечающему ученику обосновать свои решения, проговорить этапы решения, а проверяющему – высказать комментарии по поводу работы, не ограничивая эту работу простановкой плюсов и минусов в листе оценивания.
Домашнее задание дается дифференцированно, каждый учащийся самостоятельно выбирает уровень сложности уравнений.
Дополнительные разноуровневые задания
Уровень В
Найдите
сумму квадратов корней уравнения
.
Выполните задание двумя способами:
а) решив данное уравнение;
б) не решая уравнение.
Уровень С
Решите уравнение
![]()
Ответы и решения
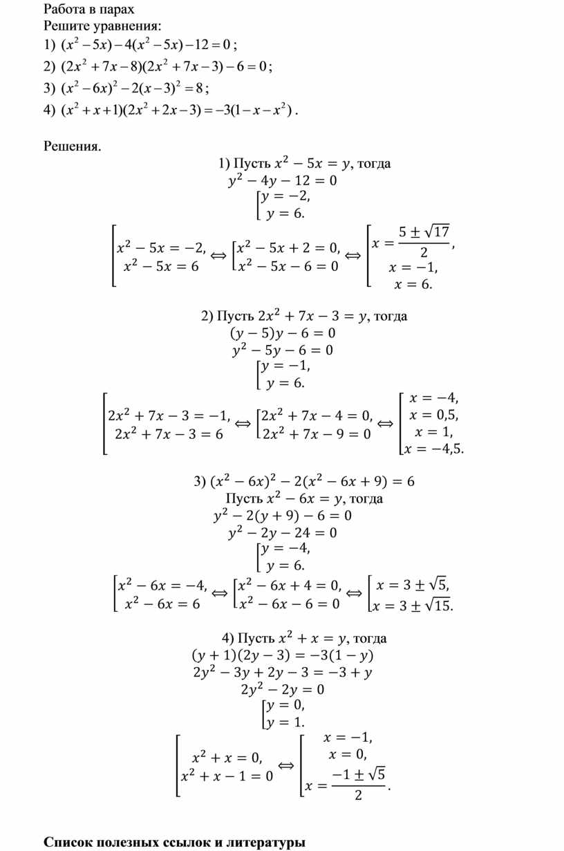
Работа в парах
Решите уравнения:
1)
;
2)
;
3)
;
4)
.
Решения.
1) Пусть
, тогда
![]()
![]()

2) Пусть
, тогда
![]()
![]()
![]()

3) ![]()
Пусть
, тогда
![]()
![]()
![]()
![]()
4) Пусть
, тогда
![]()
![]()
![]()
![]()

Список полезных ссылок и литературы
1. Галицкий М.Л., Гольдман А.М., Звавич Л.И. Сборник задач по алгебре, 8-9 классы. – М.: Просвещение, 2009. 301 с.: ил.
2. Макарычев Ю.Н., Миндюк Н.Г. Алгебра. Дидактические материалы. 8 класс: пособие для шк. с углубл. изучением математики – М. : Мнемозина, 2010. – 157 с. : ил.
3.
Материалы на данной страницы взяты из открытых источников либо размещены пользователем в соответствии с договором-офертой сайта. Вы можете сообщить о нарушении.