Урок_6_Уравнения, приводимые к квадратным_План урока (1)

  • docx
  • 30.04.2020
Публикация на сайте для учителей

Публикация педагогических разработок

Бесплатное участие. Свидетельство автора сразу.
Мгновенные 10 документов в портфолио.

Иконка файла материала Урок_6_Уравнения, приводимые к квадратным_План урока (1).docx

Краткосрочный план

Дата:

Ф.И.О. учителя:

Класс: 8

Количество присутствующих:

отсутствующих:

Тема урока

Решение уравнений, приводимых к квадратным

Урок №6сериииз 8 уроков

 

Тип урока

Комбинированный

Цели обучения, которые достигаются на данном уроке (ссылка на учебную программу)

8.2.2.7 решать уравнения, приводимые к квадратным уравнениям

Цели урока

Учащиеся решают уравнения, приводимые к квадратным.

Кр­­­­итерии оценивания

 

Навыки

Критерий  оценивания

Знание и понимание

Знает алгоритм решения биквадратных уравнений

Понимает, как выполнить подстановку

Применение знаний

Приводит уравнения к квадратным и решает их

Языковые цели

 

Учащиеся будут:

- комментировать уравнения методом подстановки;

- аргументировано рассуждать о количестве корней квадратного уравнения;

- оперировать предметной лексикой и терминологией данного раздела.

Предметная лексика и терминология

- квадратное уравнение;

- уравнение второй степени;

- полное и неполное квадратные уравнения;

- приведенное квадратное уравнение;

- первый или старший коэффициент, второй коэффициент или коэффициент при х, свободный член;

- дискриминант;

- выделение квадрата двучлена;

- рациональное уравнение;

- биквадратное уравнение;

- область допустимых значений дробно–рационального уравнения;

- постороннийкорень.

Серия полезных фраз для диалога/письма

- дискриминантом квадратного уравнения положителен;

- данное квадратное уравнение имеет … (количество корней), так как…;

- обозначим выражение … черезу;

- корни данного квадратного уравнения одного знака, так как…;

- корни данного квадратного уравнения разного знака, так как…;

- данный корень является посторонним, так как….

Привитие ценностей

Сотрудничество. Академическая честность

Межпредметные связи

Знания, полученные в данном разделе, будут применимы при решении целых и рациональных неравенств, а также создадут основу для решения любых уравнений, в том числе приводимых к виду квадратных уравнений.

Навыки использования ИКТ

Презентация, ActivBoard в качестве доски

Предварительные знания

Учащиеся умеют решать квадратные уравнения, дробно-рациональные и биквадратные уравнения.

Ход урока

Запланированные этапы урока

Запланированная деятельность на уроке

Ресурсы

Начало урока

1 мин

 

3 мин

 

 

6 мин

 

Организационный момент. Взаимное приветствие; проверка подготовленности учащихся к уроку (рабочее место, внешний вид); организация внимания. Учитель сообщает учащимся тему урока, цели обучения.

 

Проверка правильности выполнения домашнего задания

Учащиеся в парах обменяются тетрадями и выполнят взаимопроверку работ.

 

Устные упражнения

1. Вычислите: .  (Ответ:  5,8)

2. Разложите на множители: 16у2 - 24у + 9 (Ответ:  (4у-3)2)

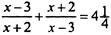
3. Решите уравнение: (Ответ: -1; )

4. Решить уравнение:  (Ответ: 2; 1)

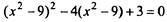
5. Решите уравнение: . (Ответ: )

6. Решить уравнение: . (Ответ: 0)

7. Сократите дробь: (Ответ: а+b)

 

Учащиеся должны выполнять задания преимущественно устно. Ответы записываются на мини-досках или ламинированных листах бумаги и демонстрируются учителю.

 

Презентация

Слайд 1

 

 

 

 

 

 

Слайды 2-8

Мини-доски, маркеры

Середина урока

 

2 мин

 

 

 

 

 

 

3 мин

 

 

 

 

 

 

 

 

 

5 мин

 

 

 

 

 

 

 

10 мин

 

 

 

 

 

 

 

 

 

 

5 мин

 

 

 

 

 

 

 

 

 

 

 

 

7 мин

Изучение нового материала

- Рассмотрим уравнения

х4+7х2-8=0 и.

- Каким способом мы можем решить эти уравнения? (Введением новой переменной или методом подстановки)

- Расскажите алгоритм решения уравнений вида (Вводят новую переменную и , решают уравнения относительно переменной у. Затем находят значение х.)

 

- Какую замену нужно выполнить в следующих уравнениях? Какие квадратные уравнения при этом получатся?

Это задание направлено на отработку навыка нахождения подходящей замены и сведения данного уравнения к квадратному, поэтому решать уравнения не нужно.

 

Рассмотрим уравнение .

1) Какой способ решения наиболее рационально использовать?

2) Какую новую переменную следует ввести? ()

3) Какое уравнение вы получите?

Далее ученики решают уравнение самостоятельно. Один ученик решает на доске.

 

Закрепление новых способов действий

Работа в парах

Решите уравнения:

1) ;

2) ;

3) ;

4) .

 

Затем пары меняются составами. Пришедший проверяет решение одноклассника по своей тетради, дает устные комментарии, оценивает каждое уравнение, используя следующие дескрипторы:

 

Критерий оценивания

Дескрипторы

Решает уравнения, приводимые к квадратным уравнениям

Вводит новую переменную

Решает полученное квадратное уравнение

Возвращается к замене

Записывает ответ

Затем ученики возвращаются в прежние пары и оставшийся ученик рассказывает, какие комментарии были получены от проверявшего.

 

Задания на повторение

Найдите сумму квадратов корней уравнения .

Выполните задание двумя способами:

а) решив данное уравнение;

б) не решая уравнение.

 

 

Слайд 9

 

 

 

 

 

 

 

Слайд 10

Мини-доски, маркеры

 

 

 

 

 

 

 

Слайд 11

 

 

 

 

 

 

 

 

Слайд 12

 

 

 

 

 

 

 

 

Приложение 1

Слайд 13

Конец урока

3мин

 

Итог урока

 

Рефлексия. В трех углах классной комнаты повесить карточки с надписями:

- Все понял и могу объяснить товарищу.

- Многое понял. Но мне еще нужна помощь

- Мне трудно было на уроке

Учащиеся становятся в ту часть класса, которая соответствует их ощущениям после урока. Затем организовать обсуждение дальнейших шагов в продвижении к достижению цели обучения.

 

Домашнее задание:

1. Применив подстановку, решите любые три из данных уравнений.

а) ;

б);

в) ;

г) ;

д) .

2. Не вычисляя корней уравнения , найдите разность квадратов его корней.

 

 

 

 

 

 

 

 

Виленкин Н.Я., Виленкин А.Н., Сурвилло Г.С. и др. Алгебра: учеб. для 8 кл.  с углубленным изучением математики.  – М.: Просвещение, 2006. 303 с. : ил. Страница 234.

Дифференциация – каким образом Вы планируете оказать больше поддержки? Какие задачи Вы планируете поставить перед более способными учащимися?

Оценивание – как Вы планируете проверить уровень усвоения материала учащимися?

Здоровье и соблюдение техники безопасности

Во время работы в парах учащиеся будут поддерживать друг друга на основе взаимообучения, учитель также будет оказывать поддержку учащимся.

Первый номер домашнего задания является дифференцированным по уровню сложности.

 

Во время устной работы учитель сможет оценить понимание учащихся благодаря использованию маркерных досок.

Также во время урока используется взаимооценивание.

Смена видов деятельности позволит снизить усталость учащихся.

Рефлексия по уроку

Были ли цели урока/цели обучения реалистичными?

Все ли учащиеся достигли ЦО?

Если нет, то почему?

Правильно ли проведена дифференциация на уроке?

Выдержаны ли были временные этапы урока?

Какие отступления были от плана урока и почему?

Используйте данный раздел для размышлений об уроке. Ответьте на самые важные вопросы о Вашем уроке из левой колонки.

 

Общая оценка

Какие два аспекта урока прошли хорошо (подумайте как о преподавании, так и об обучении)?

1:

2:

Что могло бы способствовать улучшению урока (подумайте как о преподавании, так и об обучении)?

1:

2:

Что я выявил(а) за время урока о классе или достижениях/трудностях отдельных учеников, на что необходимо обратить внимание на последующих уроках?