Методические рекомендации к уроку №7 темы/подраздела
«Решение уравнений»
раздела «Квадратные уравнения»
Тема урока: Решение уравнений, приводимых к квадратным
Цель обучения:
8.2.2.7 решать уравнения, приводящиеся к виду квадратного уравнения
На данном уроке учащиеся будут решать методом подстановки более сложные уравнения, которые могут сводится к дробно-рациональным уравнениям.
Теоретический материал
Уравнения вида
, можно привести к дробно-рациональному
уравнению, используя подстановку
. В результате подстановки получают
уравнение
, находят его корни
и
. Возвращаясь к замене, решают уравнения
и
.
Методические рекомендации по организации урока. Рекомендации по формативному оцениванию
В начале урока предлагается самостоятельная работа с целью проверки навыка решения уравнений, сводящихся к квадратным после выполнения подстановки. Учитель может собрать работы учащихся для проверки. Либо организовать взаимопроверку в классе.
Далее рассматривается решение уравнения, сводящегося к дробно-рациональному или квадратному уравнению. Учащимся уже знакома идея решения таких уравнений, поэтому следует вовлечь их в процесс самостоятельного получения алгоритма. Дальнейшее задание с применением других подстановок предложено для того, чтобы показать учащимся, что в зависимости от выбора подстановки решение может стать проще или сложнее. Поэтому в дальнейшем они должны анализировать условие и оценивать последующие шаги. Это будет способствовать развитию навыков более высокого порядка.
Учащимся предлагается вместе обсудить возможные подстановки для 5 уравнений, которые приведут к решению дробного рационального уравнения. Учитель сможет использовать записи учащихся. которые они сделают на маркерных досках для оценивания уровня готовности учащихся к применению первых двух шагов полученного ранее алгоритма. Учитель может сделать заметки с именами учащихся, которым необходимо будет уделить внимание во время решения этих уравнений.
По результатам работы учащихся учитель сможет оценить, кто из учащихся достиг цели обучения «решать дробно-рациональные уравнения» и «решать уравнения, приводимые к квадратным».
Дополнительные разноуровневые задания
Уровень С
Решите уравнение
, где
![]()
Ответы и решения
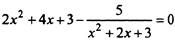
Решите уравнения:
![]()
Решение.
Пусть
, тогда
![]()
![]()
![]()
![]()

![]()
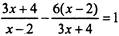
Решение.
Пусть
, тогда
![]()
![]()
![]()
![]()

![]()
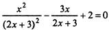
Решение.
Пусть
, тогда
![]()
![]()

![]()
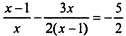
Решение.
Пусть
, тогда
![]()
![]()
![]()

![]()
![]()
Решение.
Пусть
, тогда
![]()
![]()
![]()


Список полезных ссылок и литературы
1. Виленкин Н.Я., Виленкин А.Н., Сурвилло Г.С. и др. Алгебра: учеб. для 8 кл. с углубленным изучением математики. – М.: Просвещение, 2006
2. Мерзляк А.Г. и др. Сборник задач и контрольных работ по алгебре для 8 класса. – Х.: Гимназия, 2010. – 96 с.: ил.
3. Галицкий М.Л., Гольдман А.М., Звавич Л.И. Сборник задач по алгебре, 8-9 классы. – М.: Просвещение, 2009. 301 с.: ил.
4. Макарычев Ю.Н., Миндюк Н.Г. Алгебра. Дидактические материалы. 8 класс: пособие для шк. с углубл. изучением математики – М. : Мнемозина, 2010. – 157 с. : ил.
5.
Материалы на данной страницы взяты из открытых источников либо размещены пользователем в соответствии с договором-офертой сайта. Вы можете сообщить о нарушении.