Урок_7_Решение уравнений, приводимых к квадратным_Методические рекомендации

  • docx
  • 30.04.2020
Публикация на сайте для учителей

Публикация педагогических разработок

Бесплатное участие. Свидетельство автора сразу.
Мгновенные 10 документов в портфолио.

Иконка файла материала Урок_7_Решение уравнений, приводимых к квадратным_Методические рекомендации.docx

Методические рекомендации к уроку №7 темы/подраздела

«Решение уравнений»

раздела «Квадратные уравнения»

 

Тема урока: Решение уравнений, приводимых к квадратным

Цель обучения:

8.2.2.7 решать уравнения, приводящиеся к виду квадратного уравнения

 

На данном уроке учащиеся будут решать методом подстановки более сложные уравнения, которые могут сводится к квадратным или дробно-рациональным уравнениям.

 

Теоретический материал

Уравнения вида , можно привести к дробно-рациональному уравнению, используя подстановку . В результате подстановки получают уравнение   , находят его корни  и . Возвращаясь к замене, решают уравнения  и .

 

Методические рекомендации по организации урока. Рекомендации по формативному оцениванию

В начале урока проводится проверка усвоения материала предыдущего урока. Учащиеся самостоятельно решают по одному уравнению, затем обсуждают решения в группе. Более сильные учащиеся могут выполнить задание раньше, тогда они могут показать решение учителю. Если все выполнено верно, то можно попросить их консультировать отдельных учащихся или решить еще одно уравнение. Если на данном этапе учащиеся испытывают затруднения, то учитель может организовать общее обсуждение решений. Тогда нужно будет внести изменения в план урока, например, сократить число заданий для индивидуальной работы.

В основной части урока рассматривается решение более сложных уравнений. Однако учащиеся могут сами найти пути решения этих уравнений, поэтому до общего обсуждения следует выделить немного времени на размышление. Так учитель сможет вовлечь в обсуждение больше учащихся.

На этапе первичного закрепления предлагается работа в парах, чтобы учащиеся могли обсуждать ход решения, уточнять моменты, которые были не понятны. Учитель обходит класс, слушает, как учащиеся обсуждают, дает рекомендации.

Для самостоятельной работы предлагается 4 уравнения с учетом потребностей сильных учащихся. Возможно, что некоторые учащиеся сделают меньше работы, главное, чтобы выполненные решения были верными. Если кто-то из учащихся не справляется с работой, можно предложить ему изучить решение первого уравнения (полностью или только этап введения новой переменной), затем самостоятельно воспроизвести его. На этом этапе используется самооценивание по образцам решений. Учащиеся должны не просто констатировать, что они допустили ошибку, нужно исправить ее.

 

Ответы и решения

Задания для актуализации знаний

 

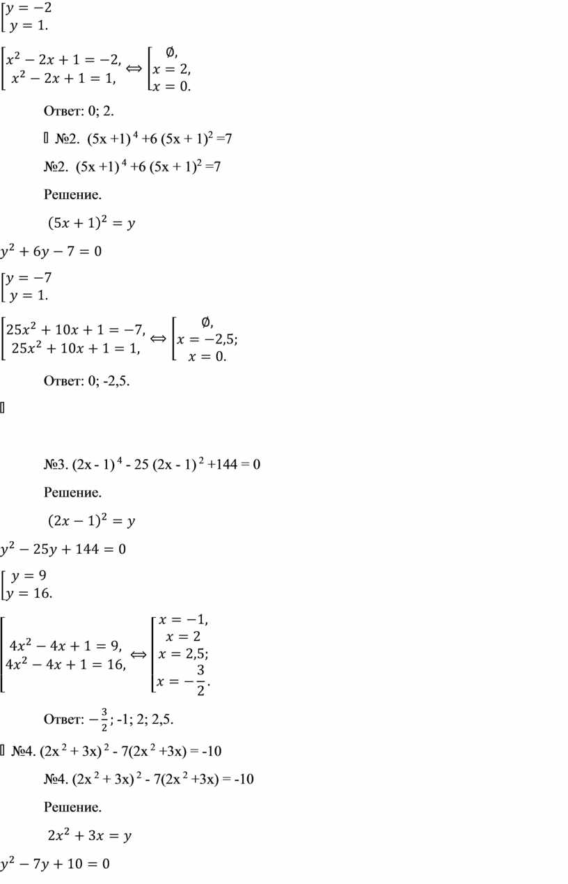
№1. (х - 1) 4 + х 2 – 2х-1 =0

Решение.

 

Пусть  , тогда

Ответ: 0; 2.

 

2.  (5х +1) 4 +6 (5х + 1)2 =7

Решение.

  

Ответ: 0; -2,5.

 

3. (2х - 1) 4 - 25 (2х - 1) 2 +144 = 0

Решение.

  

Ответ: -1; 2; 2,5.

 

4. (2х 2 + 3х) 2 - 7(2х 2 +3х) = -10

Решение.

  

Ответ: -2; 1; -2,5.

 

5. (у2 +2у+4) 2 -7(у 2 + 2у+4)+12 =0

Решение.

  

Ответ: -2; -1; 0.

 

6.    (х 2 + 2) 2 - 5 (х 2 + 2) - 6 = 0

Решение.

  

Ответ: .

 

7.  (х 2 + х+1) 2 - 3х 2 - 3х-1 = 0

Решение.

  

Ответ: .

 

8. 2 - 1) 2 + 2 (х 2 - 1) = 15

Решение.

  

Ответ: .

 

9.  2 – ) 2 - 2 (х-3) 2  =81

Решение.

  

Ответ: 3.

 

10.  2 +2х+ 1)  2 +2х) = 12

Решение.

 

Ответ: -3; 1.

 

 

Работа в парах

Решение.

 

Ответ: 1.

 

Решение.

 

 

Ответ: 0.

 

 

Дополнительные разноуровневые задания

Уровень С

Решите уравнения введением новой переменной:

1.                 

2.                  http://xn--i1abbnckbmcl9fb.xn--p1ai/%D1%81%D1%82%D0%B0%D1%82%D1%8C%D0%B8/524664/Image294.gif

3.                  http://xn--i1abbnckbmcl9fb.xn--p1ai/%D1%81%D1%82%D0%B0%D1%82%D1%8C%D0%B8/524664/Image293.gif

4.                  http://xn--i1abbnckbmcl9fb.xn--p1ai/%D1%81%D1%82%D0%B0%D1%82%D1%8C%D0%B8/524664/Image298.gif

 

Список полезных ссылок и литературы

1.                  Виленкин Н.Я., Виленкин А.Н., Сурвилло Г.С. и др. Алгебра: учеб. для 8 кл.  с углубленным изучением математики.  – М.: Просвещение, 2006

2.                  Мерзляк А.Г. и др. Сборник задач и контрольных работ по алгебре для 8 класса. – Х.: Гимназия, 2010. – 96 с.: ил.

3.                  Галицкий М.Л., Гольдман А.М., Звавич Л.И. Сборник задач по алгебре, 8-9 классы.  – М.: Просвещение, 2009. 301 с.: ил.

4.                  Макарычев Ю.Н., Миндюк Н.Г. Алгебра. Дидактические материалы. 8 класс: пособие для шк. с углубл. изучением математики – М. : Мнемозина, 2010. – 157 с. : ил.


 

5.