Урок_7_Решение уравнений, приводимых к квадратным_План урока (1)

  • docx
  • 30.04.2020
Публикация на сайте для учителей

Публикация педагогических разработок

Бесплатное участие. Свидетельство автора сразу.
Мгновенные 10 документов в портфолио.

Иконка файла материала Урок_7_Решение уравнений, приводимых к квадратным_План урока (1).docx

Краткосрочный план

Дата:

Ф.И.О. учителя:

Класс: 8

Количество присутствующих:

отсутствующих:

Тема урока

Решение уравнений, приводимых к квадратным

Урок №7 серии из 8 уроков

 

Тип урока

Урок комплексного применения знаний

Цели обучения, которые достигаются на данном уроке (ссылка на учебную программу)

8.2.2.7 решать уравнения, приводимые к квадратным уравнениям

Цели урока

Учащиеся решают уравнения, приводимые к квадратным.

Кр­­­­итерии оценивания

 

Навыки

Критерий  оценивания

Знание и понимание

Знает алгоритм решения биквадратных уравнений

Понимает, как выполнить подстановку

Применение знаний

Приводит уравнения к квадратным и решает их

Языковые цели

 

Учащиеся будут:

- комментировать решение квадратного или дробно–рационального уравнения;

- аргументировано рассуждать о количестве корней квадратного уравнения;

- оперировать предметной лексикой и терминологией данного раздела.

Предметная лексика и терминология

- квадратное уравнение;

- уравнение второй степени;

- полное и неполное квадратные уравнения;

- приведенное квадратное уравнение;

- первый или старший коэффициент, второй коэффициент или коэффициент при  х, свободный член;

- дискриминант;

- рациональное уравнение;

- биквадратное уравнение;

- область допустимых значений дробно–рационального уравнения;

посторонний корень.

Серия полезных фраз для диалога/письма

- представим левую часть уравнения в виде квадрата двучлена…;

- дискриминантом квадратного уравнения называется…;

- данное квадратное уравнение имеет … (количество корней), так как…;

- сумму и произведение корней произвольного квадратного уравнения можно выразить через…;

- корни данного квадратного уравнения одного знака, так как…;

- корни данного квадратного уравнения разного  знака, так как…;

данный корень является посторонним, так как….

Привитие ценностей

Сотрудничество. Академическая честность.

Межпредметные связи

Знания, полученные в данном разделе, будут применимы при решении целых и рациональных неравенств, а также создадут основу для решения любых уравнений, в том числе приводимых к виду квадратных уравнений.

Навыки использования ИКТ

Презентация, ActivBoard в качестве доски

Предварительные знания

Учащиеся умеют решать квадратные уравнения, дробно-рациональные и уравнения, приводимые к квадратным методом подстановки.

Ход урока

Запланированные этапы урока

Запланированная деятельность на уроке

Ресурсы

Начало урока

 

10 минут

 

 

 

 

 

 

Организационный момент. Взаимное приветствие; проверка подготовленности учащихся к уроку (рабочее место, внешний вид); организация внимания.

Самостоятельная работа. Решение уравнений, приводимых к квадратным методом замены переменной.

Вариант 1

Вариант 2

Решить уравнения:

1) (х - 5) 2 - 2 (х - 5) = 8

2) (х 2 - 8) 2 + 3 (х 2 - 8) 2 - 4 = 0

Решить уравнения:

1) (2х + 3) 2 - 4 (2х + 3) = 5

2) (х 2 + х) 2 - 11 (х 2 + х) = 12

Вариант 3

Вариант 4

Решить уравнения:

1) (х2 - 2х) 2 + (х 2 - 2х) = 12

2) (х 2 + 2) 2 - 5 (х 2 + 2) - 6 = 0

Решить уравнения:

1) (х 2 - х) 2 - 8 (х 2 - х) + 12 = 0

2) (х 2 - 1) 2 + 2 (х 2 - 1) = 15

Взаимопроверка.

 

 

Презентация

Слайды 1-2

 

 

 

 

 

 

 

 

 

 

 

 

 

Середина урока

5 мин

 

 

 

 

 

 

 

 

 

 

 

 

 

 

 

 

 

 

 

 

 

 

 

 

 

 

 

 

 

2 мин

 

 

 

 

 

 

 

 

 

 

 

 

 

 

 

8 мин

 

 

 

 

 

 

 

 

 

 

 

 

 

5 мин

 

 

 

12 мин

Изучение нового материала.

Рассмотрим следующее уравнение:

http://xn--i1abbnckbmcl9fb.xn--p1ai/%D1%81%D1%82%D0%B0%D1%82%D1%8C%D0%B8/510159/img3.gif

(Нетрудно заметить, если решать в таком виде, то получится переменная уравнения в четвёртой степени – сложно).

Сделаем замену: х2+2х=t, тогда 

http://xn--i1abbnckbmcl9fb.xn--p1ai/%D1%81%D1%82%D0%B0%D1%82%D1%8C%D0%B8/510159/Image3576.gif

Получили новое дробно-рациональное уравнение относительно t, которое можно свести к решению квадратного.

http://xn--i1abbnckbmcl9fb.xn--p1ai/%D1%81%D1%82%D0%B0%D1%82%D1%8C%D0%B8/510159/img4.gif

Подведём итог нашей работы:

Различные по виду уравнения можно решать одним и тем же методом – методом введения новой переменной, где первоначальное уравнение приводится к квадратному.

 

http://xn--i1abbnckbmcl9fb.xn--p1ai/%D1%81%D1%82%D0%B0%D1%82%D1%8C%D0%B8/510159/img5.gif

 

Работа в парах

1. Решите последнее уравнение, используя другие замены:

http://xn--i1abbnckbmcl9fb.xn--p1ai/%D1%81%D1%82%D0%B0%D1%82%D1%8C%D0%B8/510159/img6.gif

2. Проанализировать решение и ответить на вопросы:

·                     появилось ли что-нибудь новое в процессе замены переменной по сравнению с предыдущей заменой?

·                     какая из всех замен представляется вам наиболее рациональной?

3. А можно ли подобрать замену при решении такого уравнения

http://xn--i1abbnckbmcl9fb.xn--p1ai/%D1%81%D1%82%D0%B0%D1%82%D1%8C%D0%B8/510159/img7.gif

Закрепление (Беглый устный разбор)

На слайде презентации представить несколько уравнений.

а) Какую подстановку можно выполнить в каждом уравнении? Какие уравнения при этом получатся?

б) Решите любые из данных уравнений.

На стенах класса можно разместить листы с готовыми решениями. Ученик, выполнив определенное задание, подходит к образцу и проверяет свое решение.

 

 

 

 

Слайд 3

 

 

 

 

 

 

 

 

 

 

 

 

 

 

 

 

 

 

 

 

 

 

 

 

 

 

 

 

 

 

 

 

 

 

Слайд 4

 

 

 

 

 

 

 

 

 

 

Слайд 5

 

 

 

 

 

 

 

 

 

 

 

 

 

Слайд 6

Мини-доски, маркеры

 

 

Приложение 2

Конец урока

3 мин

Итог урока.Каждыйоценивает свой вклад в достижение поставленных в начале урока целей, свою активность, эффективность работы класса, увлекательность и полезность выбранных форм работы.  Ребята по кругу высказываются одним предложением, выбирая начало фразы из рефлексивного окна на экране:

1.                  сегодня я узнал…

2.                  было интересно…

3.                  было трудно…

4.                  я выполнял задания…

5.                  я понял, что…

6.                  теперь я могу…

7.                  я почувствовал, что…

8.                  я приобрел…

9.                  я научился…

10.              у меня получилось …

11.              я смог…

 

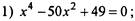
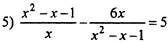
Домашнее задание:

Решите уравнения:

 

Слайд 7

 

 

 

 

 

 

 

 

 

 

 

 

 

 

Слайд 8

Мерзляк А.Г. и др. Сборник задач и контрольных работ по алгебре для 8 класса. – Х.: Гимназия, 2010. – 96 с.: ил.

Страницы 31-32.

Дифференциация – каким образом Вы планируете оказать больше поддержки? Какие задачи Вы планируете поставить перед более способными учащимися?

Оценивание – как Вы планируете проверить уровень усвоения материала учащимися?

Здоровье и соблюдение техники безопасности

Все учащиеся смогут подобрать замену и свести уравнение к квадратному, большинство учащихся смогут закончить решение и получить верный ответ, некоторые учащиеся смогут использовать консультировать остальных, оказывая им поддержку в вопросах решения уравнений.

 

Учитель будет обходить класс предоставляя устные комментарии. Будут использованы мини-доски, чтобы учитель мог оперативно оценить уровень прогресса учащихся.

Классная комната должна быть проветрена.

Рекомендуется выполнение упражнений для глаз в середине урока.

Рефлексия по уроку

Были ли цели урока/цели обучения реалистичными?

Все ли учащиеся достигли ЦО?

Если нет, то почему?

Правильно ли проведена дифференциация на уроке?

Выдержаны ли были временные этапы урока?

Какие отступления были от плана урока и почему?

Используйте данный раздел для размышлений об уроке. Ответьте на самые важные вопросы о Вашем уроке из левой колонки.

 

Общая оценка

Какие два аспекта урока прошли хорошо (подумайте как о преподавании, так и об обучении)?

1:

2:

Что могло бы способствовать улучшению урока (подумайте как о преподавании, так и об обучении)?

1:

2:

Что я выявил(а) за время урока о классе или достижениях/трудностях отдельных учеников, на что необходимо обратить внимание на последующих уроках?