Урок_8_Решение уравнений_Обобщение_Методические рекомендации (1)

  • docx
  • 30.04.2020
Публикация на сайте для учителей

Публикация педагогических разработок

Бесплатное участие. Свидетельство автора сразу.
Мгновенные 10 документов в портфолио.

Иконка файла материала Урок_8_Решение уравнений_Обобщение_Методические рекомендации (1).docx

Методические рекомендации к уроку №8 темы/подраздела

«Решение уравнений»

раздела «Квадратные уравнения»

 

Тема урока: Решение уравнений, приводимых к квадратным

Цель обучения:

8.2.2.5

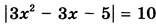
решать уравнения вида |ax2+bx|+c=0, ax2+b|x|+c=0;

8.2.2.6

решать дробно-рациональные уравнения;

8.2.2.7

решать уравнения, приводящиеся к виду квадратного уравнения

 

Это последний из восьми уроков, выделенных на изучение подраздела. Цель урока – обобщение и систематизация знаний о методах решения уравнений, приводимых к квадратным, закрепление навыка применения этих знаний.

 

Методические рекомендации по организации урока. Рекомендации по формативному оцениванию

В начале урока учащиеся будут оформлять постеры с алгоритмами решения уравнений. Эта работа не должна занять много времени. Приоритетным по значимости является умение объяснить этапы решения уравнений, учащиеся должны знать, что каждому придется это делать, поэтому они должны вместе работать над созданием постера. Во время обсуждения постеры должны передаваться по кругу между тремя группами по сигналу учителя.

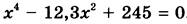
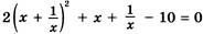
Далее организована работа по развитию умения определять общность и различия видов уравнений, чтобы выбрать путь решения. Решение биквадратного уравнения можно опустить, если учащиеся хорошо владеют этим навыком, и рассмотреть только решение второго уравнения. Планом урока предусмотрено самостоятельное решение этого уравнения и последующая самопроверка с помощью образцов ответов. Но учитель может предложить решение с обсуждением у доски, это зависит от уровня подготовленности класса. Для сильных учащихся предлагается материал, который поможет им изучить способ решения возвратных уравнений. Этот материал не входит в содержание программы, все же отдельные учащиеся смогут изучить его самостоятельно.

Для самостоятельной работы имеется 6 карточек, которые нужно распечатать в нужном количестве. Учащиеся знают способы решения, поэтому от них требуется быстрая работа. «Защита» решений может стать причиной рабочего шума в классе, но этот процесс важен с разных точек зрения, поэтому не стоит пренебрегать им, нужно лишь попросить учеников беседовать в полголоса.

 

Дополнительные разноуровневые задания

 

Уровень С

Реши уравнения:       

1) ;

2) .

Ответы:

1) .

2)  .

 

 

Ответы и решения

Карточки для самостоятельной работы:

 

№1

Ответ: 0,

№2

Ответ: -3 и 4.

№3

Ответ: нет корней.

№4

Ответ: .

№5

Ответ:

№6

Ответ: -2, -0,5, -1.

 

Список полезных ссылок и литературы

1.      Виленкин Н.Я., Виленкин А.Н., Сурвилло Г.С. и др. Алгебра: учеб. для 8 кл.  с углубленным изучением математики.  – М.: Просвещение, 2006

2.      Звавич Л.И., Рязановский А.Р. Алгебра. 8 класс. В 2 ч. Ч. 2. Задачник для учащихся общеобразовательных учреждений – М.: Мнемозина, 2010. – 271 с. : ил.