Поурочные разработки по Алгебре и началам анализа 11 класс к УМК А. Г. Мордковича - 2011 год
Системы иррациональных уравнений. Иррациональные неравенства (факультативное занятие) - Степени и корни. Степенные функции
Цели: рассмотреть наиболее типичные системы иррациональных уравнений; обсудить решение иррациональных неравенств.
Ход уроков
I. Сообщение темы и целей уроков
II. Повторение и закрепление пройденного материала
1. Ответы на вопросы по домашнему заданию (разбор нерешенных задач).
2. Контроль усвоения материала (письменный опрос).
Вариант 1
1. Дайте определение области допустимых значений (ОДЗ) уравнения или неравенства. Приведите примеры.
2. Решите уравнения:

Вариант 2
1. Дайте определение области существования решений (ОСР) уравнения или неравенства. Приведите примеры.
2. Решите уравнения:

III. Изучение нового материала
Прежде всего остановимся на системах иррациональных уравнений. Как правило, такие системы решатся с помощью замены переменных (или переменной).
Пример 1
Решим
систему уравнении ![]()
Введем
две новые переменные
Тогда
получим систему алгебраических уравнений
Левую
часть второго уравнения разложим на множители
и
подставим первое уравнение во второе. Приходим к симметричной системе
уравнений
Из
первого уравнения выразим b = 3 - а и подставим во второе. Получаем: а2 -
а(3 - а) + (3 - а)2 = 3 или а2 - 3а + 2 = 0.
Корни этого уравнения а1 = 1 и а2 = 2.
Соответствующие значения b1 = 2 и b2 = 1.
Вернемся к старым переменным и получим две простейшие системы уравнении:
(решение
х = 1, у = 8) и
(решение
х = 8, у = 1). Таким образом, данная система уравнений имеет два решения: (1;
8) и (8; 1).
Пример 2
Решим
систему уравнений 
Сначала
рассмотрим первое уравнение. Введем для него новую неизвестную
Тогда
уравнение имеет вид:
или
2t2 - 5t + 2 = 0. Корни этого уравнения t1 = 2
(тогда
и
x = 4y) и t2 = 1/2 (откуда
и
y = 4x).
Вернемся
к старым переменным и получим системы алгебраических уравнений:
(решения
х = 4, у = 1 и х = -4,у = -1) и
(решения
х = 1, у = 4 и х = -1, у = -4). Таким образом, исходная система имеет четыре
решения: (4; 1), (-4; -1), (1; 4), (-1; -4).
Достаточно часто при решении систем иррациональных уравнений их необходимо преобразовать и найти более простую связь между неизвестными.
Пример 3
Решим
систему уравнений 
Возведем
первое уравнение в квадрат и получим: ![]()
или
Учтем,
что х - 2 ≥ 0 (т. е. х ≥ 2 - ОСР), и вновь возведем обе части
уравнения в квадрат: х2 - 4х + 4 = х2- у, откуда у =
4х - 4. Таким образом, нашли линейную связь между неизвестными х и у.
Подставим
соотношение у = 4x - 4 во второе уравнение системы:
или
или
(учтено,
что х ≥ 2 и |х - 2| = х - 2), откуда
(заметим,
что х ≤ 6 - ОСР). Возведем в квадрат, обе части уравнения:
-
и найдем
которое
удовлетворяет условиям 2 ≤ х ≤ 6. Теперь определим
Итак,
данная система имеет единственное решение (5/2; 6).
Обратимся теперь к иррациональным неравенствам. Если в случае уравнений и систем уравнений, как правило, было конечное число решений (и их можно было легко проверить подстановкой), то в случае неравенств решением являются числовые промежутки, которые подстановкой проверить невозможно. Поэтому в иррациональных неравенствах необходимо четко контролировать ОДЗ и ОСР.
Пример 4
Решим
неравенство ![]()
ОДЗ
неравенства задается условием
Так
как левая часть неравенства по определению арифметического корня
неотрицательна, а правая часть является отрицательным числом, то ОСР - любое
действительное число х. Поэтому данное неравенство выполняется при всех
значениях х, которые входят в ОДЗ. Другими словами, данное неравенство
равносильно неравенству
или
или
и
х ≠ 3. Решая такое неравенство методом интервалов, получим: ![]()
![]()
Запомните железное правило: обе части неравенства можно возводить в четную степень, если эти части неотрицательны.
Пример 5
Решим
неравенство ![]()
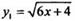
ОДЗ неравенства задается условием 6х + 4 ≥ 0, откуда х ∈ [-2/3; ∞). Так как левая часть неотрицательна, то правая часть неравенства тем более должна быть неотрицательной.
Поэтому ОСР определяется условием 3х - 2 ≥ 0, откуда х ∈ [2/3; ∞). Так как обе части неравенства неотрицательны, то возведем их в квадрат. При этом знак неравенства сохраняется. Получаем: 6х + 4 ≤ 9х2 - 12х + 4 или 0 ≤ х(х - 2). Решение этого квадратного неравенства х ∈ (-∞; 0] U [2; ∞). С учетом ОДЗ и ОСР получаем решение данного иррационального неравенства х ∈ [2; ∞).

Дадим
графическую иллюстрацию решения. На рисунке приведены эскизы графиков
(сплошная
линия) и у2 = 3х - 2 (штрихпунктирная линия). Видно, что неравенство
у1 ≤ у2 (график у1 располагается
не выше графика у2) при х ∈ [2;
∞).
Пример 6
Решим
неравенство ![]()
ОДЗ неравенства х ∈ [-7; ∞), ОСР - любое действительное число х. При этом правая часть неравенства может быть как отрицательной, так и неотрицательной. В связи с этим естественным образом возникают два случая.
а)
Если х + 3 < 0, то неравенство, очевидно, выполняется при всех х, входящих в
ОДЗ. Имеем систему линейных неравенств
решение
которых
откуда
х ∈ [-7; -3).
б)
Если х + 3 ≥ 0, то имеем право возвести в квадрат обе части данного
иррационального неравенства. Получаем систему неравенств:
При
этом в силу второго неравенства величина 2х + 14 больше квадрата некоторого
выражения и будет положительной. Поэтому решения второго неравенства (и всей
системы этого случая) автоматически входят в ОДЗ. Никаких дополнительных
условий записывать не надо.
Решая
систему случая б, получаем:
или
Решение
этих неравенств
откуда
х ∈ [-3; 1).
Объединяя ответы случаев а и б, получаем окончательное решение данного иррационального неравенства х ∈ [-7; 1).
Приведем
графическую интерпретацию решения неравенства. Построим эскизы графиков функций
(сплошная
линия) и у2 = х + 3 (штрихпунктирная линия). Неравенство у1 >
у2 (т. е. график у1 лежит выше графика y2)
выполняется при х в [-7; 1).

Разумеется, при решении иррациональных неравенств используются те же приемы, что и в случае уравнений и систем уравнений, в частности замена переменной.
Пример 7
Решим
неравенство ![]()
ОДЗ
данного неравенства задается условием 5 - х > 0, откуда х < 5. Введем
новую переменную
(где
t > 0). Получаем неравенство
Так
как величина t > 0, то умножим обе части неравенства на t. При этом знак
неравенства сохраняется. Получаем квадратное неравенство: 3 - t2 <
2t или 0 < t2 + 2t - 3. Его решения t < -3 и t > 1.
Так как t > 0, то неравенство t < -3 не выполняется. Рассмотрим
неравенство t > 1 (при этом условие t > 0 выполнено) или
Возведем
в квадрат обе неотрицательные части этого неравенства. Получаем: 5 - х > 1,
откуда х < 4. Итак, решение данного неравенства х ∈ (-∞;
4).
Как и при решении неравенств других типов, наиболее эффективным и мощным методом решения иррациональных неравенств является метод интервалов. Однако использовать его можно только в области непрерывности рассматриваемой функции.
Пример 8
Решим
неравенство ![]()
ОДЗ
неравенства задается условиями
откуда
х ∈ [3; 25) U (25; ∞). В этой области левая часть неравенства
является непрерывной функцией. Найдем точки, в которых числитель и знаменатель
дроби равны нулю. Для этого решаем уравнения
(корень
х = 4) и
(решение
х = 25). Отметим эти точки на числовой оси.
![]()
Определим
знак величины
например,
при х = 9 и получим:
Построим
диаграмму знаков левой части неравенства. Теперь легко записать ответ: х ∈ [3; 4] U
(25; ∞).
Метод интервалов удобно использовать, если кроме иррациональных функций в неравенство входят и функции других видов.
Пример 9
Решим
неравенство ![]()
ОДЗ
неравенства задается условиями
Решение
первых двух неравенств дает промежуток (1/3; 5]. В этом интервале найдем точки,
в которых числитель и знаменатель дроби обращаются в нуль. Получаем
уравнения:
(корень
х = 4) и
(решения
). Отметим
эти точки на числовой прямой.
![]()
Определим
знак левой части неравенства, например, в точке х = 3 и получим:
Построим
диаграмму знаков дроби. На основании диаграммы выпишем ответ: ![]()
IV. Творческие задания (на уроках и дома)
1) Решите системы иррациональных уравнений:


2) Решите неравенство:


V. Подведение итогов уроков
Материалы на данной страницы взяты из открытых источников либо размещены пользователем в соответствии с договором-офертой сайта. Вы можете сообщить о нарушении.