Поурочные разработки по Алгебре и началам анализа 11 класс к УМК А. Г. Мордковича - 2011 год
Степенные функции, их свойства и графики - Степени и корни. Степенные функции
Цели: обобщить понятие степенной функции; рассмотреть свойства и графики таких функций.
Ход урока
I. Сообщение темы и целей урока
II. Повторение и закрепление пройденного материала
1. Ответы на вопросы по домашнему заданию (разбор нерешенных задач).
2. Контроль усвоения материала (тест).
Вариант 1
1.
Найдите значение выражения: ![]()
Ответы: ![]()
2.
Упростите выражение: ![]()
Ответы: ![]()
3.
Сократите дробь: ![]()
Ответы: ![]()
Вариант 2
1.
Найдите значение выражения: ![]()
Ответы: ![]()
2.
Упростите выражение: ![]()
Ответы: ![]()
3.
Сократите дробь: ![]()
Ответы: ![]()
III. Изучение нового материала
Функции вида у = xr (где r - любое действительное число (в том числе и иррациональное)) называют степенными функциями. Пока будем рассматривать только рациональные показатели r. Многие такие функции изучались ранее. Если r - натуральное число (r = n), то получаем функцию у = хn. При n = 1; 2; 3 получаем графики прямой (n = 1), параболы (n = 2) и кубической параболы (n = 3). График степенной функции у = хn в случае четного n (n = 4, 6, 8) похож на параболу (у = х2), а в случае нечетного n (n = 5, 7, 9, ...) - на кубическую параболу (у = х3).

Если
r = -n, то получаем степенную функцию у = х-n или
Вид
таких функций при четных и нечетных n представлен на рисунке.

При r = 0 имеем функцию у = х0 или у = 1 (где х ≠ 0). Графиком такой функции является горизонтальная прямая у = 1 с выколотой точкой х = 0 (х > 0).
Рассмотрим
теперь степенные функции
с
рациональными показатели степени. Их свойства и графики существенно зависят от
показателя степени ![]()
Свойства функции
для ![]()
1. Область определения D(f) = [0; +∞).
2. Определенной четности не имеет.
3. Возрастает на промежутке [0; +∞).
4. Ограничена снизу и не ограничена сверху.
5. Наименьшее значение yнаим = 0, наибольшего значения не имеет.
6. Непрерывна.
7. Область значений E(f) = [0; +∞).
8. Выпукла вниз.

Свойства функции
для ![]()
1. Область определения D(f) = [0; +∞).
2. Определенной четности не имеет.
3. Возрастает на промежутке [0; +∞).
4. Ограничена снизу и не ограничена сверху.
5. Наименьшее значение унаим = 0, наибольшего значения не имеет.
6. Непрерывна.
7. Область значений E(f) = [0; +∞).
8. Выпукла вверх.

Свойства функции
для ![]()
1. Область определения D(f) = (0; +∞).
2. Определенной четности не имеет.
3. Убывает на промежутке (0; +∞).
4. Ограничена снизу и не ограничена сверху.
5. Наименьшего и наибольшего значений не имеет.
6. Непрерывна.
7. Область значений E(f) = (0; +∞).
8. Выпукла вниз.

Наконец обсудим производную степенной функции.
Теорема (без доказательств). Если х > 0 и r - любое рациональное число, то производная степенной функции у = хr вычисляется по формуле y' = rxr-1.
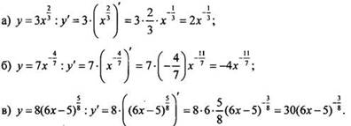
Пример 1
Найдем производную функцию:

При
этом было использовано правило дифференцирования ![]()
Пример 2
Исследуем
функцию
на
монотонность и экстремумы и построим ее график.
1.
Найдем производную данной функции: ![]()

2.
Функция существует при х ≥ 0, производная существует при х > 0.
Поэтому критических точек у функции нет. Стационарную точку найдем из условия
у' = 0 или
откуда
х = 1.
3.
Очевидно, что при х ∈ (0; 1], значение у' ≤ 0 и функция у(х) убывает на этом
промежутке. При х ∈ [1; +∞) значение у' ≥ 0 и функция у(х) возрастает. В
точке х = 1 функция у(х) имеет минимум ![]()
4.
График функции у(х) пересекает ось абсцисс в точке, которая является решением
уравнения
или
откуда
х = 0 или х = 3.
5. Построим график функции у(х).

Пример 3
Найдем
наименьшее и наибольшее значения функции
на:
а) отрезке [0; 27]; б) интервале (0; 27); в) отрезке [8; 27].
1.
Найдем производную данной функции: ![]()
![]()
2.
Функция существует при х ≥ 0, производная существует при х > 0.
Поэтому критических точек у функции нет. Стационарную точку найдем из условия
у' = 0 или
откуда
и
х = 1.
3.
При х ∈ (0; 1] значение у' ≥ 0 и функция у(х) убывает на этом
промежутке. При x ∈ [1; +∞) значение у’ = 0 и функция y(х) возрастает. В точке
х = 1 функция у(х) имеет минимум ![]()
а)
Найдем значения функции на концах промежутка [0; 27]. у(0) = 0,
Точка
минимума лежит на данном промежутке, и
Тогда
наименьшее значение функции на отрезке
наибольшее
значение ![]()
б)
Так как концы промежутка 0 и 27 интервалу (0; 27) не принадлежат, то функция
у(х) наибольшего значения не имеет. Точка х = 1 лежит на данном интервале, и
наименьшее значение функции ![]()
в)
На промежутке [8; 27] функция у(х) возрастает. Поэтому наименьшее значение
функции
и
наибольшее значение ![]()
Пример 4
Напишем
уравнение касательной к графику функции
в
точке a = 1.
Напомним
общий вид уравнения касательной: ![]()
![]()
1.
Найдем значение функции: ![]()
2.
Найдем производную функции:
и ее
значение f'(1) = 1.
3. Подставим значения f(a), f’(а) и а в уравнение касательной и получим: у = 1 + 1 ∙ (х - 1) или у = х.
IV. Контрольные вопросы
1. Определение степенной функции у = xr.
2.
Свойства функции
и
ее график для:
![]()
3. Производная степенной функции.
V. Задание на уроке
§ 38, № 3 (а); 7; 11; 12 (а, г); 15(6); 17; 20 (а, б); 26 (а, в); 27 (в, г); 28 (б); 30 (а, б); 31 (а); 32 (г); 33 (а); 39 (б).
VI. Задание на дом
§ 38, № 3 (б); 8; 10; 12 (б, в); 15 (в); 18; 21 (в, г); 26 (б, г); 27 (а, б); 28 (г); 30 (в, г); 31 (б); 32 (а); 33 (б); 39 (а).
VII. Подведение итогов урока
Материалы на данной страницы взяты из открытых источников либо размещены пользователем в соответствии с договором-офертой сайта. Вы можете сообщить о нарушении.