Поурочные разработки по Алгебре и началам анализа 11 класс к УМК А. Г. Мордковича - 2011 год
Интегрирование функций с помощью их преобразования (факультативное занятие) - Первообразная - Первообразная и интеграл
Цель: рассмотреть некоторые приемы интегрирования функций.
Ход уроков
I. Сообщение темы и цели уроков
II. Повторение и закрепление пройденного материала
1. Ответы на вопросы по домашнему заданию (разбор нерешенных задач).
2. Контроль усвоения материала (самостоятельная работа).
Вариант 1
1. Найдите первообразную функции:

2. Найдите ту первообразную функцию f(x) = 4х + 7, график которой касается оси абсцисс.
Вариант 2
1. Найдите первообразную функции:

2. Найдите ту первообразную функцию f(x) = 6х - 4, график которой касается оси абсцисс.
III. Изучение нового материала
Разумеется, первообразную можно найти только для тех функций, которые приведены в таблице. Поэтому основной принцип интегрирования - приведение более сложных функций к тем, которые даны в таблице. Существуют следующие методы интегрирования:
1. Метод непосредственного (табличного) интегрирования (был рассмотрен на предшествующих уроках).
2. Метод замены переменной интегрирования. Простейший случай линейной замены (нахождение первообразной функции f(kx + m)) был также рассмотрен на предыдущих занятиях.
3. Метод преобразования функции в сумме функций будет рассмотрен на этом уроке.
4. Метод интегрирования по частям достаточно сложен и будет изучаться в вузе.
Ранее отмечалось, что одна из сложностей при интегрировании состоит в отсутствии формул для первообразных произведения и частного функций. Поэтому необходимо произведение и частное функций представить в виде суммы функций (если это возможно). На примерах рассмотрим самые типичные ситуации.
Пример 1
Найдем первообразную функции f(x) = (3х + 1)(2х - 3).
Умножим
многочлены и запишем функцию в виде f(x) = 6х2 - 7х - 3.
Первообразную такой функции уже легко найти: ![]()
![]()
Пример 2
Найдем
первообразную функции ![]()
В
данной функции выделим целую часть. Для этого столбиком разделим числитель на
знаменатель и получим
Найдем
первообразную такой функции: ![]()
![]()
Пример 3
Найдем
первообразную функции ![]()
Прежде
всего заметим, что квадратный трехчлен х2 + 2х - 15 имеет корни
и может быть разложен на множители: х2 + 2х - 15 = (х – 3)(x +
5). Очевидно, что дробь
может
получиться при сложении дробей со знаменателями х - 3 и х + 5. При этом
числители дробей неизвестны. Обозначим их величинами а и b соответственно (где
a и b - некоторые числа) и представим дробь в виде ![]()
В
правой части равенства приведем дроби к общему знаменателю: ![]()
Получили
равенство ![]()
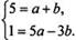
которое
выполняется, если
Решение
этой системы линейных уравнений а = 2 и b = 3. Таким образом, имеем:
Теперь
легко найти первообразную функции: ![]()
Пример 4
Найдем
первообразную функции ![]()
Избавимся
от иррациональности в знаменателе функции. Для этого числитель и знаменатель
дроби умножим на величину, сопряженную знаменателю. Ползаем: ![]()
Найдем
первообразную этой функции: 
Очень часто при интегрировании дробей используют почленное деление числителя на знаменатель.
Пример 5
Найдем
первообразную функции ![]()
Почленно
разделим числитель на знаменатель и запишем функцию в виде
Теперь
легко найти первообразную функции: ![]()
Пример 6
Найдем первообразную функции f(x) = tg2x.
Используем
основное тригонометрическое тождество и запишем функцию в виде
Найдем
первообразную этой функции: F(x) = tg х - х + с.
При интегрировании тригонометрических функций часто используют различные тригонометрические формулы.
Пример 7
Найдем
первообразную функции 
Используем формулу
приведения и преобразуем функцию:
Найдем
первообразную функции ![]()
Пример 8
Найдем
первообразную функции ![]()
Используя метод
вспомогательного угла, преобразуем выражение
и
получим: ![]()
Тогда
функция имеет вид
Используем формулу
понижения степени
Найдем
первообразную такой функции 
Пример 9
Найдем первообразную функции f(x) = sin4x.
Вновь
дважды используем формулу понижения степени и запишем функцию
в виде ![]()
Находим
первообразную такой функции: ![]()
![]()
И наконец, очень часто используют формулы преобразования произведения тригонометрических функций в сумму функций.
Пример 10
Найдем
первообразную функции ![]()
Преобразуем
произведение косинусов в их сумму и запишем функцию в виде ![]()
Найдем
первообразную этой функции: ![]()
IV. Задания на уроках и дома
Найдите первообразную функции:


Ответы из-за их громоздкости не приводятся.
V. Подведение итогов уроков
Материалы на данной страницы взяты из открытых источников либо размещены пользователем в соответствии с договором-офертой сайта. Вы можете сообщить о нарушении.