Филиал бюджетного профессионального образовательного учреждения Чувашской Республики
«Чебоксарский медицинский колледж»
Министерства здравоохранения Чувашской Республики в городе Канаш
|
РАССМОТРЕНО и ОДОБРЕНО на заседании ЦМК ОГСЭ Протокол № ____ «____» _______________ 20 ___ г. Председатель ЦМК ____________ |
утверждено Зав. филиалом БПОУ «ЧМК» МЗ Чувашии в г. Канаш ____________ |
Методическая разработка теоретического занятия
Определенный и неопределенный интеграл, свойства
учебная дисциплина ОБД 07 Математика
специальность 34.02.01Сестринское дело
(базовая подготовка)
Канаш, 2026
|
Составитель: Семенова А.М., преподаватель высшей квалификационной категории филиала БПОУ ЧР «Чебоксарский медицинский колледж» Министерства здравоохранения Чувашии в г. Канаш
|
|
Рецензент: Иванова Л.М., преподаватель, высшей квалификационной категории филиала БПОУ ЧР «Чебоксарский медицинский колледж» Министерства здравоохранения Чувашии в г. Канаш
|
Аннотация
Данная методическая разработка по теме «Определенный и неопределенный интеграл, свойства» является уроком изучения нового материала. Урок построен так, чтобы обучающиеся, опираясь на ранее полученные знания, могли вывести формулы сами. Материал урока направлен на изучение определенного интеграла.
Создание проблемных ситуаций на уроках математики повышает интерес к предмету, вносит разнообразие и эмоциональную окраску в учебную работу, снимает утомление, развивает внимание, сообразительность.
СОДЕРЖАНИЕ
ВВЕДЕНИЕ
1. методический блок
1.1. Учебно-методическая карта
Формы деятельности
1.2. Технологическая карта
2. Информационный блок
2.1. План лекции
2.2 Текст лекции
2.3. Глоссарий
Данная методическая разработка по теме «Определенный и неопределенный интеграл, свойства » является уроком изучения нового материала. Урок построен так, чтобы обучающиеся, опираясь на ранее полученные знания, могли вывести формулы сами. Материал урока направлен на развитие логического мышления, алгоритмической культуры, интуиции, навыков исследовательской деятельности, творческих способностей обучающихся. Структура урока: постановка цели и задач урока; повторение умений и навыков, являющихся опорой для восприятия новой темы; проведение проверочных упражнений (устная работа). Нахождение площади фигуры, ограниченной графиками функций с помощью определенного интеграла. Нахождение площади криволинейной трапеции с помощью формулы Ньютона – Лейбница. Решение задач, с помощью формулы Ньютона – Лейбница
Введения понятия определенного интеграла. Упражнения на
закрепление данного алгоритма; тренировочные упражнения по образу и подобию в
виде самостоятельной работы; самоконтроль обучающихся.
Создание проблемных ситуаций на уроках математики повышает
интерес к предмету, вносит разнообразие и эмоциональную окраску
в учебную работу, снимает утомление, развивает внимание,
сообразительность.
|
Тема занятия |
Определенный и неопределенный интеграл, свойства |
||||||
|
Учебная дисциплина |
БД.04 Математика |
||||||
|
Специальность |
34.02.01 Сестринское дело (базовая подготовка) |
||||||
|
Курс |
I |
||||||
|
Группа |
9М-11-20, 9М-12-20, 9М-13-20,9М-14-20, 9М-15-20. |
||||||
|
Место проведения |
Кабинет № 5 |
||||||
|
Продолжительность занятия |
90 мин. |
||||||
|
Характеристика занятия |
Вид |
Вид занятия Лекция текущая, обзорная.
|
|||||
|
Тип |
Типы учебных занятий урок изучения нового материала; комбинированный урок
|
||||||
|
Форма |
Изложение, рассказ, объяснение с демонстрацией наглядных пособий. Формы деятельностиФронтальная.
|
||||||
|
Технологии обучения |
Традиционная (репродуктивная) технология обучения Технология развивающего обучения
|
||||||
|
Методы обучения |
Метод Репродуктивный: упражнения, действия по алгоритму. - практические (упражнение, тренинг, опыты, самостоятельная работа по алгоритму). Интерактивные методы – практическая отработка осваиваемых знаний, умений, навыков на уровне компетенций
|
||||||
|
Средства обучения |
1.По характеру воздействия на обучаемых: ИКТ - презентации; 2.По степени сложности: простые: учебники, печатные пособия.
|
||||||
|
Методическая цель |
Методическая цель - отрабатывать методику контроля результатов выполнения письменных упражнений. - реализовывать индивидуальный дифференцированный подход в процессе выполнения обучающимися заданий для самостоятельной работы; |
||||||
|
Цели и задачи занятия |
Воспитательная |
Формулировать интеллектуальных, нравственных, эмоционально-волевых качеств у обучающихся.
|
Воспитывать положительное отношение к приобретению новых знаний; Воспитывать ответственность за свои действия и поступки; Вызвать заинтересованность новым для студентов подходом изучения математики. Воспитывать интерес к математике путём введения разных видов закрепления материала: устной работой, работой с учебником, работой у доски, ответами на вопросы и умением делать самоанализ, самостоятельной работой; стимулированием и поощрением деятельности учащихся.
|
||||
|
Образовательная |
Знать определение первообразной, формулу Ньютона-Лейбница. Уметь решать задачи с помощью алгоритмов и методов; Уметь логически и полно выстраивать ответ. Систематизировать знания нахождения первообразной, вычислять определенный интеграл. |
Нахождение первообразной. Вычислять определенный интеграл, используя формулу Ньютона-Лейбница.
|
|||||
|
Развивающая |
Развитие речи, мышления, сенсорной восприятие внешнего мира через органы чувств сферы;
|
Формировать навыки познавательного мышления. Продолжить развитие умения выделять главное. Продолжить развитие умения устанавливать причинно-следственные связи. Развивать
навыки и умения, в выполнении заданий по теме, умение работать в группе и
самостоятельно. Развивать логическое мышление, правильную и грамотную
математическую речь, развитие самостоятельности и уверенности в своих знаниях
и умениях при выполнении разных видов работ. |
|||||
|
Планируемый результат |
Уметь |
Знать: определение интеграла и криволинейной трапеции. Уметь решать задачи с помощью алгоритмов и методов; Уметь логически и полно выстраивать ответ. |
|||||
|
Знать |
Определение криволинейной трапеции и интеграла, формулу Ньютона –Лейбница. |
||||||
|
Формирование компетенций у обучающихся |
Общие (ОК)
|
Л1. Сформированность представлений о математике как универсальном языке науки, средстве моделирования явлений и процессов, идеях и методах математики; Л5. Готовность и способность к образованию, в том числе самообразованию, на протяжении всей жизни; сознательное отношение к непрерывному образованию как условию успешной профессиональной и общественной деятельности; Л8. Отношение к профессиональной деятельности как возможности участия в решении личных, общественных, государственных, общенациональных проблем;
|
|||||
|
Профессиональные (ПК) |
П1. Сформированность представлений о математике как части мировой культуры и месте математики в современной цивилизации, способах описания явлений реального мира на математическом языке; П4. Владение стандартными приемами решения рациональных и иррациональных, показательных, степенных, тригонометрических уравнений и неравенств, их систем; использование готовых компьютерных программ, в том числе для поиска пути решения и иллюстрации решения уравнений и неравенств; |
||||||
|
Межпредметные связи |
Входящие |
История |
Определенный интеграл. Криволинейная трапеция. Пределы интегрирования. |
||||
|
Литература |
|
||||||
|
|
|
||||||
|
Выходящие |
Геометрия |
Трапеция. Фигура. |
|||||
|
|
|
||||||
|
|
|
||||||
|
Внутрипредметные |
Алгебра, геометрия |
||||||
|
Криволинейная трапеция и интеграл. |
|||||||
|
Оснащение занятия |
Методическое |
Методическая разработка занятия. |
|||||
|
Материально-техническое |
Ручка, карандаш, тетрадь, линейка. |
||||||
|
Информационное |
Компьютер, интерактивная доска. |
||||||
|
Список литературы |
Основная |
1.Алимов, Ш. А. Алгебра и начала математического анализа (базовый и углубленный уровни)10—11 классы / Ш.А. Алимов — М., 2018. – с.455. 2.Колягин, Ю.М. Математика: алгебра и начала математического анализа. Алгебра и начала математического анализа (базовый и углубленный уровни). 11 класс / М. В Ткачева., Н. Е Федерова. — М., 2018. - 384 с. |
|||||
|
Дополнительная |
1 Александров А.Д., Геометрия / А.Л.Вернер, В.И. Рыжик (базовый и профильный уровни). 10—11 кл. – 2017. – 344 с. 2. Богомолов, И.Д. Математика: учебник / И.Д. Богомолов. – М., 2018. - 384 с.
|
||||||
|
Интернет-ресурсы |
1. Калашникова В.А. Методическое пособие: «Конспекты лекций по математике» [Электронный ресурс] /В.А. Калашникова. 2. Яковлев Г.Н. Алгебра и начала анализа (Математика для техникумов) [Электронный учебник] /Г.Н Яковлев. - Режим доступа: http://lib.mexmat.ru/books/78472. 3.www. fcior. edu. ru 4.www. school-collection. edu.
|
||||||
Структура комбинированного урока
|
Деятельность преподавателя |
Деятельность обучающихся |
Методическое обоснование |
Формируемые ОК и ПК |
|
|
1. Организационный этап -5 мин. |
||||
|
Проверяет готовность обучающихся к занятию. дает положительный эмоциональный настрой, организует, проверяет готовность уч-ся к уроку |
Готовятся к началу занятия. |
Включение обучающихся в деятельность на личностно значимом уровне. |
ОК 1, ОК 4. П1. |
|
|
2. Этап всесторонней проверки домашнего задания - 10мин. |
||||
|
Выявляет правильность и осознанность выполнения всеми обучающимися домашнего задания; устранить в ходе проверки обнаруженные пробелы в знаниях. |
По очереди комментируют свои решения. Приводят примеры. Пишут под диктовку.
|
Повторение изученного материала, необходимого для открытия нового знания, и выявление затруднений в индивидуальной деятельности каждого обучающегося. |
ОК1, ПК 1, ПК4 |
|
|
3. Постановка цели и задач занятия. Мотивация учебной деятельности обучающихся - 5 мин. |
||||
|
Озвучивает тему урока и цель, уточняет понимание обучающегося поставленных целей урока. Эмоциональный настрой и готовность преподавателя на урок.
|
Эмоционально настраиваются и готовятся обучающихся на урок. Ставят цели, формулируют тему урока. |
Обсуждение затруднений; проговаривание цели урока в виде вопроса, на который предстоит ответить. Методы, приемы, средства обучения: побуждающий от проблемы диалог, подводящий к теме диалог. |
ОК 1, ОК 4. П1. |
|
|
4. Актуализация знаний - 30 мин. |
||||
|
Уточняет понимание обучающимися поставленных целей занятия. Выдвигает проблему. Создает условия, чтобы обучающийся смогли систематизировать знания о множестве действительных чисел, имели представление о пределе числовой последовательности
|
Под диктовку, все выполняют задание, а один проговаривает вслух.
|
Создание проблемной ситуации. Уч-ся- фиксируют индивидуальные затруднения . Создание условия, чтобы обучающийся смогли систематизировать знания о множестве действительных чисел. |
ОК 1, ОК 4. П1. |
|
|
5. Первичное усвоение новых знаний - 10 мин. |
||||
|
Создаёт эмоциональный настрой на усвоение новых знаний.
|
Внимательно слушают, записывают под диктовку в тетрадь. |
Создание условий, чтобы обучающийся смогли систематизировать знания о множестве действительных чисел. |
ОК1, ПК 1, ПК4 |
|
|
6. Первичная проверка понимания - 10 мин. |
||||
|
Проводит параллель с ранее изученным материалом. Проводит беседу по уточнению и конкретизации первичных знаний;
|
Отвечают на заданные вопросы преподавателем. |
Осознание степени овладения полученными знаниями - каждый для себя должен сделать вывод о том, что он уже умеет. |
ОК1, ПК 1, ПК4 |
|
|
7. Первичное закрепление - 5 мин. |
||||
|
Контролирует выполнение работы. Осуществляет: индивидуальный контроль; выборочный контроль. Побуждает к высказыванию своего мнения. Показывает на доске решение, опираясь на алгоритм. |
записывают решение, остальные решают на местах, потом проверяют друг друга;
|
Тренировка и активизация употребления новых знаний, включение нового в систему Режим работы: устная, письменная, фронтальная, индивидуальная. |
ОК1, ПК 1, ПК4 |
|
|
8. Контроль усвоения, обсуждение допущенных ошибок и их коррекция (подведение итогов занятия 5 мин |
||||
|
Отмечает степень вовлеченности обучающихся в работу на занятии. Задает вопросы по обобщению материала. |
Под диктовку, все выполняют задание, а один проговаривает вслух; |
Оценивание работу обучающихся, делая акцент на тех, кто умело взаимодействовал при выполнении заданий |
ОК 1, ОК 4. П1. |
|
|
9. Информация о домашнем задании, инструктаж по его выполнению 5 мин |
||||
|
Обсуждение способов решения домашнего задания. Записывает номера заданий на доске.
|
Обобщают полученные знания, делают вывод о выполнении задач урока. |
Информация о домашнем задании, инструктаж по его выполнению
|
ОК 1, ОК 4. П1. |
|
|
10. Рефлексия (подведение итогов занятия) , 5 мин |
||||
|
Акцентирует внимание на конечных результатах учебной деятельности обучающихся на занятии.
|
1. Проводят самоанализ: “Чему научились и что нового узнали?”
|
Осознание своей учебной деятельности; самооценка результатов деятельности своей. |
ОК1, ПК 1, ПК4 |
|
|
№ п/п |
Изучаемые вопросы |
Уровень усвоения |
|
1. |
Устная работа. Повторение. Проверка домашнего задания. |
1 |
|
2. |
Объяснение темы «Определенный и неопределенный интеграл, свойства». |
|
|
|
2 |
|
|
|
2 |
|
|
3. |
Закрепление нового материала. |
|
|
|
3.1 Решение примера 1. |
3 |
|
|
3.2 Решение примера 2. 3.3 Решение примера 3 3.4 Решение примера 4 |
3 |
|
4 |
Решение упражнений (нечетные пункты) на закрепление темы (№999-1001) |
3 |
|
5. |
Домашнее задание № 999- 1001 (четные). |
3 |
Перечень вопросов, рассматриваемых в теме
1) Нахождение определенного интеграла
2) Нахождение площади криволинейной трапеции с помощью формулы Ньютона – Лейбница
3) Решение задач, с помощью формулы Ньютона – Лейбница

Формула Ньютона – Лейбница
Основная литература:
Колягин Ю.М., Ткачева М.В, Федорова Н.Е. и др., под ред. Жижченко А.Б. Алгебра и начала математического анализа (базовый и профильный уровни) 11 кл. – М.: Просвещение, 2014.
Дополнительная литература:
ОрловаЕ. А., СеврюковП. Ф., СидельниковВ. И., СмоляковА.Н.Тренировочные тестовые задания по алгебре и началам анализа для учащихся 10-х и 11-х классов: учебное пособие – М.: Илекса; Ставрополь: Сервисшкола, 2011.
Теоретический материал для самостоятельного изучения

На языке математики это записывается следующим образом:
a
∫ f(x)dx,
b
где:
· a и b — границы интегрирования (начальная и конечная точки на оси x);
· f(x) — функция, описывающая кривую;
· dx— бесконечно малое изменение x.
Кроме
суммирования, интеграл можно понимать как процесс, обратный дифференцированию.
Вспомним, что производная функции показывает, как быстро она изменяется в
каждой точке. Например, если производная от f(x) равна g(x), это значит, что
g(x) описывает скорость изменения f(x). Интегрирование, по сути, является
обратным процессом, в результате которого мы восстанавливаем исходную функцию
f(x).
Это можно представить так: если дифференцирование отвечает на
вопрос, как быстро что-то меняется, то интегрирование отвечает на вопрос, какое
значение накопится в результате этих изменений.
Интегралы также можно интерпретировать геометрически. Определённый
интеграл
a
∫ f(x)dx
b
определяет площадь под графиком функции f(x) на интервале от a до b, причём эта площадь может быть положительной или отрицательной в зависимости от положения графика относительно оси x. Если функция принимает отрицательные значения, то площадь ниже оси x учитывается со знаком минус. Таким образом, результатом вычисления интеграла может быть не просто площадь, а «суммарная площадь с учётом знаков», отражающая общий вклад функции на данном интервале.

Интеграл с положительной площадью
Интеграл с отрицательной площадью

Определённые интегралы
Определённый интеграл — это тип интеграла, который вычисляется на определённом интервале и результатом которого является конкретное число. Он позволяет находить суммарное значение функции на всём промежутке, учитывая её поведение в каждой точке. В отличие от неопределённого интеграла, который даёт общую формулу для множества значений, определённый интеграл используется для нахождения точного результата на конкретном отрезке.
Правила вычисления
Для обозначения определённого интеграла функции f(x) на промежутке от a до b используется следующая запись:
a
∫ f(x)dx.
b
Вычисление такого интеграла требует найти первообразную функции — F(x), то есть функцию, производная которой равна f(x). После нахождения первообразной F(x) значение определённого интеграла можно определить по формуле Ньютона — Лейбница:
a
∫ f(x)dx = F(b) - F(a).
b
Это означает, что нужно подставить в первообразную функции значения верхнего и нижнего пределов и найти разность.
a
∫ f(x)dx = F(b) - F(a).
b
Свойства
1. Линейность интеграла: если c — константа, а f(x) и g(x) — две функции, то выполняется следующее правило:

Это свойство позволяет
разбивать интеграл на несколько более простых интегралов.
2. Аддитивность интеграла: если промежуток
интегрирования разбит на два участка, то интеграл можно рассматривать по
частям:

Это свойство полезно, когда
график функции меняет знак или имеет особенности на определённых участках.
3. Изменение пределов: если поменять местами верхний
и нижний пределы интегрирования, то знак интеграла изменится на
противоположный:

Это свойство отражает
геометрическую интерпретацию интеграла: меняется направление отсчёта площади
под графиком.
4. Интеграл от нуля: если функция f(x)=0 на всём
интервале, то её определённый интеграл равен нулю:
b
∫ 0dx = 0.
a
Неопределённые интегралы
Неопределённый интеграл — это интеграл, который не имеет конкретных границ и представляет собой общее семейство функций. Результатом вычисления неопределённого интеграла является первообразная, то есть функция, производная от которой равна исходной функции. Неопределённый интеграл записывается без указания пределов интегрирования и включает в себя постоянную интегрирования C, поскольку дифференцирование любой константы равно нулю.
Правила вычисления
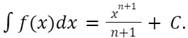
Чтобы найти неопределённый интеграл функции f(x), нужно определить её первообразную F(x). В математической записи это выглядит так:
∫ f(x)dx=F(x) + C,
где:
· f(x) — функция, которую мы интегрируем;
· F(x) — первообразная f(x);
· C — произвольная постоянная, которая возникает из-за неопределённости.
Для вычисления неопределённых
интегралов используются следующие основные правила.
1. Правило степенного интегрирования: если
f(x)=xn, то для любого n-1:
![]()
2. Интеграл от константы: если c — постоянная, то
∫ cdx = c + C.
3. Интеграл от экспоненциальной функции: если f(x)=ex, то
∫ exdx = ex + C.
4. Интеграл от синуса и косинуса:
∫ sin(x)dx =- cos(x) + C;
∫ cos(x)dx = sin(x) + C;
Свойства
1. Интеграл от производной равен исходной функции:
∫ f'(x)dx = f(x) + C.
Это свойство отражает взаимную
обратность интегрирования и дифференцирования.
2. Замена переменной: если u=g(x), а f(g(x))g'(x) —
функция, которую мы интегрируем, то применяется метод замены переменной:
∫ f(g(x))g'(x)dx = ∫ f(g(x)dg(x) = ∫ f(u)du.
3. Интегрирование по частям: если u=u(x) и v=v(x) — две функции, то интеграл ∫ udv можно вычислить по формуле:
∫ udv = uv - ∫ vdu.
Основными аналитическими
методами являются следующие.
1. Прямое интегрирование: используется для простых
функций, таких как степенные функции, экспоненты, тригонометрические и
логарифмические функции. Это случаи, когда интеграл можно взять напрямую,
используя стандартные формулы.
Например:
![]()
2. Замена переменной: этот метод позволяет упростить сложный интеграл путём замены выражения на новую переменную, чтоб упростить структуру функции. Например, если под знаком интеграла стоит сложная функция вида (3x + 1)5, можно ввести новую переменную u = 3x + 1, что значительно упростит вычисления.
Примеры вычисления интегралов
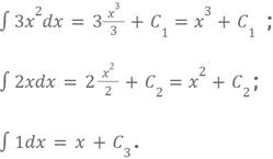
Пример 1. Нахождение неопределённого интеграла:
∫ (3x2 + 2x + 1)dx.
Решение.
Здесь нужно применить правило интегрирования степенных функций для
каждого члена по отдельности:

Таким образом, итоговый результат будет:
∫ (3x2 + 2x + 1)dx = x3 + x2 + x + C,
где C — произвольная постоянная интегрирования.
Пример 2. Нахождение определённого интеграла
Задан определённый интеграл функции f(x) = x2 на промежутке от 1 до 3:
3
∫ x2dx.
1
Решение.
![]()
2. Применение формулы Ньютона — Лейбница для вычисления определённого интеграла:

Пример 3.
Интегрирование методом замены переменной
Дан интеграл:
x2
∫ 2xe dx.
Решение.
x2 u
∫ 2xe dx = ∫ e du.
∫ eudu = eu + C.
4. Возвращение к исходной переменной x:
![]()
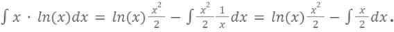
Пример 4. Интегрирование по частям:
∫ x • ln(x)dx.
Решение
1. Пусть u = ln(x) и dv = xdx. Тогда
![]()
2. Применение формулы интегрирования по частям:
∫ udv = uv - ∫ vdu.
3. Подстановка значений:
![]()
5. Интегрирование правого члена:
![]()
6. Подстановка значений в итоговый результат:
![]()
Решаем номера из учебника №999-1001(не четные)
Домашнее задание № 999-1001(четные).
|
Термин |
Значение |
|
Определенный интеграл
|
-это тип интеграла, который вычисляется на определённом интервале и результатом которого является конкретное число. |
|
Интегрирование |
- Процесс нахождения первообразной. |
|
Неопределённый интеграл |
— это интеграл, который не имеет конкретных границ и представляет собой общее семейство функций. |
3. Контролирующий блок
Вариант 1
I.Вычислите интеграл:
1)
+ 4)dx
2)![]()
3)![]()
Вариант 2
I. Вычислите интеграл:
1)
+ 1)dx
2)![]()
3)![]()
Скачано с www.znanio.ru
Материалы на данной страницы взяты из открытых источников либо размещены пользователем в соответствии с договором-офертой сайта. Вы можете сообщить о нарушении.