Папка классного руководителя

  • Документация
  • docx
  • 26.06.2018
Публикация на сайте для учителей

Публикация педагогических разработок

Бесплатное участие. Свидетельство автора сразу.
Мгновенные 10 документов в портфолио.

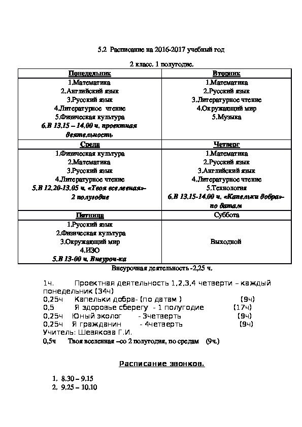
Папка классного руководителя содержит информацию нормативные документы, цели и задачи воспитательной работы, социальный паспорт класса; годовой план работы, таблицы: данные об учащихся, сведения о здоровье и питании учащихся, учёт занятости учащихся в кружках, секциях, факультативах, учёт общественных поручений, участие в мероприятиях.Папка классного руководителя содержит информацию нормативные документы, цели и задачи воспитательной работы, социальный паспорт класса.
Иконка файла материала Папка классного руководителя - 2 класс.docx
Папка Классного руководителя. 2 класса МОУ СОШ с. Алексеевки ФИО_______________________ _________________________2017 – 2018 учебный год1. Нормативные основы 2. Данные об учащихся 2.1 Список учащихся 2  класса. № ФИ ученика Классный руководитель: __________________________ 2.2.Список учащихся 2 класса с адресами и телефонами. № ФИО учащегося Дата рождения адрес ФИО родителей Место работы родителей Учитель Шевякова Г.И.  № ФИО Группа здоровья Группа для занятий физической культуры Заболевания учащихся Питание(хорошее, удовлетворительн ое) 2.3. Сведения о здоровье и  питании учащихся. Учитель Шевякова Г.И.  2.4. Учёт занятий учащихся в кружках, секциях, факультативах. № ФИО В школе: факультативы, предметные кружки, курсы по выбору. Внешкольные  формы дополнительного образования 2.5. Учёт общественных поручений, участие в мероприятиях ФИО Общественное поручение Активность в классных мероприятиях 1Ч. 2 3 Активность в общешкольных мероприятиях 4 1Ч. 2 3 43.Основания для определения целей и задач  воспитательной работы с классом   3.1.   Анализ воспитательной работы за 2016 – 2017 учебный  год.         Закончился первый учебный год, и вот результат:         Сформированы смешанные группы и группы по интересам.      С первых дней чётко определились лидеры, которые стремятся быть первыми во всём,  серьёзно относятся к учебным обязанностям, организованны. Это Игошина Даша, Кизилов  Артём, Шевякова Наташа, Харин Никита.  Отвергнутых  нет. Все ребята делают попытки  сообща решать различные проблемы, которые возникают в классе, переживают за своих  одноклассников, вместе радуются удачам и огорчаются неудачам.  Но все­таки не обходится  и без конфликтов. Причина такого поведения детей заключена в том, что во многих  семьях,   дети  предоставлены сами себе, родители воспитанием детей почти  не занимаются.        Специфика работы с родителями в моем классе определяется тем, что состав родителей  класса однообразный, почти все они испытывают денежные трудности.  Есть семьи, в которых ребенку уделяется должное внимание, но таких семей мало. Только единицы из родителей  интересуются делами класса, оказывают посильную помощь. А так как многим родителям  приходится работать полный световой день, у детей плохо воспитана коммуникативная  культура, в этом направлении  поставила перед собой цель: передача учащимся знаний,  умений и навыков       общения людей.     социального    Наметила задачи для достижения этой цели:     1 .Познакомить учащихся с традициями и обычаями общения различных поколений. 2.Формировать у учащихся культуру общения в системе « учитель ­ ученик», « ученик  ­ ученик», « взрослый ­ ребенок». 3.Создавать в детском коллективе одинаковые условия для общения всех учащихся  класса. 4.Учить учащихся приемам преодоления проблем в общении.         Подводя итоги проделанной работы, результаты подтвердили правильность выбранных  методов и приемов. В этом учебном году буду  продолжать  работу по основным  направлениям.  Учить ребят сотрудничать и взаимодействовать друг с другом.  Воспитание духа товарищества и желания оказывать помощь друг другу.  Воспитание в детях толерантного отношения к происходящим событиям и  окружающим людям.  Стимулирование инициативы, товарищества, помощи в самовыражении коллектива и  самого ученика.  Привлечение родителей в воспитательный процесс. Прогнозируемый результат: доброжелательное отношение в классе; добиваться,  чтобы жизнь в классе была интересной, а стиль общения мягким и доверительным.3.2 Цель и задачи воспитательной работы классного руководителя.  Класс  достаточно активный, поэтому в этом учебном году я буду вовлекать детей в  интеллектуальную деятельность («Кенгуру», «Медвежонок»). Проделанная работа  способствовала формированию коллектива класса, интеллектуальному, нравственному и  физическому становлению личности, созданию условий для развития индивидуальных и  творческих способностей. учитывая пожелания родителей и возможности школы, в классе  продолжили работу такие кружки внеурочной деятельности как:     «Я гражданин»  «Капельки добра»  «Я здоровье сберегу, сам себе я помогу»   Проектная деятельность. Появился новый кружок «Твоя вселенная» Наметили следующие мероприятия: 1. Беседы:  Как вести себя в столовой  Как вести себя в библиотеке  Красивые девочки, сильные мальчики  Жадность, что такое?  Умеешь ли ты дружить?  О невежах и вежливости  Об обидах и причинах обид  Мои «хочу» и мои «надо» 2.Праздники:  День пожилого человека  День учителя  День матери  Неделя знаний  Новогодний утренник  Вперёд мальчишки и вперёд девчонки.  День победы­ митинг  Прощай 2 класс 1. Классные часы:    ­«Безопасная дорога до дома» ­  п о   П Д Д ­В мире профессий ­День знаний российских государственных символов                                   И т.д. Классный  руководитель: ______________________________________3.3  Социальный паспорт  2 класса    2017­2018 учебный год. Классный руководитель : ___________________________________________________________________ Ко-во учащихся в классе-____ количество девочек-_____ количество мальчиков-_____ Возраст и год рождения Состав семьи № Ф.И.О. родителей Год  рожде ния Воз­ раст Образо­ вание статус я а н т е д о г о н М я ь м е с я а н н е ч е п с е б о о л а М я а н ч у л о п о г а л б е Н   й е т е д о в ­ о К ) а н е м и ( Имя ребёнка     Где находится я а н л о П и л и   я ь м е с   я а н л о п е нФИО детей находящихся под опекой ­ ____________                           ФИО детей проживающих не с родителями­  _____________        ФИО детей с ОВЗ  ­                               ______________дата сентябрь октябрь ноябрь декабрь январь февраль март апрель май 4. Годовой план работы 4.1 Годовой план работы по направлениям направления Социально – правовое Профилактическое Инфомационно­познавательное Духовно – нравственное Гражданско – патриотическое Тема классного часа Классный час «Мы уже второклассники».  Беседа о режиме дня  второклассника. Классные часы:  «Школа безопасности: инструктаж по технике  безопасности, безопасный путь домой» Классный час «Все профессии важны, все профессии нужны »  Классный час «Бабушка рядышком с дедушкой» ­ Классный час. « Что мы знаем о России?» (продолжаем знакомство с  государственными символами России ­ история российского герба) Художественно – эстетическое Классный час.« Как встречают Новый год в других странах»       Профилактическое Классный час «Кто что любит и умеет делать?»                Духовно – нравственное Профилактическое Духовно – нравственное Инфомационно­познавательное Художественно – эстетическое Гражданско – патриотическое Трудовое Гражданско – патриотическое Профилактическое Классный час «Книга наш друг и помощник»­Пушкин­викторина Классный час «Где нас подстерегают опасности?»    Классный час, посвященный Дню Защитника Отечества «Воинская честь  и слава» Классный час  : «Этот адрес знаю точно, потому что это пекарня »      Классный час «  Мама­лучшее слово на земле!»­стихи о маме. Классный час. «Земля. Звёзды. Космос. День космонавтики»                    Классный час « Человек, общество, природа» ­субботник Классный час «О героях былых времен...» Классный час «Здоровье и вредные привычки»5. Оперативное      планирование  5.1 план­сетка воспитательной работы классного руководителя (по месяцам)__________________ 1 неделя 2 неделя 3  неделя 4 неделя      направления и формы работы Тема классного часа Подготовка к классным мероприятиям Классные  мероприятия Подготовка к  общешкольным  мероприятиям Общешкольные  мероприятия Индивидуальная работа с  учащимися Работа с  родителямиПриложение к 5.1. 1.Классный час «Мы уже второклассники».  Беседа о режиме дня второклассника с  элементами игры­ сентябрь 2. Классные часы:  «Школа безопасности: инструктаж по технике безопасности,  безопасный путь домой» ­ сентябрь 3.  Классный час «Питание и здоровье» ­   сентябрь 4.Классный час –« Мое любимое дело»      сентябрь 5.Классный час. « Что мы знаем о России?» (продолжаем знакомство с государственными  символами России­история российского герба) октябрь 6.Классный час: Игровое занятие по П.Д.Д. «Элементы улиц и дорог. Движение пешеходов  по улицам и дорогам». 7.Классный час «Бабушка рядышком с дедушкой» ­ октябрь 8.Классный час «Береги здоровье смолоду» 8.Классный час.  «Права и обязанности школьника» 9.Классный час « Славит человека труд»      ноябрь 10.Классный час по П.Д.Д.«Правила перехода улиц и дорог»  ноябрь 11.Классный час «Огонь – друг, огонь – враг.»      декабрь 12.Классный час.  «Знай свои права. Без агрессии. Агрессия и агрессивное поведение.» декабрь 13.Классный час.« Как встречают Новый год в других странах»       декабрь 15.Классный час «Книга наш друг и помощник» январь  октябрь октябрь ноябрь 16.Классный  час. Игровое занятие по П.Д.Д. «Сигналы светофора и регулировщика» январь 17.Классный час «Кто что любит и умеет делать?»               январь    февраль 18.Классный час «Где нас подстерегают опасности?» 19.Классный час,Роль питания в Жизни человека» февраль 20.Классный час по П.Д.Д. «Перекрёстки и их виды. Дорожные знаки».    февраль 21.Классный час, посвященный Дню Защитника Отечества «Воинская честь и слава» февраль 22.Классный час «  Мама­лучшее слово на земле!» март 21.Классный час     ПДД  «Обязанности пассажиров» март 24.Классный час «Здоровье и вредные привычки»           март 25.Классный час « Человек, общество, природа»апрель 26.Классный час. «Земля. Звёзды. Космос. День космонавтики»   27.Классный час «Мои любимые книжки» апрель 28.Классный час     ПДД  « Загородная дорога» апрель 29.Классный час «О героях былых времен...» 30 . Классный час   «Встречают по одежке» (беседа – игра)       май 31.Классный час  : «Этот адрес знаю точно, потому что это почта» (тематический  инфомационно­познавательный час)       май 32.Классный час     ПДД  «  Правила езды на велосипеде» апрель май май5.2  Расписание на 2016­2017 учебный год  2 класс. 1 полугодие. Понедельник 1.Математика  2.Английский язык 3.Русский язык 4.Литературное  чтение 5.Физическая культура 6.В 13.15 – 14.00 ч. проектная деятельность Среда 1.Физическая культура 2.Математика  3.Русский язык 4.Литературное чтение 5.В 12.20­13.05 ч. «Твоя вселееная»­  2 полугодие Пятница 1.Русский язык  2.Физическая культура 3.Окружающий мир 4.ИЗО 5.В 13­00 ч. Внеуроч­ка Вторник 1.Математика 2.Русский язык 3.Литературное чтение 4.Окружающий мир 5.Музыка Четверг 1.Математика 2.Русский язык 3.Английский язык 4.Литературное чтение 5.Технология 6.В 13.15­14.00 ч. «Капельки добра»­ по датам Суббота                           Выходной Внеурочная деятельность ­2,25 ч. 1ч. Проектная деятельность 1,2,3,4 четверти – каждый понедельник (34ч) 0,25ч Капельки добра- (по датам ) (9ч) 0,5 Я здоровье сберегу - 1 полугодие (17ч) 0,25ч Юный эколог - 3четверть (9ч) 0,25ч Я гражданин - 4четверть (9ч) Учитель: Шевякова Г.И. 0,5ч       Твоя вселенная –со 2 полугодия, по средам    (9ч.)  Расписание звонков. 1. 8.30 – 9.15 2. 9.25 – 10.103. 10.25 – 11.10 4. 11.25 – 12.10 5. 12.20 – 13.05 6. 13.15 – 14.00 5.3 Дежурство по классу. пон вт ср чт пят6. Работа с родителями 6.1 Работа с родителями сентябрь 1.Анкетирование родителей,  уточнение социального паспорта класса. «Задачи на новый  учебный год». 2. Родительский всеобуч «Экология здоровья ребёнка» 3.Выборы родительского комитета класса и планирование работы. Заседание  родительского комитета. Составление плана работы на 2015 – 2016 учебный год 4 . Родительское собрание  №1 Задачи на новый учебный год. «Физическое развитие  младшего школьника в школе и дома». 5.Организация и подготовка осенней экскурсии            октябрь    1. Индивидуальные беседы и консультации. 2. Участие родителей и учащихся в школьных и классных мероприятиях. 3. Участие родителей в деятельности по благоустройству классной комнаты 4.Подготовка и проведение  праздника «золотая осень» 5. Родительское собрание  №2 по итогам 1 четверти. «Агрессивные дети. Причины и  последствия детской агрессии». «Права и обязанности детей .Права и обязанности  родителей»  6. Общешкольное родительское собрание ноябрь   1. Педагогическая консультация для родителей. 2. Опрос  учащихся с целью изучения соблюдения школьниками режима дня. 3.Индивидуальные педагогические поручения родителям. 4Конкурс рисунков и стихов «Самая любимая и дорогая…» 5.Индивидуальные консультации по математике.                         декабрь   1. Заседание РК (коррекция плана работы). 2. Организация новогодних праздников: ­ привлечение родителей в украшении классного кабинета; ­ организация новогодних подарков. 3. Участие родителей и учащихся в школьных и классных мероприятиях 4. Индивидуальные беседы и консультации. Индивидуальные консультации по чтению  «Читаем быстро». 5.Родительское собрание №3 по итогам 2 четверти. «Режим дня младшего школьника». январь   1. Индивидуальные консультации  по русскому языку «Пишем под диктовку».  2.Тематическая консультация для  родителей «Как помочь ребёнку хорошо учиться». 3.Подготовка к празднику «Защитники Отечества». 4.Организация и подготовка зимней  экскурсии февраль   1. Индивидуальные беседы и консультации2.Работа с родителями одарённых детей. 3. Заседание РК  4. подготовка и проведение  праздника  23 февраля . март   1. Индивидуальные беседы и консультации. 3.Подготовка и проведение  праздника  мам и бабушек. 4.Родительское собрание №4 по итогам 3 четверти. «Наказание и поощрение в семье». Родительский тренинг «Ребенок в зеркале родителей». 5.Организация и подготовка экскурсии в пекарню.                    апрель   1. Индивидуальные беседы и консультации с родителями слабоуспевающих детей.  2.Индивидуальная работа с родителями детей, склонных к правонарушениям. 3. Участие родителей и учащихся в школьных и классных мероприятиях 4. Заседание РК  : май  1. Мониторинг по работе с семьями. 2. Подготовка к празднику «До свидания, 2 класс!». 3.Родительское собрание №5 «Итоги прошедшего учебного года – «Перелистывая  страницы …» 4. Рекомендации и советы родителям на лето.  5 Сбор заявок родителей о посещении учащимися класса летнего школьного лагеря. 6. Заседание РК (подведение итогов работы за год). 6.2 Темы родительских собраний. Предполагаемая  дата Темы сентябрь октябрь декабрь март май Ответственный Кл. руководитель и  преподаватель физической  культуры . Кл. руководитель, Кл. руководитель,   Родительское собрание №1  «Задачи  на новый учебный год». «Физическое  развитие младшего школьника в  школе и дома».  Родительское собрание №2  «Агрессивные дети. Причины и  последствия детской агрессии».  «Права и обязанности детей .Права и  обязанности родителей» Родительское собрание №3 по итогам  2 четверти. «Режим дня младшего  школьника».   Родительское собрание № 4 по  итогам 3 четверти. «Наказание и  поощрение в семье». .Родительское собрание №6 «Итоги  прошедшего учебного года –  «Перелистывая страницы …» Кл. руководитель, Кл. руководитель,  родительский комитет6.3   План  работы классного  родительского комитета  Сентябрь 1.Выборы родительского комитета класса и планирование работы. Заседание  родительского комитета. Составление плана работы на 2017 – 2018 учебный год Участие родителей и учащихся в школьных и классных мероприятиях. Участие родителей в деятельности по благоустройству классной комнаты Ноябрь 1. Коррекция плана работы. 2. Организация новогодних праздников: ­ привлечение родителей в украшении классного кабинета; ­ организация новогодних подарков. Февраль  Подготовка к празднику «Защитники Отечества». Подготовка к празднику  мам и бабушек. Март 8.Заседание РК :  Организация и подготовка похода  Организация экскурсии в пекарню Май 9.Заседание РК (подведение итогов работы за год). Подготовка к празднику «До свидания, 2 класс!». Состав родительского комитета.      Должность Ф. И. О. 1Председатель 2Учебный сектор 3Культмасовый сектор 4Трудовой сектор 5Казначей телефоныПриложение.   «родительские  собрания»  ­  класс        Учитель: ___________________ Собрание № 1 Тема:  «Физическое развитие младшего школьника в школе и дома». Задачи собрания: 1.Обсудить с родителями новый этап в физическом и умственном  развитии  второклассников. 2.Повысить контроль со стороны родителей за физической подготовкой. План организации собрания.    В начале собрания педагог проводит анкетирование родителей. Сообщает данные о  влиянии физической культуры на развитие личности (возможно привлечение  преподавателя физической культуры и медицинских работников). Оперативный анализ  результатов дается в конце собрания. Вопросы для обсуждения: Значение физической культуры для полноценного развития личности. Урок физкультуры и его требования к ученику. Анкета для родителей: Любит ли ваш ребенок уроки физической культуры? Расспрашиваете ли вы своего ребенка о занятиях физической культурой на уроке? Каким вы видите урок физической культуры?                   К собранию готовится выставка рисунков «Я на уроке физической культуры».  Собрание № 2  Тема:   «Агрессивные дети. Причины и последствия детской агрессии». Задачи собрания: 1.Определить уровень агрессии учащихся класса, используя наблюдения учителя и  результаты анкетирования родителей. 2.Помочь родителям понять причины агрессии детей и найти способы ее преодоления. Вопросы для обсуждения: Причины детской агрессии. Родительская власть, ее виды и пути влияния на ребенка.Пути преодоления детской агрессивности. Правила семьи по преодолению детской  агрессии. План организации собрания.    Педагог анализирует причины детской агрессии, дает рекомендации по ее преодолению.  Организовав в начале собрания анкетирование родителей, учитель в ходе собрания  оперативно анализирует ответы родителей. Полезно провести обмен мнениями по теме  собрания.  Анкета для родителей. 1. Бывает ли ваш ребенок агрессивным? 2. В каких ситуациях он проявляет агрессию? 3. Против кого он проявляет агрессию? 4. Что вы предпринимаете в семье, чтобы преодолеть агрессивность ребенка? Собрание № 3      тема: « Режим дня младшего школьника» Цели: ­показать родителям необходимость соблюдения правил гигиены и выполнения режима дня школьника; ­убедить родителей в необходимости формирования у ребенка привычки выполнения  режима дня; ­воспитание здорового образа жизни.   Режим дня – это строго соблюдаемый на протяжении длительного времени оптимальный  распорядок труда, отдыха, сна, питания, занятий физическими упражнениями и  закаливаний, других видов деятельности в течение суток. Биологической основой режима дня является цикличность всех физиологических функций  организма.   Физиологическим механизмом режима дня являются условные рефлексы. Значение режима дня состоит в предельной минимизации энерготрат и в повышении  работоспособности организма. В конечном счете соблюдение режима дня способствует и  укреплению здоровья.     Примером того, как рациональный режим дня способствует укреплению здоровья,  повышению работоспособности и продлению активной, творческой жизни, может служить  жизнь знаменитого немецкого философа Иммануила Канта. С детства он отличался хилым  здоровьем. Кант выработал для себя режим дня и соблюдал его неукоснительно в течение  длительного периода жизни. Это помогло ему поддерживать свое здоровье и сохранить  высокую работоспособность.    Для здорового образа жизни ребенка очень важен режим дня. Скажем лишь о том, что  режим дня – это на самом деле режим суток, все 24 часа должны быть спланированы  определенным образом и план этот, как всякий план, имеет смысл лишь в том случае, если  он выдерживается. Если попытаться выразить суть режима в двух словах, то надо будет  сказать, что это рациональное чередование работы и отдыха. Вспомним слова И.П.  Павлова: «Всякая живая работающая система, как и ее отдельные элементы, должна  отдыхать, восстанавливаться. А отдых таких реактивных элементов, как корковые клетки,  должен в особенности быть охраняем».     Режим дня школьников включает следующие компоненты: учебные занятия в школе; учебные занятия дома (выполнение домашних заданий); сон; питание; занятия физическими упражнениями; отдых;занятия в свободное время.     Учебные занятия, занимающие в жизни детей значительное место, требует усиленной  работы именно этих «реактивнейших элементов». Как же важно наладить правильную  смену умственного труда и отдыха ребят. Некоторые родители крайне скептически относятся к самому понятию «режим». А зря.  Нельзя понимать соблюдение режима ребенка как некую догму.      Выполнение режима дня позволяет ребенку сохранять физическое и психическое  равновесие, что дает возможность соблюдения эмоционального равновесия. А ведь мы,  взрослые, прекрасно знаем, что именно этот возраст характеризуется эмоциональной  неустойчивостью, которая ведет к хронической усталости и утомляемости. Эти  постоянные симптомы приводят к снижению работоспособности ребенка. Низкая  работоспособность характеризуется: снижением количества правильных ответов на уроке и дома после того, как ребенок  выучил материал; повышением количества ошибок наряду с хорошо выученным правилом; рассеянностью и невнимательностью ребенка, быстрой утомляемостью; изменением почерка ребенка в связи с ухудшением регуляции физиологических функций.    Чтобы предупредить все эти неблагоприятные последствия, нужно построить правильно  режим дня школьника. Продолжительность школьных и внешкольных занятий должна учитывать возрастные  возможности. Должен быть обеспечен достаточный отдых (с максимальным пребыванием  на свежем воздухе).Садиться за уроки нецелесообразно, не отдохнув после школы. Лучше  всего начинать занятия, пообедав и побывав на свежем воздухе 1,5­2 часа. Активный отдых после уроков обеспечивает «разрядку», удовлетворяет потребность детского организма в  движении, общении, то есть школьники могут снять напряжение, связанное с интенсивной  работой в первой половине дня.      Пребывание детей на воздухе – это использование естественных факторов природы для  оздоровления и закаливания их организма. Помните: чем больше ребенок двигается, тем  лучше он развивается и растет. Вы ведь и сами замечаете, как после прогулки у ребенка  розовеют щеки, он становится активным, веселым, перестает жаловаться на усталость. Время начала выполнения домашнего задания должно быть твердо зафиксировано.  Выполнение уроков всегда в одни и те же часы позволяет ребенку быстро войти в рабочее  состояние и способствует лучшему приготовлению домашних заданий. Позаботьтесь об  удобном рабочем месте. У ребенка должен быть свой письменный стол.    В бюджете времени надо предусмотреть около 1,5 часа на занятия, отвечающие  склонностям ребенка. Чтение, кружковая работа, просмотр фильма по телевидению,  музыкальные и спортивные занятия – круг интересов детей весьма широк. Следите,  пожалуйста, за тем, чтобы занятие чем­то одним не забирало все свободное время. Обычно, к сожалению, таким «пожирателем времени» ребенка становится телевизор или компьютер. Неоценимое значение для здоровья, бодрости, высокой работоспособности имеет гигиена  сна. Потребность в сне составляет: в 10­12 лет – 9­10 часов, в 13­14 лет – 9­9,5 часов, в 15­ 16 лет – 8,5­9 часов.      Израильские ученые установили, что недосып ночью даже на 1 час плохо влияет на  психоэмоциональное состояние детей. Они сильнее устают к вечеру и хуже справляются с  тестами на память и реакцию. Поэтому нет нужды доказывать, что сон ребенка надо  оберегать: яркий свет, шум, разговоры – все это должно быть исключено. Воздух в  комнате, в которой спит ребенок, должен быть свежим. Сон важно оберегать, если так можно выразиться, до того, как ребенок заснул. Конечно, он не малыш, которому на ночь нельзя рассказывать страшные сказки, и все­таки надо  избегать всего, что может взбудоражить физически или умственно: подвижных игр,длительного чтения, просмотра телепередач. Понятно, что ребенка не поместить под  стеклянный колпак, не оградить от всего, однако разумное ограничение вечерних  впечатлений необходимо. Иначе это отразится на сне – будет затягиваться его  наступление, он станет неглубоким. «Но как быть, – спрашивают родители, – если нам самим хочется смотреть телепередачу, а  отправить сына спать сил нет? Он обижается, да и жалко его: сами смотрим, а ему не  даем». Думается, чувство вины, которое испытывают родители, напрасное. Нет ничего  страшного, если телевизор будет говорить вполголоса, а ребенок будет спать за закрытой  дверью в другой комнате. Но если уж в семье не сумели поставить так, чтобы это  воспринималось им спокойно и просто, есть еще один выход из положения: не смотреть  передачи самим. Это наименьшее зло. Нарушения в установленном распорядке дня нежелательны, так как это может привести к  расстройству выработанного режима в деятельности организма ребенка. РОДИТЕЛЬСКИЕ «НЕЛЬЗЯ» ПРИ СОБЛЮДЕНИИ РЕЖИМА ДНЯ Нельзя:  будить ребенка в последний момент перед уходом в школу, объясняя это себе и другим  большой любовью к нему; кормить ребенка перед школой и после нее сухой пищей, бутербродами, объясняя это себе  и другим, что ребенку такая еда нравится; требовать от ребенка только отличных и хороших результатов в школе, если он к ним не  готов; сразу после школьных уроков выполнять домашние задания; лишать детей игр на свежем воздухе из­за плохих отметок в школе; заставлять ребенка спать днем после уроков и лишать его этого права; кричать на ребенка вообще и во время выполнения домашних заданий в частности; заставлять многократно переписывать в тетрадь из черновика; не делать оздоровительных пауз во время выполнения домашних заданий; ждать папу и маму, чтобы начать выполнять уроки; сидеть у телевизора и за компьютером более 40­45 минут в день; смотреть перед сном страшные фильмы и играть в шумные игры; ругать ребенка перед сном; не проявлять двигательную активность в свободное от уроков время; разговаривать с ребенком о его школьных проблемах зло и назидательно; не прощать ошибки и неудачи ребенка. У каждого человека свое мнение. Каждый живет своей жизнью – это его право. Каждый  человек имеет свои особенности, но есть много общих закономерностей. Деятельность  человека обусловлены биологическими и социальными условиями. И специально  продуманный ритм своего дня, занятие физическими упражнениями помогут человеку  избежать многих проблем, выйти из трудных ситуаций. Собрание № 4 Тема: «Наказание и поощрение в семье». Задачи собрания. 1.Определить оптимальные позиции родителей по теме собрания. 2.Рассмотреть предложенные педагогические ситуации на практике Вопросы для осуждения: Виды наказаний и поощрений в семейном воспитании. Значение наказания и поощрения в семье (анализ педагогических ситуаций и результатов  анкетирования). План организации собрания.Используя свой педагогический опыт, данные специальной литературы и результаты  анкетирования родителей по теме собрания, проведенного заранее, учитель организует  родительский обмен опытом и дает педагогические рекомендации. Анкета для родителей: 1. Какие меры наказания и поощрения используются в семье? 2. За что вы наказываете и поощряете? 3. Как реагирует ребенок на поощрение и наказание? Собрание № 5 Тема: «Итоги прошедшего учебного года – «Перелистывая страницы …» На этом собрании  подводится итог работы родителей, учащихся за год. Встреча должна  быть торжественной, интересной, необычной. Собрание проводится совместно с  учащимися. Страница первая. «Наша жизнь на уроках» (фрагменты уроков). Страница вторая. «Наши переменки» (физкультпаузы, игры и т.д.). Страница третья. «Наша жизнь после уроков» (самые яркие моменты мероприятий,  проведенных в классе за год). Страница четвертая. «Наше творчество» (выставка творчества учащихся, чтение стихов,  песен, кружковая деятельность). Страница пятая. «Мы и наши родители» (награждение родителей за работу в классе).  Медаль – детская ладошка, разрисованная и расписанная детьми. Страница шестая. «Наши планы на лето» (каждый ученик получает на лето задание,  которое он должен выполнить для всего класса). Программа педагогического лектория для родителей 2 класса «правовой всеобуч»    Учитель: Шевякова Г.И. 1четверть. Лекция №1 «Экология и здоровье ребёнка» (радиоактивность в доме) ­ Добрый вечер, уважаемые родители! Мы рады вас приветствовать на нашем очередном  родительском собрании. Тема нашего разговора очень важна и актуальна «Экология и  здоровье ребёнка», что же такое экология? Экология это состояние организмов,  населяющих общую территорию, их отношения друг к другу и к окружающей среде.  Здоровье ­ правильная, нормальная деятельность организма, его полное физическое и  психическое благополучие. Из этих определений очевидна взаимосвязь между этими  понятиями. Конечно же мы с вами во вселенском масштабе мало что можем изменить, но  как­то повлиять на экологическую обстановку в нашем городе, может быть по долгу  службы или своевременно информируя о каких­то загрязнениях экологическую службу  города, элементарно самим не загрязнять места отдыха ­ лес, берег реки и саму реку. Ещё  мне хотелось бы остановиться на экологии близкого окружения, на том что казалось бы  незаметным, но сильно влияющим на наше здоровье и здоровье детей, мы поговорим о  радиоактивности в нашем доме, электромагнитных излучениях, о влиянии телевизоров и  компьютеров на наших детей.       Больше всего радиоактивного облучения человек получает от естественных  источников: из космоса и из недр Земли. Поэтому остерегайтесь: ­ в непроветриваемом помещении накапливается газ родон, его концентрация выше  (особенно на нижних этажах), чем снаружи. ­если заделать в полу первого этажа все щели, концентрация родона резко уменьшится. Не  закрывайте отдушины подвала, даже зимой, родон хорошо выветривается. ­ природный газ­ крупный источник поступления родона в жилище. Не включайте без  нужды горелки газовой плиты.­ родон присутствует в воде , поступающей из глубоких скважин. Уровень радиации в  ванной комнате после приёма душа поднимается в несколько раз. Кипячение воды выводит из неё родон почти полностью.        При искусственном облучении: небольшую дозу облучения мы получаем в  рентгеновском кабинете. Бойтесь часов со светящимся циферблатом. Они дают своему  владельцу дозу, превышающую ту, что обусловлена ежегодными утечками на атомных  электростанциях. Дозы, получаемые от цветных телевизоров, при их правильной  эксплуатации, незначительны, но старайтесь держаться подальше от экрана.          Восприимчивость к электромагнитным волнам зависит от очень многих  индивидуальных факторов. Чем меньше тело, тем лучше оно воспринимает  коротковолновое излучение, чем больше­ тем лучше воспринимает длинноволновое. Люди,  которые живут вблизи высоковольтных линий считают себя больными, страдают  расстройствами сна, памяти, нарушается рост. В домашних условиях следует избегать  длительного нахождения в непосредственной близости от работающих электроприборов.  Например: СВЧ печи тщательно экранируются и не представляют большой опасности,  однако изношенный прибор с нарушенной защитой способен буквально сварить заживо  своего хозяина ( в первую очередь могут пострадать органы, плохо снабжаемые кровью).  Постоянно работающие на компьютерах операторы часто жалуются на головную боль,  нередко страдают расстройствами слуха и зрения, что, по мнению экспертов, может  вызываться воздействием низкочастотного магнитного поля.       Помните разговор хорошо всем нам известных мультипликационных героев: ­ Что является главным украшением праздничного новогоднего стола?­ спросил почтальон  Печкин из Простоквашино. ­ Пирог,­ ответил кот Матроскин. ­ Кость!­ воскликнул пёс Шарик. ­ Нет,­ возразил Печкин,­ главным украшением стола является телевизор!        Сегодня это утверждение кажется безнадёжно устаревшим, потому что главным  украшением каждого дома давно стал компьютер. А потому, как бы мы ни относились к  этому предмету, с требованием и влиянием времени нужно считаться. Ваши дети давно  сделали свой выбор. Может быть некоторые из вас возразят и скажут компьютер очень  вреден. К этому вопросу следует подходить конструктивно. Никто не оспаривает тот факт, что ходьба пешком полезнее, чем езда на автомобиле. Но время требует иногда всё­таки  пользоваться транспортом. Согласны? Точно также следует относиться к компьютеру.  Если вы хотите, чтобы ваш ребёнок успешно включился в жизнь общества, осваивал то, что давно освоили его сверстники, то компьютер, наверное, необходим. Другой вопрос­ для  чего вы хотите приобрести компьютер? Если только для того, чтобы колотить по  клавишам, преследуя какого­то компьютерного монстра,­ тогда, наверное, приобретение  будет ненужным. Если же вы хотите помочь вашему малышу постепенно освоить  компьютерную азбуку, показать бесконечные возможности этого устройства­ тогда для  покупки компьютера самое время.        Что касается опасности для здоровья, которую таит в себе компьютер, то современные  модели вряд ли более опасны, чем привычные нам уже телевизоры. Необходимо лишь  соблюдать рекомендуемые правила по их использованию. Сложившийся стереотип о  влиянии компьютеров на развитие близорукости не имеет под собой никаких оснований.  Важны особенности зрительной работы с ним: статичная поза, повторяющиеся движения и  нерациональная организация рабочего места, которые могут приводить к возникновению  расстройств скелетно ­ мышечной системы и сопровождаться некоторыми  офтальмологическими симптомами. Поэтому особое внимание при работе с компьютером  следует уделять сохранности мышц и суставов. Но специалистами всё­таки разработаны  рекомендации по сохранению зрения у детей:­ следует правильно установить дисплей на рабочем месте; ­ отрегулировать общее и местное освещение в комнате; ­ подобрать оптимальную яркость и контрастность, в том числе цветовую; ­ проверить зрение у офтальмолога и при необходимости подобрать очки; ­ постараться чередовать работу за компьютером с другими видами занятий; ­ во время перерывов не выполнять никакой зрительной работы, а делать общие и глазные  упражнения.         А существует ли взаимосвязь между компьютерными играми и познавательным  развитием ребёнка? Результаты исследований свидетельствуют о возможности развития  памяти, моторной координации, способности восприятия пространства, внимания. Учёные  считают, что ребёнок, играя на компьютере, активно взаимодействует с миром, пусть даже  искусственным. При этом он должен не только быстро нажимать на клавиши, но и строить  в своей голове образно­ концептуальные модели, без которых нельзя добиться успеха в  современных компьютерных играх. Родителям следует помнить об опасности, связанной с  ранним приобщением к компьютерной игре: у дошкольника и младшего школьника сначала  должен сформироваться образ настоящего реального мира, а лишь потом малыша можно  допускать в мир виртуальный. Иначе ребёнок, а особенно впечатлительный, создаст в  своём воображении искажённый образ мира, где впоследствии ему трудно будет найти своё место. Кроме того, существует ещё одно крайнее проявление негативного воздействия  компьютерной игры на ребёнка: возможность аутизации, ухода ребёнка в вымышленный,  нереальный мир. Задача родителей ­ не допустить этого, наполнить яркими красками жизнь ребёнка в семье, вне школы. Ещё несколько слов об Интернете.     Прежде всего, не делайте из Интернета «запретный плод». Не запрещайте Интернет. В противном случае ребёнку  расскажут обо всём более «продвинутые» в этом вопросе сверстники. Не ставьте  компьютер в детской комнате. Пусть он находится в общей комнате. Этим вы достигните  не только соблюдения санитарных требований, но и сможете время от времени  контролировать, чем занимается ребёнок, что он делает, сидя за компьютером.  Контролируйте своих детей: родители обязаны знать, в какие игры, в том числе  онлайновые, он играет, однако помните, что сообразительный ребёнок, если постарается,  может придумать немало уловок, чтобы усыпить вашу бдительность. Развивайте у детей  самоконтроль, дисциплину и ответственность­ в таком случае перед уходом на работу вам  не придётся прятать компьютерные составляющие по укромным местам квартиры.     Один классик давно уже сказал, что «времена не выбирают, в них живут…» Нашим  детям довелось жить в век прогресса, новейших технологий и потрясающих достижений.  Очень неразумно было бы ограждать ребёнка от этого мира. Гораздо правильнее научить в  нём жить. Мир компьютерных игр так заманчив, красочен и, главное, моден! Его усиленно  рекламируют и в глянцевых журналах, и по радио, и по телевизору. Кто может устоять  перед таким соблазном? Дети ­ не могут. Что ж, значит, осваивайте новые игрушки нового  времени вместе и у вас будет гораздо меньше поводов для тревоги и страхов. Пусть ваша  роль в мастерской домашнего общения с ребёнком будет главной. Ребёнок увидит, что вы  достойный собеседник (а может быть, даже консультант).     Успехов, крепкого здоровья и отличного настроения вам и вашим детям! Литература: 1.Методическая газета для учителей «Здоровье детей», № 10, 16­31 мая 2008года. 2. Брязгунов И.П. «Беседы о здоровье школьников», М. «Просвещение»,1992 год 3. « Лекарство от радиации». Серия «Малая домашняя энциклопедия»./ Сост. Белов К.Н.,  Мазницын Е.И., Долженко Г.П., консультант­ профессор Оболенцева Г.В./ МП «Трибуна». Выпуск  3, 1991 год. Памятка для родителей:постоянным сидячим положением,  большим зрительным напряжением,  однообразными повторяющимися нагрузками на руки,  а также нервно­эмоциональным напряжением, связанным с влиянием компьютера на  1.Сон ребёнка должен составлять­ от 1 до 3 лет( 14 часов), от 4 до 7 лет(11 часов), от 8 до  12 лет (10 часов), от 13 до 16 лет(9 часов), взрослый – 8­9 часов. 2. Пребывание на свежем воздухе во все времена года. Дошкольники и младшие  школьники­ 3­4 часа, подростки­ 2,5­3 часа. 3. Через 20­30 минут чтения или письма надо делать перерыв для отдыха глаз. 4. Просмотр телевизора детьми: А) Смотреть не более 2­3 передач в неделю ( по 1­1,5) (не считая коротких мультфильмов). Б) Располагаться от телевизора не ближе 2­3 метров, не дальше 6­8 метров. В) Место для сидения должно быть удобным, изображение на экране – чётким. Влияние  ТС /интернет, компьютер, телевидение, телефоны/ на здоровье человека. Компьютер – новая реальность в нашей жизни, и человек в силу своей эволюции не  приспособлен к постоянной работе с ним. Поэтому вопросы, связанные с влиянием  компьютера на здоровье человека, лучше рассматривать с профилактической точки зрения, чем лечить появившиеся вдруг заболевания. Сразу хочу ответить на вопрос: вредно ли сидеть за компьютером? Считаю, что пользы от  компьютера при его разумном использовании намного больше, чем вреда. Тем не менее кто  предупрежден, тот вооружен. Влияние компьютера на здоровье человека характеризуется: ● ● ● ● психику человека. Опасность компьютера для здоровья проявляется в том, что воздействие перечисленных  проблем на здоровье человека проявляется далеко не сразу, а лишь спустя какое­то время. Основные факторы, оказывающие влияние на здоровье человека при работе за  компьютером: ●  мерцание монитора (влияет на глаза), ●  электромагнитное излучение, ●  шум (раздражает), ●  воздействие на психику, ●  стесненная поза (действует на позвоночник), ●  микроклимат помещения (влажность, пыльность), ●  режим работы (необходимые перерывы на отдых).                     Сколько можно сидеть за компьютером?       Что касается продолжительности работы за компьютером, то время более 7­8 часов в  день негативно сказывается на здоровье человека. Надо помнить, что проявляется это  далеко не сразу. Есть специальные программы, регулирующие время пользователя,  проведенное за компьютером и, соответственно, уменьшающие негативное влияние  компьютера на здоровье человека.      Многочисленные исследования состояния пользователей компьютера (а ведь многие  смотрят телевидение на ПК), которые проводились в 1996 году Центром электромагнитной безопасности, показали, что даже при кратковременном использовании в организме  человека происходят негативные изменения и подавление гормонального состояния.      При длительной работе за экраном монитора возникает также зрительное утомление.  Его симптомами являются: 1. Появление пелены перед глазами. 2. Усталость. 3. Головные боли и т.д.1. Ожирение. Ребенок, уставившись в телевизор, не гуляет, не играет, а лежит на  диване и механически поедает, то, что окажется у него под рукой. Все это приводит к  нарушению обмена веществ, накоплению жира, и, в результате, к диабету со всеми  вытекающими последствиями  . 2. Ослабление иммунитета  . 3. Обострение сердечно­сосудистых заболеваний.  4. Утрата способности концентрировать внимание, проблемы с памятью, что ведет к  повышению развития болезни Альцгеймера.  5. Подавление производства мелатонина, который является ключевым гормона и мощным  антиоксидантом, играющем важные роли в иммунной системе, цикле “сон­бодрствование”  и половом созревании  6. Негативное влияние на сон.   Кроме того, телевидение легко заменяет чтение, а в результате развитие мозга не идёт  должным образом, и способности ребёнка становятся не такими интеллектуальными,  какими бы могли быть. И так далее. Влияние телевизора и компьютера на психику ребенка. Многие эксперты сходятся во мнении, что в результате постоянного просмотра телевизора  и сидения у компьютера происходит настоящая дезадаптация к реальной жизни. Ребенок  начинает меньше общаться со своими сверстниками и отвыкает думать сам, так как  визуальный канал информации является самым простым и не требующим серьезных  умственных усилий для его восприятия. В свою очередь это приводит к  нечувствительности к эмоциям других людей и уходу ребенка в виртуальный мир. У  ребенка происходит замена реальной жизни виртуальной, возникает так называемая  “компьютерная зависимость”, когда он уже не может оторваться от него, когда время,  проведенное без компьютера, кажется потерянным зря. Однако, стоит заметить, что  исследования показывают, что далеко не для всех детей компьютер и Интернет служат  способами ухода от реального общения. Для многих, наоборот, это возможность для  общения с друзьями. “Компьютерная зависимость” появляется, как правило, у детей,  неуверенных в себе, испытывающих трудности в реальной жизни, неспособных наладить  нормального общения с другими людьми. Такие дети уходят в мир фантазий (и компьютер  – лишь один из многих вариантов такого бегства)                        Почему мобильный телефон действует на человека?       Человек – электромагнитная система, которая формировалась электромагнитными  полями солнца, луны и земли. Это те поля и те излучения, которые присущи для  человеческого организма на клеточном уровне.      Мобильный телефон это опасное изобретение человека, которое нарушает своим  воздействием природную электромагнитную связь человеческой клетки с привычным  электромагнитным полем. При этом нужно знать, что старые модели излучают больше,  новые – меньше. И если вы все­таки опасаетесь за свое здоровье, пользуйтесь при  разговорах гарнитурой handsfree. В этом случае интенсивность излучения снижается в  несколько раз.  Полезные советы и меры предосторожности с   1. Решив поменять себе телефон, выбирайте модель с наименьшей мощностью. 2. Носите мобильный телефон в сумке, а не в кармане штанов, располагая его так, чтобы  антенна мобильного была как можно дальше от вас и при этом к себе дисплеем. 3. Не пользуйтесь сотовым телефоном без надобности, потому что даже если мобильник в  режиме ожидания не излучает почти ничего, то когда вы находитесь в не зоны охвата сети  он в этом случае периодически включает передатчик для определения своей сети, и так  продолжается до тех пор пока не восстанавливается связь с ней, тем самым оказывая  облучающее влияние вас.     мобильными  телефонами  .4. Говорите как можно тише, так как при увеличении громкости автоматически  увеличивается мощность, излучения. 5. Разговаривайте как можно короче, с перерывом минимум 15 минут. Чаще заменяйте  разговор на CМC­сообшения или личную встречу. Помните, что мобильный телефон – не  замена телефону обычному и долго говорить по нему нельзя. 6. При разговоре держите его на расстояние не менее 3 сантиметров от кожи головы,  потому что в этом промежутке максимальный очаг излучения. Пользуйтесь наушниками,  чуть меньший эффект даст Вluetooth (беспроводная связь между наушниками и мобильным телефоном). Также учтите, что в режиме передачи данных по технологии GPRS, EDGE  интенсивность облучения возрастает. 7. Лучше пользоваться громкой связью, наушниками не советую пользоваться так как они  являются продолжением антенны передатчика в сторону которого идёт максимальное  излучение. 8. Мобильная связь вовсе не рекомендуется для детей и подростков до 16 лет, беременным женщинам, людям склонным к неврологическим заболеваниям, лицам которым  имплантированы кардиологические устройства сердечного ритма. 9. Не пользуйтесь мобильным телефоном в метро, трамваях, троллейбусах и вблизи  высоковольтных линий электропередач. Т.е. там, где природное электромагнитное поле  ослаблено. 10. В момент вызова не подносите телефон к уху, т.к. в это время мощность передатчика  телефона наибольшая. 11. Не давайте использовать мобильный телефоном детям. Кости черепа ребенка тоньше, а  его мозг развивается. 12. Старайтесь выключать телефон на ночь. Согласитесь, что по ночам важных звонков   Вы не ждете. А вместе с тем даже работающий в режиме ожидания мобильный телефон  оказывает влияние на вас во время сна, нарушая быструю и медленную фазы сна. Если же  вы используете будильник телефона для пробуждения, внимательно прочтите инструкцию  – он срабатывает и при выключенном телефоне. 2 четверть. Лекция №2  «Об истории принятия Конвенции о правах ребенка и ее основных положениях».  Социологические исследования свидетельствуют, что многие родители и школьники не  знают не только содержание Конвенции, но и о ее существовании. Дорогие родители,  давайте рассмотрим, что представляет из себя Конвенция о правах ребенка, какие нормы  закреплены в этом документе. Может быть, кто­то знает о нем? Вступление. 20 ноября 1989 года Генеральная Ассамблея Организации Объединенных  Наций единогласно приняла Конвенцию о правах ребенка. Ассамблее понадобилось всего  лишь две минуты, чтобы официально превратить международно­правовой акт в  универсальный стандарт, который отныне служит мерилом основных прав детей в мире.  Этим актом международное сообщество распространило действие прав человека на одну из наиболее уязвимых групп общества ­ детей. Событие это настолько важное и значимое, что  многие публицисты и общественные деятели стали называть Конвенцию Хартией  вольностей для детей, мировой конституцией прав ребенка.    Разработка документов о правах ребенка имеет свою историю. Вопрос об отдельном  рассмотрении прав детей возник сравнительно недавно. Только в результате  демократических движений за реформы в XIX веке государства взяли на себя  ответственность за защиту ребенка от произвола родителей, экономической эксплуатации  работодателей. Еще до образования ООН права детей рассматривались в основном в  качестве мер, которые необходимо было принять в отношении рабства, детского труда,  торговли детьми и проституции несовершеннолетних. В связи с этим Лига Наций в 1924  году приняла Женевскую декларацию прав ребенка.Дети, их благополучие и права всегда находились в центре внимания ООН с  момента ее создания в 1945 году. Одним из главных актов Генеральной Ассамблеи  было образование Детского фонда ООН (ЮНИСЕФ), который в настоящее время  является главным механизмом международной помощи детям       В принятой ООН в 1948 году Всеобщей декларации прав человека отмечается, что дети должны быть объектом особой защиты и помощи.       Необходимость особой защиты прав ребенка была признана Международным пактом об экономических социальных и культурных правах (ст. 10), Международным пактом о  гражданских и политических правах (ст. 23 и 24), а также в уставах и соответствующих  документах специализированных учреждений и международных организаций,  занимающихся вопросами благополучия детей.      В 1959 году ООН приняла Декларацию прав ребенка. Основной ее тезис состоял в том,  что человечество обязано давать ребенку лучшее, что оно имеет. В ней были  провозглашены десять социальных и правовых принципов, касающихся защиты и  благополучия детей на национальном и международном уровнях. Декларация призывала  родителей, отдельных лиц, неправительственные организации, местные власти и  правительства признать изложенные в ней права и свободы и стремиться к их соблюдению.  В Декларации также говорилось, что детям должна быть обеспечена специальная защита и  предоставлены возможности и условия, позволяющие им развиваться здоровым и  нормальным путем и в условиях свободы и достоинства. Она оказала значительное влияние на политику и дела правительств и отдельных лиц во всех частях мира.     Однако после принятия Декларации прав ребенка возникла необходимость принятия  нового документа ­ Конвенции.       Международные документы, в том числе о правах человека, условно можно  разделить на две большие группы: декларации и конвенции. Декларация (от  латинского слова declaratia ­ провозглашение) не имеет обязательной силы, это  рекомендация, в которой провозглашаются основные принципы, программные  положения. Конвенция (от латинского слова conventio ­ договор, соглашение) ­  соглашение по специальному вопросу, имеющее обязательную силу для тех  государств, которые к нему присоединились (подписали, ратифицировали).            Время и ухудшение положения детей потребовали от мирового сообщества  принятия нового документа, в котором не просто декларировались права детей, как это  имело место в Декларации, а на основе юридических норм фиксировались меры защиты  этих прав. За 30 лет, прошедших после принятия Декларации прав ребенка, многие  представления изменились, сложились новые понятия. Потребность в придании правам  детей силы норм договорного права с особой силой проявилась в ходе подготовки к  Международному году ребенка, который отмечался в 1979 году. В этом же году Комиссия  ООН по правам человека приступила к разработке проекта Конвенции. Десять лет, с 1979  по 1989 год, Комиссия по правам человека, в работе которой приняли участие юристы,  врачи, педагоги, психологи, социологи, культурологи, деятели общественных организаций  и религиозных конфессий многих стран мира, разрабатывала этот проект.       По сравнению с Декларацией о правах ребенка 1959 года, где было 10 коротких,  носящих декларативный характер положений (они именовались принципами), Конвенция  содержит 54 статьи, учитывающие практически все моменты, связанные с жизнью и  положением ребенка в обществе. Конвенция о правах ребенка не только развивает, но  и конкретизирует положения Декларации прав ребенка. В отличие от Декларации  государства, которые присоединяются к Конвенции, несут юридическую ответственность  за свои действия в отношении детей. Страны, ратифицировавшие Конвенцию о правах  ребенка или присоединившиеся к ней, должны пересмотреть свое национальноезаконодательство для обеспечения его соответствия положениям Конвенции. Подписывая  Конвенцию, государства заявляют о своем обязательстве соблюдать эти положения и в  случае их невыполнения несут ответственность перед международным сообществом.     Конвенция имеет равное значение для всех народов во всех регионах мира.  Несмотря на то, что Конвенция устанавливает общие нормы, в ней учтены различные культурные, социальные, экономические и политические реалии отдельных  государств, что позволяет каждому государству, на основе общих для всех прав  выбрать свои собственные национальные средства для выполнения этих норм. Это  дает основание утверждать, что Конвенция имеет универсальный характер.         Зарубежные и отечественные исследователи, говоря об истории Декларации и о  Конвенции, ограничиваются перечисленными выше фактами (подробно или менее  подробно излагая их). Зарубежных авторов можно понять, они, очевидно, недостаточно  знают историю российской педагогической мысли. Удивляют отечественные  исследователи, многие из которых не считают нужным упомянуть имя видного педагога,  страстного борца за права детей, свободное воспитание личности ­ К.Н. Вентцеля. Он еще в сентябре 1917 года разработал и опубликовал Декларацию прав ребенка, опираясь на  гуманистическую отечественную философскую мысль. Этот своеобразный  гуманистический манифест был одним из первых в мировой практике, который на  несколько десятилетий опередил аналогичную декларацию ООН.     Международное сообщество высоко оценило Конвенцию как выдающийся  гуманистический документ нашего времени. Исполнительный Совет ЮНИСЕФ на своей  ежегодной сессии (июнь 1992 г.) предложил государствам ежегодно 20 ноября (день  принятия Конвенции прав ребенка) отмечать Всемирный день детей.       Конвенция ­ документ особого социально­нравственного значения, ибо она  утверждает признание ребенка частью человечества, недопустимость его  дискриминации. «Наилучшие интересы ребенка» ­ понятие универсальное. Оно  включает право на выживание, здоровое развитие и защиту от злоупотреблений. Эти  права общепризнанны и стали международными нормами.      Конвенция ­ правовой документ высокого международного стандарта. Она  провозглашает ребенка полноценной и полноправной личностью, самостоятельным  субъектом права. Такого отношения к ребенку не было нигде и никогда. Определяя права  детей, которые отражают весь комплекс гражданских, политических, экономических,  социальных и культурных прав человека, Конвенция устанавливает и правовые нормы  ответственности государства, создает специальный механизм контроля ­ Комитет ООН по  правам ребенка ­ и наделяет его высокими полномочиями.       Конвенция ­ документ высочайшего педагогического значения. Она призывает и  взрослых, и детей строить свои взаимоотношения на нравственно­правовых нормах, в основе которых лежит подлинный гуманизм и демократизм, уважение и бережное  отношение к личности ребенка, его мнению, взглядам. Они должны быть основой  педагогики, воспитания и решительного устранения авторитарного стиля общения  взрослый ­ ребенок, учитель ­ ученик. Одновременно Конвенция утверждает  необходимость формирования у подрастающего поколения осознанного понимания законов и прав других людей, уважительного к ним отношения.       Идеи Конвенции должны внести много принципиально нового не только в наше  законодательство, но и прежде всего в наше сознание.        Основная идея Конвенции заключается в наилучшем обеспечении интересов  ребенка. Положения Конвенции сводятся к четырем основным требованиям, которыедолжны обеспечить права детей: выживание, развитие, защита и обеспечение активного  участия в жизни общества.      Конвенция утверждает ряд важных социальных правовых принципов. Главный из  них ­ признание ребенка полноценной и полноправной личностью. Это признание того,  что дети должны обладать правами человека по собственному праву, а не в качестве  придатка своих родителей и других опекунов.      Согласно Конвенции ребенком является каждое человеческое существо до достижения  18­летнего возраста, если по национальным законам не установлен более ранний возраст  достижения совершеннолетия.       Признавая ребенка самостоятельным субъектом права, Конвенция охватывает  весь комплекс гражданских, политических, экономических, социальных и  культурных прав. Одновременно она подчеркивает, что осуществление одного права  неотделимо от осуществления других прав. Она провозглашает приоритетность  интересов детей перед потребностями государства, общества, религии, семьи.  Конвенция утверждает, что свобода, необходимая ребенку для развития своих  интеллектуальных, моральных и духовных способностей, требует не только здоровой, но и  безопасной окружающей среды, соответствующего уровня здравоохранения, обеспечения  минимальных норм питания, одежды, жилища и предоставления всего этого в первую  очередь детям.     Кратко содержание всех 54 статей Конвенции можно изложить следующим  образом: 1­ Каждый ребенок имеет неотъемлемое право на жизнь, а государства обеспечивают в  максимально возможной степени выживание и здоровое развитие ребенка. 2­ Каждый ребенок имеет право на имя и гражданство с момента рождения. 3 ­Во всех действиях судов, учреждений социального обеспечения, административных  органов, занимающихся проблемами детей, первоочередное внимание уделяется  наилучшему обеспечению интересов ребенка.  4­Надлежащим образом должно учитываться мнение ребенка.  5­Государства обеспечивают осуществление каждым ребенком всех прав без какой­либо  дискриминации или различий.  6­Дети не должны разлучаться со своими родителями, за исключением случаев, когда это  осуществляется компетентными органами в интересах их благополучия. 7­ Государства должны содействовать воссоединению семей, разрешая въезд на свою  территорию или выезд из нее. 8 ­Родители несут основную ответственность за воспитание ребенка, однако государства  должны оказывать им надлежащую помощь и развивать сеть детских учреждений. 9­ Государства должны обеспечивать защиту детей от причинения им физического или  психологического ущерба и от плохого обращения, включая сексуальное злоупотребление  или эксплуатацию. 10­ Государства обеспечивают подходящую замену ухода за детьми, у которых нет  родителей. Процесс усыновления тщательно регулируется, чтобы обеспечить гарантии и  юридическую обоснованность в тех случаях, когда усыновители намереваются вывезти  ребенка из страны, где он родился. 11­ Неполноценные дети имеют право на особое обращение, образование и заботу. 12­ Ребенок имеет право на пользование наиболее совершенными услугами системы  здравоохранения. Государство должно обеспечивать охрану здоровья всех детей, уделяя  первоочередное внимание профилактическим мерам, медико­санитарному просвещению и  сокращению детской смертности. 13 ­Начальное образование должно быть бесплатным и обязательным.14­ Школьная дисциплина должна поддерживаться с помощью методов, отражающих  уважение человеческого достоинства ребенка. Образование должно готовить ребенка к  жизни в духе понимания мира и терпимости. 15­ Дети должны иметь время на отдых, игры и одинаковые возможности заниматься  культурной и творческой деятельностью. 16­ Государства должны обеспечивать защиту ребенка от экономической эксплуатации и  работы, которая может помешать получению образования или нанести ущерб его здоровью  и благополучию. 17­ Государства должны защищать детей от незаконного употребления и от участия в  производстве наркотиков или торговле ими. 18­ Принимаются все меры для прекращения похищения детей и торговли ими. 19 ­Смертная казнь или пожизненное тюремное заключение не назначаются за  преступления, совершенные лицами в возрасте до 18 лет. 20 ­Дети должны содержаться под стражей отдельно от взрослых; они не должны  подвергаться пыткам или жестокому и унижающему достоинство обращению.  Всемирная встреча на высшем уровне состоявшуюся 29­30 сентября 1990 г. в Нью­Йорке.  Чтобы активизировать внимание мирового сообщества к Конвенции, защите прав ребенка,  ООН провела Всемирную встречу на высшем уровне в интересах детей, состоявшуюся 29­ 30 сентября 1990 г. в Нью­Йорке. Всемирная встреча стала историческим форумом. 71  президент и премьер­министры государств и правительств собрались в ООН, чтобы своим  авторитетом поддержать идеи Конвенции о правах ребенка. Участники встречи приняли  Всемирную декларацию об обеспечении выживания, защиты и развития детей и План  действий по осуществлению этой декларации в 90­е годы XX столетия. Главы 159  делегаций дали обещание: попытаться покончить к 2000 году с детской смертностью и  недоеданием, обеспечить элементарные гарантии нормального физического и  нравственного развития детей во всем мире. Все правительства обещали пересмотреть свои планы и бюджеты и до конца 1991 года принять решения относительно национальных  программ действий.      Принятие Всемирной декларации об обеспечении выживания, защиты и развития детей и Плана действий по ее осуществлению ­ это не только Совместное обязательство, это  выдающийся документ, свидетельствующий о создании нового нравственного критерия в  мировом сообществе. Суть его в том, чтобы дети в первую очередь пользовались плодами  успехов человечества и в последнюю очередь страдали от его неудач, в том, что уровень  цивилизации общества, его гуманность будут определяться тем, как общество защищает  своих детей и заботится о них. В этом суть новой этики в отношении детства,  провозглашенной на этой встрече.    Принципы этой этики закреплены в Конвенции о правах ребенка. В итоговом документе  встречи говорится о необходимости всемерного соблюдения Конвенции. Выполнение или  нарушение ее должно незамедлительно становиться вопросом национальной озабоченности, национальной гордости или национального стыда.  Конвенция создала механизм, который контролирует выполнение ее принципов. В целях  рассмотрения прогресса, достигнутого государствами­участниками в обеспечении  выполнения прав ребенка, создан Комитет по правам ребенка. Его состав и функции  определены статьями 43­45 Конвенции о правах ребенка.       В соответствии с пунктом 1 ст. 44 Конвенции о правах ребенка государства­участники  обязуются представлять Комитету через Генерального секретаря ООН доклады о  реализации положений Конвенции.    Первоначальный доклад представляется страной, ратифицировавшей Конвенцию, через 2  года, а последующие ­ через каждые 5 лет.Комитет разработал рекомендации по содержанию информации, включаемой в доклады  государств­участников. Доклады Комитету по правам ребенка от государств, которые  ратифицировали Конвенцию, являются исключительно важными для процесса контроля.  Комитет понимает, что как бы тщательно доклады ни составлялись, сколь подробными они ни были, официальные доклады редко могут охватить полную картину прав ребенка в  данной стране. Поэтому Комитет кроме официального доклада собирает сведения от  неправительственных, межправительственных организаций, включая ЮНИСЕФ, которые  могут представлять свои собственные доклады независимо от правительств. При  обсуждении доклада Комитет учитывает и анализирует не только количественные  показатели, но и усилия, прилагаемые этой страной для обеспечения прав ребенка, а также  меры, необходимые для преодоления трудностей.      Конвенция о правах ребенка коренным образом изменила отношение к детям в  мире. На международном уровне утверждается убеждение, что у детей есть все те права,  что и у взрослых: гражданские и политические, социальные, культурные, экономические.  Подтверждением этого является ратификация Конвенции почти всеми странами мира. 191  государство является участниками Конвенции. Только 2 государства пока еще не  присоединились к Конвенции (Сомали и США). Таким образом, она стала единственным в  истории договором по правам человека, ратифицированным таким количеством стран.     Конвенция о правах ребенка заложила в международное право новые нормы, к  соблюдению которых должны стремиться национальные правительства.     Конвенция признает, что еще не все правительства располагают ресурсами,  необходимыми для немедленного обеспечения экономических, социальных и культурных  прав. Однако она обязывает их уделять этим правам первостепенное внимание и  обеспечивать их соблюдение в максимально возможной степени с учетом имеющихся  ресурсов.      Выполняя свои обязательства, государства вынуждены вносить изменения в  национальные законы, планы, политику и практику. Для принятия таких мер прежде всего  необходима политическая воля. Конвенция вызвала к жизни изменения, которые уже  начинают серьезно сказываться на отношении международного сообщества к детям. В  настоящее время 96 % детей в мире проживают в государствах, связанных юридическим  обязательством защищать права детей. Ряд государств мира включили принципы  Конвенции в свои Конституции, многие страны приняли новые законы или внесли поправки в существующие законы. Во многих странах Конвенция включена в учебные программы или курсы и начался процесс осведомления детей об их правах.     На основе принципов Конвенции были сформулированы многие другие международные,  региональные и национальные документы, например документы, принятые на Всемирной  встрече на высшем уровне в интересах детей (сентябрь 1990 г.), Европейская Конвенция о  защите прав детей (принята Советом Европы в январе 1996 г.), национальные законы о  защите прав детей в ряде государств. Во многих странах средства массовой информации  содействовали ознакомлению людей с содержанием Конвенции и фактами ее нарушения.     Всемирная встреча на высшем уровне в интересах детей (сентябрь 1990 г.), как уже  отмечалось, приняла Декларацию об обеспечении выживания, защиты и развития детей и  План действий по ее осуществлению на 90­е годы. На пороге нового тысячелетия  ЮНИСЕФ выдвинуло новую инициативу ­ Всеобщее Движение в интересах детей. Это  рабочее название новой инициативы. Ее задача ­ сосредоточить усилия на разработке новой Всеобщей программы действий в интересах детей. Она должна сформулировать не только  цели, но и пути их достижения, позволяющие ускорить процесс реализации прав детей и  получить результаты в пределах одного поколения.  Для осмысления и закрепления полученной информации важно предложить родителям ряд вопросов.Лекция: Тема нашей лекции посвящена изучению прав ребенка, ознакомлению с главным  международным правовым документом ­ Конвенцией ООН о правах ребенка.  На доске план лекции: 1 Права ребенка.  2 Конвенция о правах ребенка.  3  Проблемы детства в современном мире.  4  Понятие "ребенок".   5 История создания Конвенции ООН о правах ребенка (1989).  6 Основные положения Конвенции о правах ребенка.  Вступительная беседа:  Когда вы чувствуете себя счастливыми?   Как вы думаете, что нужно ребенку, чтобы он чувствовал себя счастливым?   Одинаково ли счастливы дети на планете?   Каких детей вы могли бы назвать несчастными?   А существуют ли проблемы у детей? Какие?   Имеют ли дети какие­ либо права в обществе или они есть только у взрослых?   Какие бы права вы хотели бы иметь, будучи детьми?  Проблемы детства.  Когда человеку хорошо, он и не задумывается о своих правах. Но в мире очень много  проблем, касающихся жизни и здоровья детей: сиротство, насилие над детьми,  использование детского труда, болезни, война, изгнание из родных мест, плен.  Положение  детей на земле неодинаково. Есть страны, в которых дети окружены заботой государства,  где решению проблемы защиты детей отводится первостепенная роль. Но есть такие  государства, где тысячи детей вынуждены жить в нищете и голоде, где царит бесправие и  насилие над ними.  Организация Объединенных наций, созданная в 1945 году, чтобы  укрепить мир и дружбу между народами, предотвратить международные конфликты,  защитить права человека, не могла обойти вниманием вопрос о правах детей, живущих на  земле. Для того, чтобы более полно обеспечить права детей она приняла ряд документов о  правах ребенка. Дети, обладая всей полнотой уже провозглашенных международных прав,  имеют свои специфические права, пользуются особой защитой со стороны государства.  Понятие "ребенок".   Кого же относят к понятию "ребенок"? ООН в своих документах считает, что ребенком  является каждый человек до достижения им восемнадцатилетнего возраста, если по  закону, применимому к данному ребенку, он не достигает совершеннолетия ранее. Эта  оговорка означает, что если до достижения восемнадцати лет молодые люди вступили в  брак, зарегистрированный в установленном порядке, то на них не  будут распространяться  положения документов о детях.  В России проживает более 40 млн. детей. Юридически к этой категории населения относят детей в возрасте до 18 лет. В нашей стране ребенок признается личностью, гражданином,  он обладает целым комплексом юридических прав и обязанностей. Такиe правила  заключены в кодексы различных отраслей права (Семейный, Уголовный, Трудовой и др.).   Среди международно­правовых документов о правах ребенка важное и основное место  занимает Конвенция ООН о правах ребенка 1989 года, которую подписала также и Россия. Что такое конвенция? Конвенция ­ это международное соглашение по определенному вопросу с взаимными  обязательствами сторон.  Почему же был принят этот документ?  Чем вызвана его необходимость?К разработке Конвенции Комиссия ООН по правам человека приступила в  Международный год ребенка (1979 г.). К этому времени появился ряд важнейших  международных документов о правах человека, само представление о правах детей стало  глубже.  Конвенция ­ это договор, который должен выполняться теми, кто его подписал. Этот  статус документа определил остроту дискуссий о его содержании, сложности и  длительность (десять лет) его разработки. 20 ноября 1989 года Генеральная Ассамблея  ООН единогласно приняла Конвенцию о правах ребенка. В 1990 году она была  ратифицирована нашей страной.  Основные положения Конвенции о правах ребенка.   Конвенция является наиболее полным документом, в котором права ребенка приобретают  силу норм международного права.  Конвенция ценна еще и тем, что это обязательство на будущее, ибо призвана создать  благополучные условия для развития детей, которым предстоит в будущем построить  справедливый, гуманный мир. Главный принцип Конвенции состоит в том, что во всех  действиях в отношении детей, какими бы учреждениями они ни предпринимались,  первоочередное внимание должно уделяться наилучшему обеспечению интересов ребенка.  Любой государственный орган, решая вопрос, в котором задеты интересы ребенка, должен  прежде всего обеспечить эти интересы. Нормы, зафиксированные в ней, будут служить  ориентиром для правительств, партий, организаций и движений в их попытках внести  положительные изменения в жизнь детей, мобилизовать для этого необходимые ресурсы.  Государства­участники этой Конвенции взяли на себя обязательства признавать и  обеспечивать широкий круг прав ребенка. Чтобы лучше сориентироваться в большом  количестве норм Конвенции, давайте представим их в виде схемы, объединив их в  отдельные группы по общности содержания. Согласно Конвенции, ребенок с момента  рождения имеет право на имя, гражданство, а также, насколько это возможно, знать своих  родителей и на их заботу. Запрещено насильно отрывать ребенка от семьи, от страны,  менять ему имя.  Интересное положение Конвенции ­ признание права ребенка выражать свои собственные  взгляды (если он сам способен их сформулировать) по всем вопросам, касающимся  ребенка. При этом государства­участники обязались уделять этим взглядам "должное  внимание в соответствии с возрастом и зрелостью ребенка". Для нас, взрослый вы или еще  ребенок, очень важно, чтобы ваши взгляды были встречены окружающими с уважением и  пониманием.  Ребенок имеет право свободно выражать свое мнение, в том числе, свободно искать,  получать и передавать информацию и идеи любого рода в устной, письменной или печатной форме, в форме произведений искусства или с помощью других средств по своему выбору.  Конвенция охраняет тайну корреспонденции ребенка. Никто, кроме него самого, не может  вскрыть адресованное ему письмо. Осуществление этих прав может ограничиваться для  соблюдения прав других лиц, для государственной безопасности  и  общественного  порядка.  Конвенция возлагает на родителей права и обязанности руководить ребенком в  осуществлении его свободы мысли, совести и религии.  Все дети должны пользоваться одинаковыми правами, как родившиеся в браке, так и вне  брака. Заботу о детях, лишившихся родителей, должно взять на себя государство.  Устанавливая нормы о правах и социальной защите ребенка, Конвенция исходит из того,  что ребенку для полного и гармоничного развития необходимо расти в семейном  окружении, в атмосфере счастья, любви и понимания. А это возможно лишь при уважении  личности, чести и прав ребенка. И только при таких условиях воспитания ребенок можетбыть подготовлен к самостоятельной жизни в обществе, которое руководствуется  идеалами мира, достоинства, терпимости, свободы, равенства и солидарности.  Большая доля положений Конвенции обращена правительственным органам, учреждениям, организациям наиболее мощным инстанциям, обладающим реальными возможностями  принять необходимые и действенные меры для защиты детства. Многое могут сделать  родители, другие члены семьи  для  того, чтобы  ребенок чувствовал себя достаточно  благополучным.  В Конвенции речь идет не только о правах ребенка, но в значительной мере об  обязательствах государств­участников для обеспечения прав детей. Наша страна  подписала и ратифицировала Конвенцию о правах ребенка, а это означает, что дети в  нашей стране защищены Конвенцией ООН о правах ребенка. Вопросы родителям:  1 Для чего необходимо вам изучать положения Конвенции?  2  Какие права по Конвенции реализуете вы в жизни?  3  Какие вопросы остаются нерешенными в отношении защиты детства в нашей стране? Классные часы во  2 класс Классный час на тему: «Я – второклассник» Цели: -поддержать у детей праздничное настроение от встречи со школой; -создать настрой на учебную деятельность; Оборудование: проектор, магнитофон, картинки. 1уч.   1 сентября… В этот день все дороги ведут к школе. Нарядные ученики, взволнованные  родители и учителя… После летних каникул мы собрались все вместе. И школьный звонок  позвал вас на праздник – День знаний. На этот звонок к нам в гости поспешил наш гость –  паровозик из Ромашкова. Он приглашает нас в путешествие.  2уч.  (фото или рисунок школы) ^ 1 остановка: «Отгадай­ка»  3уч. ­8уч.   Молодцы! Отправляемся дальше. ^ 2 остановка «Сосчитай­ка»   Посмотрим, не разучились ли вы за лето считать, слушайте внимательно.   9уч. – 15уч.   ­Молодцы, вижу, что с книгами вы дружите. А теперь посмотрим, сможете ли вы понять  зашифрованное выражение из песенки.  ^ 4 остановка « Конкурс переводчиков»   Старушка имела животное булыжного цвета с рогами.   (Жил­был у бабушки серенький козлик...)   Женщина пожилого возраста была владелицей пары жизнерадостных птичек.   (Жили у бабуси два веселых гуся...)  На плантации зеленых насаждений появилось новое чудо, пригодное для встречи Нового  года. (В лесу родилась елочка, в лесу она росла...)  В зарослях невысоких растений расположилось зеленое насекомое.   (В траве сидел кузнечик...)  ^ 5 остановка станция «Спортивная»  Давайте проведём физминутку. (поехать паровозиком)  Умницы, какие вы весёлые ребята, а теперь проверим, не забыли ли вы орфограммы.^ 6 остановка «Граммотейск»   Составьте из слогов слова.   Лы ча ма пру на ша кры жи ши чай ша ник ро ка встре со   (встреча, пружина, крыша, чайник, сорока, лыжи, машина и т. д.)   Какие орфограммы вы здесь встретили?   А теперь я расскажу вам сказку, вот только некоторые слова здесь мне непонятны, без  вашей помощи не справиться, поможете?  Теремок.   Стоит в поле теремок. Он не низок не высок. И живёт в нём маленькое, серенькое  животное, в названии которого два слога, на звук [ м] начинается.   Кто там живёт? (мышка)   Однажды в теремок кто­то постучал.   ­Кто там? – спросила мышка.   В моём названии три слога, второй ударный, первый звук [ л`],­ отвечает гостья.   Кто эта гостья? (лягушка)   Стали они жить вдвоём. И вот поздней ночью их разбудил тревожный стук.   ­ Ты кто? – спросили хозяйки.   ­ Я животное, которое состоит из двух слогов, второй слог ударный, первый звук [л`]. Это  что за поздний гость? (лиса)   Хозяйки, конечно, догадались, кто это был и дверь не открыли.   Какие вы смышленые, поехали дальше.  ^ 7 остановка «Экологическая»   Наши лесные зверята приготовили нам загадки про животных, вот только загадки не  простые, загадки­обманки. Наши меньшие друзья хотят нас запутать, а вы будьте  внимательны.  16­22уч.  Да, в нашем классе одни таланты. Вы справились со всеми заданиями. Мы подъезжаем к  нашей школе.   «Кто ничего не изучает, тот вечно хнычет и скучает» ­ так писал известный поэт Сеф.  Я думаю нам в этом году не придётся скучать, вам предстоит узнать много интересного,  но чтобы учебный год был удачным, нужно пройти под счастливой аркой второклассников.  (ребята проходят под аркой второклассников, изготовленной из ватмана и получают  медаль «Я – второклассник») (звучит музыка)   23уч  И позвольте вручить сегодня награды летним именинникам (Кудряшов Виталик, Кутуля  Никита, Землянов Паша, Рублёвский Максим, Аннаева Софья, Нестеренко Евгения) Им исполнилось 8 лет – ПОЗДРАВЛЯЕМ!!! (детям вручаются медали «8 – лет») На этом наш классный час закончен. Приложение: 1уч. Уже не первый класс – второй   Тебя встречает на пороге.   Красив твой возраст озорной   В начале жизненной дороги.   Ты повзрослел за этот год,   Забот прибавилось, уменья.   Родная школа – твой восход,   Здесь твоё главное ученье.   Теперь за лето отдохнули,   Сил набрались для запаса.   В объятья вы второго класса.2уч.За чистым – чистым полем,   За дремучим – дремучим лесом,   За шумным морем,   За глубоким океаном,   Лежит страна Знаний. 3уч.­ 8уч  3.Стоит весёлый светлый дом,   Ребят проворных много в нём,   Там пишут и считают,   Рисуют и играют. (школа)   4уч..По чёрному белым   Пишут то и дело.   Потрут тряпицей­   Чиста страница. (доска)   5.Если ты его отточишь,   Нарисуешь всё, что хочешь!   Солнце, море, горы, пляж.   Что же это? (карандаш)   6.В этой узенькой коробке   Ты найдёшь карандаши,   Ручки, перья, скрепки, кнопки,   Что угодно для души. (пенал)   7.Новый дом несу в руке,   Дверца дома на замке.   Тут жильцы бумажные,   Все ужасно важные. (портфель)   8.То я в клетку, то в линейку,   Написать во мне сумей­ка,   Можешь и нарисовать,   Что такое я? (тетрадь)   9.Я всех знаю, всех учу,   Но сама всегда молчу.   Чтоб со мною подружиться,   Надо грамоте учиться. (книга)  9­15уч. 10. Четыре мышки ­ крохотушки,   Очень дружные подружки,   Вышли в поле погулять,   Прибежало ещё пять.   Очень дружно они пели   Всех их было ровно….(9)   11. Мы ходили на базар   Выбирали там товар:   Три морковки, две петрушки,   Тыква, свёкла, сельдерей.   Сколько будет овощей? (8)  12. Пять котят песок копают,   Три на солнце загорают,   Два купаются в золе   Сколько всех, скажите мне? (10)13. Котик с мышкою дружил,   Мышке тапки подарил.   И на все четыре лапы   Натянула мышка тапки.   Побежала по тропинке,   Да споткнулась о травинку.   С лапки тапочек упал.   И куда­то запропал.   Тапок мышка не нашла.   И без тапочка пошла.   Сколько тапочек осталось у мышки? ( 3)   14. На прогулку из яслей   Вышло 10 малышей.   5 из них на травку сели,   Остальные на качели.   Сколько ребят сели на качели? (5)  15. Слон, слониха, 2 слонёнка   Шли толпой на водопой.   А навстречу 3 тигрёнка   С водопоя шли домой.   Сосчитай­ка поскорей,   Сколько встретилось друзей? (7)   16. 7 гусей пустились в путь.   2 решили отдохнуть.   Сколько их под облаками?   Сосчитайте, дети, сами.  16­22уч. 17. Нет ни речки, ни пруда   Где воды напиться?   Очень вкусная вода   В ямке от копытца. (Сестрица Алёнушка и братец Иванушка)   18. Красна девица грустна,   Ей не нравится весна.   Ей на солнце тяжко   Слёзы льёт бедняжка. (Снегурочка)   19. Столяр Джузеппе­ Синий нос   Полено как­то в дом принес.   Он начал ножку мастерить   Для кресла или стула.   Полено стало говорить   И в нос его щипнуло. (Приключения Буратино или Золотой ключик)   20. Скорей бы приблизился вечер   И час долгожданный настал,   Чтоб мне в золоченой карете   Поехать на сказочный бал. (Золушка)  22 1. А дорога — далека,   А корзинка — нелегка.   Сесть бы Мишке на пенек,   Съесть бы вкусный пирожок. (Маша и медведь)  23уч.Ты сегодня ­ второклассник!В этот день осенний   Безмятежно и прекрасно   Будет настроение!   Ты уже осилил первый ­  Самый главный класс,   И родителей, наверное,   Знаньями потряс!   Безусловно, ты герой:   Смелый и отважный!   Начинается второй –   Год, конечно, важный.   Класс второй! Дружище, будь   Терпелив и стоек!   И учись не как­нибудь ­   А учись без двоек. Классный час на тему    «Режим дня школьника» Цели и задачи классного часа: ­ познакомить детей младшего школьного возраста с режимом дня, убедить их в необходимости его строго выполнять; ­ научить школьников планировать свое личное время, опираясь на собственный режим дня. Форма проведения: беседа­диалог Планируемые результаты:  ­ развитие коммуникативных, регулятивных, познавательных УУД;  ­ формирование личностных качеств, связанных с вопросами личной гигиены, режима дня и  необходимости сохранения здоровья. Оборудование: лист А3 с рисунком Мойдодыра, цветная бумага, инструменты и принадлежности,  клей, подборка книг с тематикой время, режим дня, цветные журналы, ряд сюжетных картинок,  иллюстрирующий режим дня школьника, подарочные мини­плакаты «Режим дня». Ход классного часа. 1. Введение в тему занятия. ­ Ребята, это внеклассное мероприятие посвящаем самому ценному – нашему ЗДОРОВЬЮ.  ­ Давайте порассуждаем – а что такое здоровье? ­ Важно ли для человека здоровье? Попробуйте не просто дать односложный ответ, а привести  аргумент (доказательство) вашего мнения 2. Актуализация знаний учащихся. ­ Скажите, какие важные условия должен соблюдать человек, чтобы сохранить своё здоровье. (Возможные ответы детей: Правильно питаться. Соблюдать режим дня. Принимать в пищу овощи и фрук Своевременно ложиться спать. Бороться с вредными привычками. Дружить со спортом, чтобы здоровым и сильным.) ­ Совершенно верно. Молодцы! И это еще далеко не полный список того, что может сделать  человек, чтобы сохранить свое здоровье. 3. Погружение в тему занятия. ­ Сегодня я предлагаю более подробно остановиться лишь на одном показателе здоровья.  ­ Послушайте, пожалуйста, стихотворение и попробуйте догадаться, о чем мы сегодня будем  говорить подробно?  Несколько подготовленных учеников читают стихотворение «Режим дня».  1уч.   ­ Какова же тема нашего сегодняшнего разговора? (Режим дня.)­ Какие ассоциации возникают у вас с этим словом? (Порядок, расписание, последовательность и т.  п.) ­ Обратите внимание на запись на доске: « Режим – установленный распорядок жизни (дел,  действий)».  ­ Совпало ли ваше предположение о значении слова «режим» с его научным значением? (Да.) ­ Ребята, а для чего нужен режим дня? Зачем нужно соблюдать такой распорядок дня? (Чтобы все  успевать сделать, чтобы на все хватало времени, чтобы правильно распределить свое время не  волноваться из­за того, что что­то не успеешь и т. п. ) ­ Действительно, ребята, когда взрослые и дети не соблюдают простейший режим дня, появляется  много неприятностей. Они не успевают, опаздывают, забывают в спешке что–то сделать, быстро  устают, начинают нервничать, ругаться с окружающими и т.п. И устают то люди не столько от того, что много работают, сколько от того, что неправильно организовывают свою работу, не соблюдают  режим дня. Дело в том, что все физиологические процессы в нашем организме совершаются в  определённом ритме. И если приучиться к строгому чередованию бодрствования, сна, игр, отдыха,  приёма пищи, то можно быть всегда здоровым и добиться успехов в любых занятиях. 4. Беседа по содержанию стихотворения. ­ Давайте вспомним стихотворение и попробуем восстановить правильную последовательность  элементов режима дня. (Одновременно на доску вывешиваются сюжетные картинки,  иллюстрирующие элементы режима дня.) Подъем; Утренняя гимнастика, утренний туалет, уборка постели; Завтрак; Дорога в школу; Учебные, дополнительные занятия; Дорога из школы домой; Обед; Послеобеденный отдых (сон, чтение книг, настольные игры); Пребывание на воздухе: прогулка, подвижные игры и развлечения; Приготовление уроков; Пребывание на воздухе: прогулка, подвижные игры и развлечения; Ужин; Свободное время, просмотр телепередач; Приготовление ко сну (проветривание комнаты, приготовление постели); Сон. ­ Молодцы! Все хорошо запомнили.  2уч.  (Детям раздаются красочные заготовки мини­плакатов «Режим дня», которые они заполнят дома  вместе с родителями.) ­ Ребята, а кто из вас придерживается режима дня?  ­ Расскажите о своем режиме дня? (Краткие рассказы детей.) ­ Вспомните содержание стихотворения и скажите о каком еще здоровьесберегающем компоненте  предупреждал нас автор. (Не играть на дороге по пути в школу и из школы.) ­ Как вы думаете почему автор предупредил нас об этом? (Игры на проезжей части дороги  приводят к травмам.) 5. Практическая работа с учащимися по группам. ­ Чтобы лучше усвоить важность соблюдения режима дня для сохранения здоровья, я предлагаю  вам творческую работу. Наша работа будет проходить по группам. У каждого из вас есть цветной  жетон. Он подскажет вам, как найти тех, с кем вы сейчас будете работать в одной команде. 1 группа (дети с низкими познавательными способностями) попробует составить мини коллаж из  картинок предметов, необходимых для выполнения водных процедур. На стеле уже есть несколько  журналов из которых вы можете брать иллюстрации. (Чтобы композиции имела законченный вид,  этой группе детей заранее предложен лист формата А3 с центральной фигурой – героем книги К.  Чуковского «Мойдодыр».)2 группа (дети с высокими познавательными способностями, с развитой речью) сделает обзор  художественной литературы, в которой есть упоминание о времени, о часах или о выполнении или  невыполнении героями режима дня. Подборку таких книг можно найти в нашей классной  библиотечке. (Классная библиотечка такими книгами пополнена учителем заранее.) 3 группа (дети, имеющие ярко выраженные художественные способности) с помощью цветной  бумаги, ножниц и клея сделает самые необходимые дорожные знаки, которые помогают  ориентироваться на дорогах. (В помощь учащимся имеется набор дорожных знаков «Юный  пешеход») 6. Творческий отчет каждой группы. ­ Покажите то, что у вас получилось и прокомментируйте свои работы.  7. Подведение итогов классного часа. ­ Что такое режим дня? {Распределение по времени действий человека за сутки.) ­ Почему необходим режим дня? (Для постоянного поддержания здоровья и настроения.)  ­ Совершенно верно. Молодцы! Режим дня способствует правильному развитию, укреплению  здоровья, воспитанию воли, дисциплинированности. 8. Рефлексия. ­ Ребята, кто из вас после сегодняшнего занятия твердо решил для себя ежедневно соблюдать  режим дня? ­ Я рада за вас. Это самое мудрое и правильное решение. ­ В заключение классного часа мне хотелось сказать вам несколько слов 3уч.   Приложение. 1уч.Чтоб прогнать тоску и лень,  Подниматься каждый день Нужно ровно в семь часов. Отворив окна засов, Сделать лёгкую зарядку И убрать свою кроватку! Душ принять и завтрак съесть А потом за парту сесть. Но запомните, ребята, Очень важно это знать, Идя в школу, на дороге  Вы не вздумайте играть! Опасайтесь вы машин, Их коварных чёрных шин. На занятиях сиди И всё тихо слушай. За учителем следи, Навостривши уши. После школы отдыхай: Но только не валяйся. Дома маме помогай, Гуляй, закаляйся. Пообедав, можешь сесть Выполнять задания. Всё в порядке, если есть Воля и старание. Соблюдаем мы всегда Распорядок строго дня. В час положенный ложимся, В час положенный встаём.Нам болезни ни почём! 2уч.Режим ты этот запиши И строго время укажи, Его старайся выполнять, И будешь ты все успевать. 3уч.Режим дня соблюдайте, Старших уважайте, Малышей не обижайте – Вот вам мой совет. Будете на свете Жить сто лет! Классный час    « Безопасный путь из школы домой и обратно» Цель:  формировать представления младших школьников о безопасности дорожного движения. Задачи: 1)Повторить правила движения пешеходов по улице и дороге, 2) Учить выбирать наиболее безопасный  маршрут из школы домой и обратно, учить разрабатывать маршрут  пути, 3)Развитие умения работать в паре, развитие внимания. Формы работы: беседа,  парная работа, практическая работа. Оборудование: мультимедиапроектор, плакаты « Дорожные знаки», аудиозапись «По улице, по улице»  музыка Т. Шутенко, слова Г. Бойко, карточки со схемами для работы в паре. Ход занятия . I. Мотивационный момент. Формулирование темы занятия. ­ Посмотрите друг на друга, улыбнитесь, пожелайте успешной работы себе, соседу, всему классу.  ­ Что необходимо нам для успешной работы на занятии?  ­ Покажите своей посадкой, что вы готовы работать. Ребята, посмотрите видеоролик и попробуйте сформулировать тему нашего классного часа. (  видеоролик «Безопасный путь в  школу» http://videoscope.cc/147998­bezopasnyj­put­v­shkolu.html) ­ Как вы думаете, какова тема нашего занятия? ­ Да, вы правы, тема нашего классного часа «Безопасный путь из школы домой и обратно». ­ Какие  учебные задачи вы поставите для себя, зная тему занятия? Опираясь на слова ­ помощники озвучьте их. (На доске)  повторить правила…… научиться выбирать…… узнать о……) (На слайде появляются  возможные ответы, которые учитель обобщает повторить правила перехода дороги, научиться выбирать безопасный путь из школы домой и обратно) узнать о том, как сделать свой путь безопасным…) II.Работа по теме занятия. ­Как вы понимаете значение слова ­ безопасный?  ­Как по­ другому можно сказать?  (Предусмотрительный, осторожный, неторопливый.)  ­Чтобы найти безопасный путь в школу, как вы думаете, что для этого нужно знать?  ­Правильно, надо хорошо ориентироваться на дороге, знать правила дорожного движения и  избегать опасности. ­ Какие помощники на улицах нашего села  помогают перейти дорогу с меньшей степенью  опасности? ( пешеходная дорожка, светофоров  в селе – нет) ­ Расскажите, как нужно правильно переходить пешеходную дорожку? ­ Какие знаки дорожного движения вам встречаются по дороге в школу? Покажите их на плакате. О чём они «говорят»?  Поиграем в игру « Дорожный знак»С отгадкой вы должны ещё ответить, где по дороге в школу вам встречается этот знак.        ­ Ребята, посмотрите на схему нашего села.( слайд карта­ схема с. Абатское) ­ Расскажите об особенностях расположения нашей школы? ( вход возможен с улицы Ленина и улицы Советской по пешеходной дорожке, наличие тротуаров,  место освещённое, движение достаточно интенсивное) ­Какие улицы вам нужно перейти? Легко ли это сделать? Почему? Дорога в школу у  каждого  своя, такая знакомая, с закрытыми глазами можешь по ней пройти! Но  оказывается, что не всегда она бывает безопасной. Сейчас вы уже стали взрослее и родители  доверили вам самостоятельной идти по ней. Но помните, что правила есть всегда, на каждой дороге, и поэтому надо их соблюдать, чтобы  избежать опасности. ­ А как нужно идти, чтобы всегда быть в безопасности? ( идём по тротуару, придерживаясь правой стороны, переходим дорогу по пешеходной дорожке.._) ­ Ещё, ребята хочется напомнить, что нельзя  никого звать  через дорогу: ни родных, ни друзей, не  знакомых. Это не только неприлично, но может быть опасно, так как побуждает пересечь дорогу,  забыв правила движения. Если нет тротуара , идём навстречу движущему транспорту. Избегаем по  дороге  безлюдных мест, плохо освещённых. Те, кто едут домой на автобусе,  также должны  соблюдать правила безопасного поведения на остановке, при выходе из автобуса. ­ Назовите эти правила. Физминутка ­Сейчас вы будете слушать песню о правилах дорожного движения и одновременно выполнять то, о чём в ней поётся, – идти по тротуару, переходить улицу. (Звучит песня «По улице, по улице» музыка Т. Шутенко, слова Г. Бойко.) Повторение  ПДД. – Ребята, как зовут этого сказочного человечка? ( на слайде Буратино) – Буратино собрался в школу. Но чтобы по дороге до школы с ним ничего не случилось, давайте  будем ему помогать. Как только вы услышите, что Буратино делает что­то неправильно, сразу  хлопаете в ладоши, т. е. предупреждаете. – Итак, Буратино взял «Азбуку» и отправился в школу. Все люди шли по тротуару, и сказочный  человечек тоже. Но вот дорога. До машины ещё три большущих шага, и Буратино решил, что успеет перебежать. (Дети хлопают в ладоши) – Ребята, почему вы предупреждаете Буратино? (Нельзя переходить дорогу перед близко идущим транспортом) – Пропустил Буратино машины и перешёл дорогу. Времени до начала занятий в школе было ещё  много, ведь Буратино пораньше вышел из дома. Тогда он решил читать все вывески, которые  встречались на его пути. – Мальчик, осторожнее! Не считай ворон. Иди правильно – говорили прохожие. (Дети хлопают) (По тротуару надо ходить по правой стороне, чтобы не мешать людям, которые идут навстречу) – Пока Буратино читал вывески, до начала уроков уже осталось мало времени. – Надо торопиться, – решил деревянный мальчуган. А впереди ещё одна дорога. Светофор всем приветливо мигал красным глазом. – Перейду дорогу, – решил Буратино. Ведь машин нет. (Дети хлопают в ладоши) (Буратино хотел перейти дорогу на красный свет светофора. А так переходить нельзя, если даже  нет машин. Надо дождаться, когда загорится зелёный свет) – Но вот загорелся зелёный свет светофора. Все пешеходы, и Буратино тоже, перешли дорогу. А  вот и школа! – Ребята, вы помогли Буратино благополучно добраться до школы. А ведь могла случиться беда.  Какие правила хотел нарушить сказочный герой? (Переходить улицу перед близко идущим транспортом, переходить улицу на красный свет  светофора, идти по тротуару не по правой стороне и мешать встречным пешеходам)– Что бы вы посоветовали таким детям, как Буратино? (Изучать правила дорожного движения) Работа в паре. Учащимся даются схематические  изображения  ситуаций. Дети выполняют в парах  задания,  вспоминая ПДД. ( работа со схемами.Схемы представлены ниже) •        Правила безопасности движения по улице. •        Правильный путь  в школу. Проверка по слайду ( открывается слайд со схемой, дети сравнивают) ­ Хлопните в ладоши те,  у кого задание  выполнено верно. Объясните, почему такой путь  правильный­безопасный? III.  Практическая работа. 1.Составление схемы безопасного пути. Мы повторили  правила дорожного движения и  теперь пользуясь картой ­ схемой, попробуйте  разработать  схему­безопасный  маршрут от школы до дома . Договоримся опасные места –  отмечаем красным цветом, а зелёным отмечаем возможный путь. ­ Не забудьте отметить пешеходные переходы, дорожные знаки .  Дети  , которые  по дороге в  школу пользуются автобусом,  должны  нанести  на схему  путь движения от остановки.  (Дети выполняют на листочке в клеточку, учитель помогает) ­Кто желает рассказать о  маршруте движения по своей схеме. 2.Практическое занятие на улице.  Около нашей школы проходит дорога по ул. Ленина. Кто переходит её каждый день, идя в школу?  Как вы это делаете?( дети объясняют) Какие знаки вы там видели? Сейчас мы выйдем на эту улицу,  повнимательнее рассмотрим эти знаки и повторим правила  перехода через дорогу. Соблюдаем правила движения в группе, правила поведения. Практическая часть. Дети наблюдают с учителем за прохожими, которые переходят улицы, если есть нарушения,  выясняем, к чему они могут привести. IY.Итог. Рефлексия занятия.  ( продолжение  в классе) ­  Для чего,  ребята,  мы  учились составлять   сегодня маршрут своего движения от дома до школы, как это нам пригодится? ­ Можно разработанным маршрутом пользоваться при движении  из дома  в школу? Почему? ­   Кто выполнил, поставленные для себя в начале занятия  учебные задачи поднимите жёлтый   карандашик. Кто встретил затруднения ­ синий карандашик.  ( выясняем причины затруднений, слайд с задачами на экране) ­ Наше занятие окончено. Всем спасибо. Приложение. 1уч.Я сойду с велосипеда Если знак увижу этот, И пойду, как пешеход, Вместе с ним на переход   ( движение на велосипедах запрещено) Что за знак тут? Пешеход В нём зачёркнутый идёт. Что же это означает? 2уч.Может, их здесь обижают? ( движение пешеходов запрещено) Шоссе шуршало шинами, Бегущими машинами, Но возле школы , сбавьте газ­ Висит, водители, для вас Особый знак здесь» Дети» За них мы все в ответе. И вы при этом знаке тоже, Ребята, будьте осторожны! ( дети)Классный час  «Наши дедушки и бабушки»  Цели классного часа:  1.  Способствовать формированию нравственной культуры учащихся,  симпатии и сопереживания; уважительного отношения к пожилым  людям, собственным бабушкам и дедушкам, взаимопонимания и  терпимости в отношении взрослых и детей.  2.  Формировать потребность в общении взрослых и детей, необходимость  друг другу.  3.  Воспитывать доброту, понимание, сострадание и великодушие.  Оборудование: фото бабушек и дедушек учеников класса, книги, рисунки, на  доске солнце, таблички (опорные слова).   Ход мероприятия  1.  Организационный момент  1уч.   2.  Основная часть  1. Ребята, сегодня мы поговорим с вами о самых старших членах каждой  семьи – бабушках и дедушках.                       С недавних пор 1 октября во всем мире отмечается День  пожилых людей. Этот праздник начали отмечать не так давно, с 1992 года. С  тех пор в осеннюю золотую пору ежегодно, мы поздравляем пожилых людей  (бабушек и дедушек).  Но прежде чем поговорить о старших членах вашей семьи, хотелось бы  вспомнить вместе с вами, а что такое семья?  2. Рассматривание сюжетной картинки «Семья»   Семья – это мама, папа, дети и, конечно же дедушки и бабушки.  3.  Рассказ о бабушках и дедушках, рассматривание фотографий.  Ребята, сейчас мы будем слушать ваши рассказы о дедушках и бабушках.  Начинать рассказ можно так (образец на доске):  Это моя бабушка, её зовут … . Она работает … .  Это мой дедушка, его зовут … . Он работает … .  Спасибо, ребята! Теперь мы узнали как зовут ваших бабушек и дедушек.  И сейчас мы немного поиграем.  4. Игра «Солнышко»  У нас на доске появилось солнышко, но лучиков у него нет. Лучики мы  должны прикрепить к нему сами. Но не просто лучики, а добрые слова о  наших бабушках.  (дети, по очереди, выбирают слова и прикрепляют лучики к солнцу)  Добрая, нежная, хорошая, ласковая, любимая, красивая  Вот какое солнце у нас получилось!  5. Чтение стихотворений о бабушках  2­5 уч.   Посмотрите сколько хороших стихотворений и интересных книг написано о  наших бабушках.  6. Тяжело тем пожилым людям, у кого нет родных и близких. А иногда  встречаются такие ситуации, когда нужно помочь пожилым людям, давайте  рассмотрим эти ситуации.   6уч.   Никогда не забывайте своих бабушек и дедушек, помогайте им во всем и  поддерживайте их, говоря добрые и ласковые слова.  3.Заключительная часть  О ком мы сегодня говорили?Правильно, о бабушках и дедушках.  В заключение нашего классного часа я хочу вам пожелать что бы вы  всегда помнили о своих родных и помогали им. Приложение 1уч.Для того чтобы узнать тему нашего классного часа, нам нужно прочитать  стихотворение!!!  Кто на кухне с поварешкой  У плиты всегда стоит,   Кто нам штопает одежку,  Пылесосом кто гудит?  Кто на свете всех вкуснее  Пирожки всегда печет,  Даже папы кто главнее  И кому в семье почет?   Кто споет нам на ночь песню,  Чтобы сладко мы заснули?  Кто добрей всех и чудесней?  Ну, конечно же – бабули!   2уч.1. Мы с моею бабушкой   Старые друзья   До чего хорошая   Бабушка моя.     3уч.. Мы с моею бабушкой   Старые друзья   До чего хорошая   Бабушка моя.  4уч.. Сказок знает столько,   Что не перечесть   И всегда в запасе   Новенькая есть.  5уч.. А вот руки бабушки ­   Это просто клад.   Быть без дела бабушке   Руки не велят.  6уч.Уступить место в троллейбусе.  Помочь донести сумку.  Открыть дверь.  Пропустить вперёд.  Помочь перейти дорогу.  Классный час, посвященный 1 октября ­ Дню пожилых людей:  «Твори добро, ибо ты ­ Человек»  Цель: воспитывать доброту, уважение к людям старшего поколения, умение уважать близких людей (матери, отца, бабушку, дедушку).  Оборудование: аудиозапись песни Сосо Павлиошвили «Помолимся за родителей», Игорь Саруханов  «Дорогие мои старики», Витас «Родительский дом», звон колоколов. Ход проведения классного часа,   посвященного 1 октября ­ Дню пожилых людей  Учитель:  Сегодня наш классный час называется: «Твори добро, ибо ты ­ человек», он посвящен Дню пожилых людей.  Людей, на долю которых легли тяжелые испытания, людей, которых сегодня государство может защитить.Им нужны наши поддержка и помощь. А мы поговорим о том, как живется одиноким людям, о добре,  которое так необходимо каждому из нас.  В каждой стране есть категория людей, которые требуют особого внимания и заботы. Это ­ люди пожилого  возраста. В России проживает несколько миллионов одиноких людей.  По данным института геронтологии Россия ­ страна долгожителей. Но вместе с тем обидно и то, что наше  государство не может еще обеспечить достойную старость своим гражданам. Будем надеяться, что уже в  недалеком будущем правительство и парламент сделают все возможное, чтобы человек прожил возраст,  отпущенный природой и Богом, в счастье и благополучии.  Именно поэтому, чтобы привлечь внимание к бедственному положению этой категории людей, Организация  Объединенных Наций объявила 1 ОКТЯБРЯ в 1999 году Международным днем пожилых граждан. Люди  старшего поколения ­ опытные, мудрые, добрые. Сегодня для вас просто дедушки и бабушки. Но сядьте и  поговорите с ними, и вам откроются страницы их жизни. А это ­ история каждой семьи, история нашего  народа.  Такова их судьба ­ остаться в четырех стенах один на один со своими проблемами, болезнями. Знали бы вы,  как они ждут, чтобы кто­нибудь из нас пришел к ним. Мы часто не замечаем их ­ сгорбленных, сморщенных.  Они всегда рядом. В автобусе молодой неистово толкает дедушку, который хочет сесть на краешке  скамейки. Как оказалось, это место он занял для своего товарища, который должен зайти в автобус. И  дедушка неловко отходит, склонив голову.  Старая бабушка горько сетует на свою судьбу: «Имею детей и внуков, а они отреклись от меня, кричат,  ненавидят, обзывают». И таких примеров­множество. Возникает вопрос: что это? Невоспитанность? Дефицит совести? А, может, мы думаем, что старость обойдет нас?  Нет! Старость ­ упрямая бестия, покрывающий морщинами лицо и руки, цепляет на плечи горб и дает  каждому палку. Старость еще более требует внимания, любви, заботы и ласки. Но часто так и остается без  этого.  Кого она заставляет попрошайничать, кого спасаться от голода и холода...  Ежедневно мы видим печальные глаза тех, кого в одно целое объединило слово «старость», видим  безнадежность, отчаяние. Такие люди часто одиноки.  Учитель. Нелегкой была жизнь наших дедушек и бабушек. Почти все они ­ дети военных лет. На их долю  выпали голод, война, разруха.  Ученик:  Бабушкины годы  Ходит наша бабушка, палочкой стуча,  Говорю я бабушке: «Позову врача,  От его лекарства станешь ты здорова,  Будет чуть­чуть горько, что же тут такого.  Ты потерпишь чуточку, а уедет врач,  Мы с тобою, бабушка, поиграем в мяч.  Будем бегать, бабушка, прыгать высоко,  Видишь, как я прыгаю, это так легко».  Ученица.  Улыбнулась бабушка: «Что мне доктора,  Я не заболела, просто я стара,  Просто очень старая, волосы седые,  Где­то потеряла я годы молодые.  Где­то за огромными, за лесами темными,  За горой высокой, за рекой глубокой.  Как туда добраться, людям неизвестно».  Говорю я бабушке: «Вспомни это место!  Я туда поеду, поплыву, пойду,  Годы молодые я твои найду!  Учитель. Мы много знаем о жизни футболистов, космонавтов, актеров. А что мы знаем о тех, кто с нами  рядом, близких и родных нам людей, чьим продолжением являемся мы? (Дети отвечают).  Бабушка ... Она воплощает в себе доброту и ласку, трудолюбие и мудрость, щедрость и преданность.  Присмотритесь, как расправляются плечи ваших бабушек, когда на дворе появляетесь вы, их внуки. Бабушка, как неутомимая пчелка, готовит еду для всей семьи, шьет, вышивает, вяжет носки. Но разве перечислишь все  ее работу? А ответственной из всех работ является уход за внуками.  Дедушка ... Старейшина, глава рода. Посеребренные сединой деды издавна пользовались непревзойденным  авторитетом, которые все знали и могли дать дельный совет.  К сожалению, дети, есть еще бабушки и дедушки, проживающие одиноко. Дети и внуки их далеко, редко  навещают пожилых. А часто бывает, что отдают своих пожилых родителей в интернаты для пожилых людей.В интернатах хорошо: они ухоженные, не голодные. Но их глаза полны грусти и печали. Они всегда ждут  своих детей, внуков. Надеются, что те приедут хотя бы навестить их.  Звучит аудиозапись песни Витаса «Родительский дом».  Одиночество ... Оно существует за равнодушие и жестокость тех, кто живет рядом с нами, кто должен  присмотреть за своими родными. Одинокая старость ... Какие ужасные слова. По разным причинам судьба  разбросала детей далеко от дома. И не всегда они спешат к своим стареньким родителям.  Слово учителя.  ... Жила в одной деревне бабушка Катя. Было у нее двое сыновей и дочь. Разъехались они далеко, живут  своей жизнью, растят детей, работают. А бабушка Катя тем временем постарела, начала болеть. Пишет детям письма, чтобы приехали, забрали ее, потому что одной тяжело вести хозяйство. А детям все некогда. Дочь  Мария получила письмо утром, а прочитала только вечером. Раньше не нашла времени. А мама Катя пишет,  что очень болеет, что зиму, наверное, не переживет. Хочет хотя бы перед смертью увидеть дочь и сыновей.  «Дорогие мои, приезжайте хотя бы на день. Я вас увижу и тогда смогу спокойно умирать».  Так и не дождалась старушка своих детей, когда была живой ...  Звучит аудиозапись песни Игоря Саруханова «Дорогие мои старики».  ­ Дети, не забывайте своих дедушек и бабушек, матерей и отцов. Да не померкнет радость их жизни на  склоне лет и будьте к ним добрыми.  Ученик:  Говорите добрые слова,  Не скупитесь на улыбки ближним,  Увядают люди, как трава,  Уходя безвременно из жизни.  Не ищите правильный момент,  Позвонить кому­то в спешке буден,  Может завтра будет абонент,  Навсегда печально недоступен.  Не копите ворох добрых чувств,  Чтобы их потом писать в некролог.  Каждый, кто нам дорог, знает пусть,  Каждый день, как сильно он нам дорог.  Увядают люди, как трава...  Как бы из вчера минуту занять?  Рассказать все добрые слова,  И создать еще при жизни память.  Учитель: Знали бы вы, сколько стариков живет сегодня в нищете, сколько людей живут в полуразрушенных  лачугах или вообще даже не имеют крыши над головой. Они попрошайничают и рады хотя бы кусочку  черствого хлеба.  Творческая работа «Пожилые и молодые».  Сейчас я вам предлагаю подумать, чем старые люди могут помочь молодым, и чем молодожены могут  помочь старым. Например: старые люди могут дать мудрый совет, научить терпению т.д.. Молодые люди  могут подарить старым внимание, заботу, доброе слово и т. д.  Затем учащиеся должны сказать, чем они могут помочь своим бабушкам и дедушкам или просто пожилым  людям на улице.  Слово учителя.  Старость ... Как незаметно она приходит. Кто­то оказывает ей сопротивление, не соглашается, бунтует ...  Другой в печальной покорности начинает уже отступать: «Не могу ... Если бы мне вернулись молодость, я бы  берег себя, энергию, которую зря потерял, здоровье, которое не ценил».  Чтобы дольше быть молодым, здоровым, не стареть, надо слушать советы мудрых людей. Предлагаю вашему  вниманию легенду  «Старость и Молодость».  Шла себе Путем Жизни беззаботная Молодость, напевая, что все безразлично, что со всякими бедствиями  она легко справится и совсем­совсем никого не боится. Но однажды вцепилась в нее Болезнь.  ­ Чего тебе от меня надо? ­ Спрашивает у нее Молодость.  ­ Здоровья немножко и силы, ­ говорит Болезнь.  ­ Бери, у меня хватит! Скорее только отстань!  Услышала это Старость и говорит: «Эх, Молодость, Молодость! Болезнь надо гнать, а не давать ей здоровье  по кусочкам».  ­ Какое твое дело, ­ резанула Молодость в ответ, ­ как хочу, так и живу, что хочу, то и делаю!Старость хотела убедить неразумную, но Молодость еще выше задрала голову и зашагала дорогами Жизни, и тут вдруг ее настигла Ложь. А настигнув, повела нехожеными тропами к Подлости и Лицемерию. Далее  пристали к ней, как смола, Лень и Зависть.  Старость все наставляла Молодость на ум, но всегда слышала: «Какое твое дело?»  После долгих скитаний Молодость встретилась с Любовью. Встретившись, начала присматриваться к себе. И стало ей стыдно. Захотелось быть лучшей, достойной своей спутницы. Только тогда она пришла за советом к  Старости. А взглянула на нее Старость ­ от Молодости остались только следы – и, с сожалением сказала:  «Теперь уже поздно».  Пожалуйста, как Вы поняли эту легенду? (дети отвечают).  Учитель: Мудрые французы говорят: «Вот если бы это молодость знала, если бы старость могла ...» или  «старость ­ не радость, никто ее не ждет, всякий умудряется отодвинуть ее нежелательный приход. Но она  все же неожиданно подкрадывается, и ты уже с печальным благоразумием понимаешь, что все лучшее уже  было, все в прошлом. А с тобой воспоминания и болезни, одиночество и немощность. Хорошо, когда рядом с  тобой живут твои родные ­ дети, внуки. А если их нет?  Хорошо, когда за свой жизненный путь ты свил теплое семейное гнездышко, когда вокруг лучатся родные  улыбки, звенит детский смех. А если этого нет ...  Дом престарелых. Печальное пристанище на склоне лет. Хотя и там неплохо. Здесь видишь людей в рваной  одежде, здесь готовят достаточно приличную еду, показывают кинофильмы ... Но почему старые радуются,  когда отсюда их забирают, чем просто на глазах вянут, услышав новость, что их отправляют в дом  престарелых?  Ученик. «Письмо к матери» С.Есенин  Ты жива еще, моя старушка?  Жив и я. Привет тебе, привет!  Пусть струится над твоей избушкой  Тот вечерний несказанный свет.  Пишут мне, что ты, тая тревогу,  Загрустила шибко обо мне,  Что ты часто ходишь на дорогу  В старомодном ветхом шушуне.  Звучит песня Сосо Павлиошвили «Помолимся за родителей».  С давних времен колокола, кроме богослужения, повсеместно использовались как набат для оповещения о  какой­либо беде ­ пожаре, вражеском нашествии т.д. (Звонят колокола ­ звучит аудиозапись.) Сегодня  колокола бьют тревогу, призывая нас к милосердию, доброте. Ибо только милосердие делает нас настоящими людьми.  Вот и закончилась наша беседа. Я надеюсь, что все мы станем добрее, милосерднее, и этот час доброты  перерастет в ежедневную потребность делать добро. Всем нам нелегко в сегодняшнее трудное время, но  помните, что рядом есть люди, которым гораздо хуже. А мы можем хоть на чуть­чуть улучшить их жизнь. Я  обращаюсь к вам со словами­просьбой: «Молодость, загляни в глаза старости»  А вас, дорогие наши гости, искренне благодарю за то, что вы пришли на нашу встречу. Будьте здоровы,  живите долго и счастливо. Тема: «Россия – Родина моя!» Цели: 1.Формировать устойчивое, уважительное отношение к родной природе. Создать эмоционально – положительную основу для развития патриотических чувств: любви и  преданности Родине; 2. Познакомить с символикой Российской Федерации (гербом, флагом, гимном). 3.Развивать кругозор учащихся, обогащать их словарный запас;                 Способствовать развитию умения анализировать, обобщать. Материалы и оборудование:    1.Выставка рисунков на тему: «Моя Родина»; 2.Географическая карта России; 3.Аудиозапись «Государственный гимн Российской Федерации»; 4.Аудиозапись мелодичной музыки; 5.Компьютер, экран. 6.Монеты, паспорт.                                          Ход классного часа: 1.Орг. момент. Приветствие.2.Просмотр выставки рисунков.   Беседа: Учитель:  К этому часу вы подготовили рисунки. Посмотрим, какие они разные, каждый по­своему великолепен. А что их объединяет? (Они посвящены Родине, родному краю). 3.Постановка цели:  (Слайд 1) Учитель:  Сегодня на нашем занятии мы продолжим разговор о нашей Родине. (Звучит мелодичная музыка).  (Слайд 2)  1уч.     Дети (хором) МЫ РОДИНОЙ ЗОВЁМ. 4.Основная часть. а) Учитель:  В большой стране у каждого человека есть свой маленький уголок – деревня или город, улица,  дом, где он родился. ­ А знаете, в каком городе, посёлке, селе родились вы? (Ответы детей). (Просмотр слайдов 3 ­ 12) Учитель:   Это маленькая Родина, которая начинается на пороге твоего дома. И у каждого она одна. Как  мама.  Родину называют матерью, потому, что она кормит нас своим хлебом, поит нас своими водами и  как, мать, гордится своими сыновьями и дочерьми, заботится о них, приходит на помощь, придаёт  силы. б)­ Мы любим Родину. А любить Родину значит жить с ней одной жизнью. ­Ребята! А как называется наша Родина?  Слайд 13 (Россия) Слайд 14 Учитель: Почему мы все любим Родину – Россию?  (Ответы детей). Ученик: Потому, что нет нигде Родины красивей. Учитель: ­ А ещё потому, что в России мы родились, здесь говорят на русском, родном языке и всё здесь для  нас любимое, знакомое, родное… (Звучит мелодия.  Дети читают стихотворение.) 2уч.   Учитель: Россия – страна необыкновенная. (Посмотрим на карту)  (Слайд 15) ­ Наша Родина очень велика. Так  велика, что над её просторами почти никогда не заходит солнце.  Когда оно встаёт на Дальнем Востоке, начинается утро, ­ в других областях страны – глубокая  ночь, а на западе ещё только вечер. На севере уже наступили холода.  Выпал снег, а на юге  плещется тёплое море, цветут южные растения. (На фоне русской природы звучит музыка). (Ученик читает стихотворение.)  (Просмотр слайдов 16 – 38) 3уч.   Учитель:Вот она какая, Россия – Русь, широкая и великая. И везде живут люди. ­ Как вы думаете, а много ли народа населяет такую огромную страну? (Ответы учащихся). ­  Да, ребята. По данным последней переписи население России составляет около 150 миллионов  человек. ­ А как всех их можно назвать, одним словом?  (Россияне). ­ Да всех людей живущих в нашей стране можно назвать Россиянами. Национальности у всех разные – это русские, татары, чеченцы, башкиры, якуты и другие народы, ­  все они и мы с вами – Россияне, мы граждане России. Это нас объединяет. Гражданин – это житель страны, который признаёт её законы, правила поведения, он любит свою  страну, старается сделать её сильной и богатой А вы ученики – маленькие граждане большой страны, её будущее. Званием гражданина России надо гордиться. Ребята! Подумайте, а что нас объединяет и делает гражданами одной страны? (Ответы детей).  ­ Эта общая территория, единый язык у большинства народов, законы. Так же у страны есть свои  государственные символы. в)­ Давайте с вами вспомним, какие государственные символы вы знаете?  (Ответ: герб, флаг, гимн.) ­ А где можно встретить эти символы?   (Ответы детей) ­ Их можно увидеть в городах и сёлах, на границе при въезде на территорию нашей Родины, на  форме защитников Отечества, на Российских космических кораблях, на скафандрах космонавтов,  на костюмах олимпийской сборной страны. Герб изображён на очень важных документах,  например, на паспорте гражданина России. Государственные символы очень важны. Герб, флаг, гимн объединяют всех людей, живущих в  стране, независимо от их национальности. Каждый Россиянин может сказать, например, о  государственном гербе России – это наш герб. Слайд 39 (Учащиеся рассматривают изображение герба России) ­ Что вы видите на рисунке? (Герб России) ­ Кто изображён на гербе России? (Золотой двуглавый орёл, всадник, копьём поражающий дракона.) ­ Как вы думаете, что означает изображение всадника побеждающего дракона? (Победу добра над злом.) 4уч.   ­ Давайте рассмотрим монетки­ (рубли и копейки) ­ Какие изображения вы видите на монетах? Одинаковы ли они? (Нет, на одних монетах изображён всадник с копьём, а на других – двуглавый орёл). ­ Как называются монетки, на которых изображён всадник? Почему они так называются? (Монетки, на которых изображён всадник, называются копейками, потому что у всадника есть  копьё, которым он поражает дракона.)  ­ Как вы думаете, зачем нужно изображение государственного герба на монетах? (Чтобы можно было отличить российские монеты от денежных знаков других стран). ­ Ребята, а сегодня мы поближе познакомились с важным государственным символом страны –  гербом, внимательно рассмотрели его и знаем, что на нём изображено. ­ А сейчас, ребята, давайте отдохнём, расслабимся, снимем усталость. Слайд 40                     (ФИЗКУЛЬТМИНУТКА) ­ А теперь давайте рассмотрим следующий символ России – флаг.  Слайд 41На государственном флаге России – нашей Родины – мы видим три цветные полосы, одинаковые по  размеру.  Цвета государственного флага никогда не выбирают просто так. Каждый цвет имеет своё значение.  Сейчас нам ребята расскажут, что обозначает каждая цветная полоса флага. (Выходят три ученика с полосками флага.) 1 ученик: Белая полоса – вверху. Она напоминает нам о белоствольных берёзах, о лёгких летних облачках,  белых ромашках, цветущих на лугу. Она означает, что у нашего государства нет злых намерений.  Оно честно и дружелюбно относится ко всем странам. 2 ученик: Синева неба, рек, озёр и морей запечатлена, в синей полосе, ­ она в середине, и говорит о том, что  Россия против войны. Она хочет дружить со всеми народами Земли. 3 ученик: Красная полоса – нижняя – это цвет огня и солнца, тепла и радости. Она означает, что каждый  гражданин России готов, если потребуется, защищать свободу и честь Родины от врагов. 5уч.   Учитель: Государственный флаг – это символ свободы, независимости и самостоятельности государства. У  каждой страны есть собственный государственный флаг, не похожий на флаги других стран. Слайд 42 (Показать флаги США, Канады и др.) ­ Во всех странах флаги вывешивают на улицах в дни государственных праздников, торжественных  событий. Во время спортивных соревнований в честь победителей поднимают флаг той страны,  гражданами которой они являются, и исполняется гимн этой страны.  Гимн – это песня, посвящённая своей родине, это символ государства, такой же, как герб и флаг. У каждого государства есть свой национальный гимн. В нашей стране каждый новый день начинается  с мелодии гимна России, который звучит по радио в 6 часов утра по местному времени. Мелодия  гимна величественная, торжественная. 6уч.    Государственный гимн звучит в особо важных случаях: во время встреч руководителей государств,  торжественных собраний, ­ все присутствующие слушают его стоя, а мужчины снимают головные  уборы. Так люди выражают своё уважение к стране. Слова для гимна написал Сергей Владимирович Михалков. Тот самый детский поэт, который  сочинил для нас Дядю Стёпу. В этих словах звучит идея – возрождения величия и славы России. (Звучит гимн.) 5.Подведение итога.  ­ Итак, ребята, давайте подведём итог нашему разговору о символах России. Что для себя нового и интересного вы узнали на нашем клубном часе, что вам больше всего запомнилось? (Ответы детей.) 6.Вывод. ­ Ребята, сегодня мы познакомились с символами нашего государства. Мы с вами как достойные граждане должны гордиться, знать и чтить государственные символы:  герб, флаг и гимн. Они являются частичкой каждого из нас и символами нашей необъятной Родины  – России, которую мы должны почитать, любить и охранять. Слайд 43     7уч.   Приложение 1уч. У каждого листочка, у каждого ручья   Есть главное на свете – есть родина своя,   Для ивушки плакучей нет реченьки милей.   Для беленькой берёзки опушки нет родней.   Есть ветки у листочка, овражек у ручья…   У каждого на свете есть родина своя.   А там, где мы родились, где радостно живём.   Края свои родные… 2учВстало ясно солнышко.Улыбнулось сладко, В голубое озеро Глянуло украдкой. Заглянуло солнышко И в моё окошко. Постучалось веточкой Тонкая берёзка,             Золотое солнышко В озере умылось, Белая берёзка Вся росой покрылась. На зелёных листиках     Капельки сверкают… Ах, какой красивою        Родина бывает! 3уч....Люблю тебя, моя Россия. За ясный свет твоих очей. За ум, за подвиги святые, За голос звонкий, как ручей… Люблю твои луга и нивы. Прозрачный звон твоих равнин, К воде склонившиеся ивы, Верха пылающих рябин. Люблю тебя с твоей тайгою, С воспетым камышом С великой Волгою – рекою. С могучим быстрым Иртышом. Люблю, глубоко понимаю Степи задумчивую грусть. Люблю всё то, что называю Одним широким словом «Русь»! 4уч.Не ищите вы гербы Под осинкой как грибы! Их найдём мы на монетах И на гербовой бумаге, На печати и на флаге! 5уч.Гордо рею я на мачте корабля, И в бою солдаты берегут меня! Я России часть и знак – Красно – синий ­ белый флаг! 6уч.В Древней Греции и в Риме Пели гимны в честь богов Распевают гимны и ныне В школе хор учеников. Только гимн совсем иной – Гимн страны моей родной! 7уч.Берегите Россию –        Нет России другой. Берегите её тишину и покой,        Это небо и солнце. И родное оконце          В позабытом селе… Берегите Россию –       Без неё нам не жить. Берегите её,      Чтобы вечно ей быть! Техника безопасности  учащихся 1 – 4 классов ­      ИНСТРУКЦИЯ № 1    Техника безопасности и правила поведения    ИНСТРУКЦИИ.      учащихся на осенних каникулах.1. Необходимо быть осторожным, внимательным на улице, при переходе дороги; соблюдать правила дорожного движения; 2. Соблюдать правила техники безопасности при прогулках в лесу, на реке: 2.1. Запрещается разжигать костры на территории села и территории лесного массива; 2.2. Не купаться в холодное время. 2.3. Быть осторожными при посещении лесного массива при встречи с дикими животными. 2.4. Запрещается употреблять в пищу малознакомые и незнакомые грибы и ягоды. 3. Необходимо заботиться о своем здоровье; проводить профилактические мероприятия  против гриппа и простуды; 4. Быть осторожным при контакте с электрическими приборами, соблюдать технику  безопасности при включении и выключении телевизора, электрического утюга, чайника и  т.д. 5. Соблюдать технику безопасности при пользовании газовыми приборами; 6. Соблюдать временной режим при просмотре телевизора и работе на компьютере; 7. Соблюдать технику безопасности при работе с колющими, режущими и рубящими  инструментами; 8. Запрещается посещать тракторные бригады, гаражи, фермы без сопровождения  взрослых; 9. Быть осторожным в обращении с домашними животными; 10. Запрещается находиться на улице без сопровождения взрослых в летнее время после  23.00., в зимнее после 22.00 часов. ИНСТРУКЦИЯ № 2    Техника безопасности и правила поведения учащихся во время зимних каникул. 1. Необходимо быть осторожным, внимательным на улице, при переходе дороги; соблюдать правила дорожного движения; 2. Соблюдать правила техники безопасности при прогулках в лесу, на реке: 2.1. Запрещается разжигать костры на территории села и территории лесного массива; 2.2. Быть осторожным на льду. При недостаточной толщине до 15 см. не выходить на лёд. 2.3. Необходимо осторожно обращаться с лыжами, коньками, санками. 2.4. При очень низкой температуре воздуха не выходить на прогулку во избежание  обморожения кожи. 3. Необходимо заботиться о своем здоровье; проводить профилактические мероприятия  против гриппа и простуды; 4. Быть осторожным при контакте с электрическими приборами, соблюдать технику  безопасности при включении и выключении телевизора, электрического утюга, чайника и  т.д. 5. Соблюдать технику безопасности при пользовании газовыми приборами; 6. Соблюдать временной режим при просмотре телевизора и работе на компьютере; 7. Запрещается посещать тракторные бригады, гаражи, фермы без сопровождения  взрослых; 8. Быть осторожным в обращении с домашними животными; 9. Запрещается находиться на улице без сопровождения взрослых после 22.00 часов. ИНСТРУКЦИЯ № 3 Техника безопасности и правила поведения учащихся во время весенних   1. Необходимо быть осторожным, внимательным на улице, при переходе дороги; соблюдать правила дорожного движения; 2. Соблюдать правила техники безопасности при прогулках в лесу, на реке: 2.1. Запрещается разжигать костры на территории села и территории лесного массива; 2.2. Не приближаться к рекам, быть острожными во время таяния снегов, паводков.     каникул.каникул. 3. Необходимо заботиться о своем здоровье; проводить профилактические мероприятия  против гриппа и простуды; 4. Быть осторожным при контакте с электрическими приборами, соблюдать технику  безопасности при включении и выключении телевизора, электрического утюга, чайника и  т.д. 5. Соблюдать технику безопасности при пользовании газовыми приборами; 6. Соблюдать временной режим при просмотре телевизора и работе на компьютере; 7. Запрещается посещать тракторные бригады, гаражи, фермы без сопровождения  взрослых; 8. Быть осторожным в обращении с домашними животными; 9. Запрещается находиться на улице без сопровождения взрослых после 22.00 часов в  зимнее время и 23.00 в летнее. ИНСТРУКЦИЯ № 4 Техника безопасности и правила поведения учащихся во время летних   1. Необходимо быть осторожным, внимательным на улице, при переходе дороги; соблюдать правила дорожного движения; 2. Соблюдать правила техники безопасности при прогулках в лесу, на реке: 2.1. Запрещается разжигать костры на территории села и территории лесного массива; 2.2.Купаться только в отведённых специально для этого местах и в теплое время. 2.3. Не употреблять в пищу незнакомы грибы и ягоды. 3. Необходимо заботиться о своем здоровье; соблюдать временные рамки при загаре,  купании. 4. Быть осторожным при контакте с электрическими приборами, соблюдать технику  безопасности при включении и выключении телевизора, электрического утюга, чайника и  т.д. 5. Соблюдать технику безопасности при пользовании газовыми приборами; 6. Соблюдать временной режим при просмотре телевизора и работе на компьютере; 7. Запрещается посещать тракторные бригады, гаражи, фермы без сопровождения  взрослых; 8. Быть осторожным в обращении с домашними животными; 9. Запрещается находиться на улице без сопровождения взрослых после 23.00 часов. 10. Необходимо вести активный отдых соответствующий нормам ЗОЖ. ИНСТРУКЦИЯ № 5  Правила поведения пешеходов на проезжей части дороги 1. Пешеходы на проезжей части дороги представляют собой наибольшую опасность. Не  случайно, что около трети всех ДТП составляют наезды на пешеходов. 2. Запрещается выбегать и перебегать проезжую часть дороги перед движущимся  автомобилем. 3. Безопасным является движение пешеходов по обочине ил по велосипедной дорожке. 4. Вне населённых пунктов, где обычно ТС движутся с относительно высокой скоростью,  пешеходы должны идти навстречу по обочине или по краю проезжей части. 5. Для снижения опасности движения пешеходов по проезжей части в темное время суток  или в условиях недостаточной видимости рекомендуется пользоваться светоотражающими  повязками. 6. Организованные колонны детей должны двигаться строем, не более чем по 4 человека, в  ряду по правой стороне проезжей части. Колонна на уровне левого её края должна  обозначаться сопровождающими с красными флажками, а в темное время суток с  зажженными фонарями. Техника безопасности жизни при движении пешком по дороге.1. Опасность представляет движение вне населенных пунктов в одиночку. Старайся ходить в сопровождении учителя или группой с другими детьми. 2. При приближении автомобиля сойди с дороги на ее обочину. 3. Не садись в машину к незнакомым и малознакомым людям. 4. Предупреди о своём уходе классного руководителя или дежурного учителя, позвони  родителям, сообщи им о своем передвижении. 5. Помни: твоя безопасность в твоих руках. Будь внимателен на дороге. Таблица о проведении инструктажа учащихся на время летних каникул ФИО  учащегося за 2017 – 2018 учебный год с инструкцией  ознакомлены роспись учащегося роспись родителей Классный руководитель: Шевякова Г.И.               Дата: 30.05. 2018г. Карта занятости несовершеннолетнего на период летних каникул 20017 – 2018 учебного года. ФИО      _________________________________________________________ Классный руководитель: __________________________________ Период летних каникул июнь июль август Место предполагаемого отдыха Роспись родителей________________________ План изучения Правил дорожного движения 2 класс 3 класс месяц Сент ябрь Октя брь 1 класс На наших улицах: виды  транспорта, служба  ГИБДД, ПДД Мой путь в школу:  практическое занятие ­  составление маршрута  движения "школа ­ дом". Ноя брь Дорога, ее элементы и  правила поведения на  Соблюдение ПДД ­ залог  безопасности пешеходов.  Детский дорожно­ транспортный травматизм. Практическое занятие:  составление маршрута  "дом ­ школа ­ дом" с  указанием всех опасных  мест для пешехода. Правила перехода улиц и  дорог (виды пешеходных  4 класс Правила дорож  движенияРФ: общие положения Мой путь в школу. История возникновения  правил дорожного  движения. Составление маршрута  "школа ­ дом" с  указанием всех опасных  для пешехода мест. П. з:правила перехода  регулируемых и  Типы светофоров,  значение их сигналов.ней. переходов). Мы пешеходы. Сигналы светофора,  виды светофоров. Мы пассажиры. Дека брь Янв арь Февр аль Регулируемый  перекресток. Сигналы  светофоры. Поездка в автобусе и  троллейбусе. Правила  поведения в общественном  транспорте и после выхода из него. Поездка на трамвае. Март Знакомство с дорожными знаками. Сигналы, подаваемые  водителями транспортных  средств. Мы велосипедисты Апре ль Остановочный путь  транспортных средств. Май "Где можно играть?" ­  занятие в игровой форме 1) Где можно и где нельзя  играть, кататься на велос,  ролдиках. 2) Экскурсия: наблюдение  за движением транспорта и пешеходов. нерегулируемых участков дорог. Перекрестки и их виды.  Правила перехода. Сигналы для регулиров.  дорожного движения  (занятие в игровой  форме) Значение дорожных  знаков для пешеходов и  водителей. Основные  группы дорожных знаков. Правила перехода улицы  (дороги) при высадке из  транспорта. Остановка  обществен. транспорта. Тормозной путь и  скорость движения  транспортных средств. 1) Мы велосипедисты 2) Экскурсия:  наблюдение за движением транспорта и пешеходов. Итого 9 занятий 10 занятий 10 занятий Сигналы регул­ка и их значение для  пешеходов. Группы дорожных  знаков и их значение.  Запрещающие знаки. Дорожные ситуации  со скрытой  опасностью  ("ловушки) Дорожные ситуации  со скрытой  опасностью. Движение учащихся  группой и в колонне. 1) Безопасность  при езде на  велосипеде,  роликах,  скейтборде. 2) Тестирование. 10 занятий