Урок №
Тема урока: Пр. занятие № 12.
Решение линейных обыкновенных дифференциальных уравнений первого порядка
Цели урока:
1. Обучающая: Применить теоретические знания при решении линейных обыкновенных дифференциальных уравнений первого порядка.
2. Развивающая: Способствовать развитию логического мышления, памяти.
3. Воспитательная: Аккуратное ведение конспектов, самодисциплина.
Тип урока: Урок совершенствования знаний и умений.
Вид урока: Практикум
Методы: словесные, практические
Оборудование: Методические материалы для практического занятия № 12.
Ход урока.
I. Оргмомент
II. Актуализация опорных знаний
Устный опрос
1. Тема урока 2. Цель урока
III. Практическая часть урока
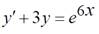
Пример 1. Найти общее решение дифференциального уравнения ![]()
Решение
Проведём замену:
в исходное уравнение.
Получим: ![]()
![]()
Составим систему. Для этого приравняем к нулю то, что находится в скобках v¢ + 2хv = 0, автоматически получая второе уравнение системы:

В результате:
![]()
Из первого уравнения найдём функцию v:


Пример 2: Найти частное решение дифференциального уравнения
, удовлетворяющее
начальному условию у(1) = е
Решение
Проведём замену:
и
подставим в исходное уравнение.
![]()

![]()
Подставим во второе уравнение и найдём функцию u:

-
общее решение
Из начального условия у(1) = е найдём частное решение:
-
частное решение.
V. Самостоятельная работа
|
1 вариант |
2 вариант |
3 вариант |
4 вариант |
|
Решить задачу Коши:
х2у¢-2ху = 3, у(1) = -1 |
, у(1) =1/2 |
Решить задачу Коши: xy′ − y = x5, у(0) = 1 |
, у(1) = 0 |
Ответы
|
1 вариант |
2 вариант |
3 вариант |
4 вариант |
|
Общее решение:
|
|
|
|
VI. Домашнее задание:
Решить дифференциальные уравнения :
1)
2)
![]()
2)
Материалы на данной страницы взяты из открытых источников либо размещены пользователем в соответствии с договором-офертой сайта. Вы можете сообщить о нарушении.